PHÒNG GIÁO DỤC VÀ ĐÀO TẠO
ĐỀ KIỂM TRA HỌC KÌ I MÔN TOÁN QUẬN LONG BIÊN
Thời gian làm bài: 90 phút (không kể thời gian phát đề) Mục tiêu:
+) Đề thi gồm 5 bài tập tự luận với đầy đủ kiến thức đã học trong chương trình HKI môn Toán lớp 9.
Các bài tập ở các mức độ từ VD và VDC.
+) Đề thi giúp các em có thể ôn tập và kiểm tra lại kiến thức đã được học trong học kì vừa qua.
Bài 1 (VD) (1,5 điểm): Thực hiện phép tính. a) b) c)
Bài 2 (VD) (2 điểm): Cho biểu thức a) Rút gọn .
b) Tính giá trị của với .
c) Tìm số nguyên để biểu thức có giá trị nguyên.
Bài 3 (VD) (1,5 điểm): Cho hàm số có đồ thị là và hàm số có đồ thị là a) Vẽ đồ thị và
trên cùng một mặt phẳng tọa độ . b) Xác định hệ số của đường thẳng biết rằng song song với và cắt
tại một điểm có tung độ là .
Bài 4 (VD) (4,0 điểm): 1) (1 điểm) Cho tam giác đường cao biết , , độ lớn góc . Tìm độ dài .
2) (3,0 điểm) Cho điểm nằm ngoài đường tròn , kẻ các tiếp tuyến với đường tròn ( và là 2 tiếp điểm)
a) Chứng minh: Bốn điểm
cùng thuộc 1 đường tròn và . b) Trên cung nhỏ của lấy điểm bất kì . Tiếp tuyến tại cắt lần lượt tại . Chứng minh: Chu vi bằng .
c) Đường thẳng vuông góc với tại cắt và
lần lượt tại và . Chứng minh: . Trang 1
Bài 5 (VD) (1,0 điểm): Cầu Đông Trù bắc qua sông Đuống, nằm trên quốc lộ 5 kéo dài, nối xã Đông
Hội, huyện Đông Anh ở phía Bắc Hà Nội và phường Ngọc Thụy, quận Long Biên ở phía Nam Hà Nội. Nhịp giữa dài
được thiết kế bằng vòm thép nhồi bê tông có hình 1 cung tròn. Khoảng cách điểm
cao nhất của mái vòm xuống mặt sàn của cầu là
(được mô phỏng hình vẽ dưới). Hãy tính độ dài bán
kính của đường tròn chứa cung tròn là nhịp giữa của cầu Đông Trù? (kết quả làm tròn đến 2 chữ số thập phân). HẾT LỜI GIẢI CHI TIẾT
THỰC HIỆN: BAN CHUYÊN MÔN TUYENSINH247.COM Bài 1: Phương pháp:
a) Đưa thừa số ra ngoài dấu căn, sử dụng .
b) Đưa thừa số ra ngoài dấu căn, sử dụng .
c) Thực hiện rút gọn bằng cách đưa tử và mẫu về dạng tích kết hợp trục căn thức ở mẫu: Cách giải: a) b) Trang 2
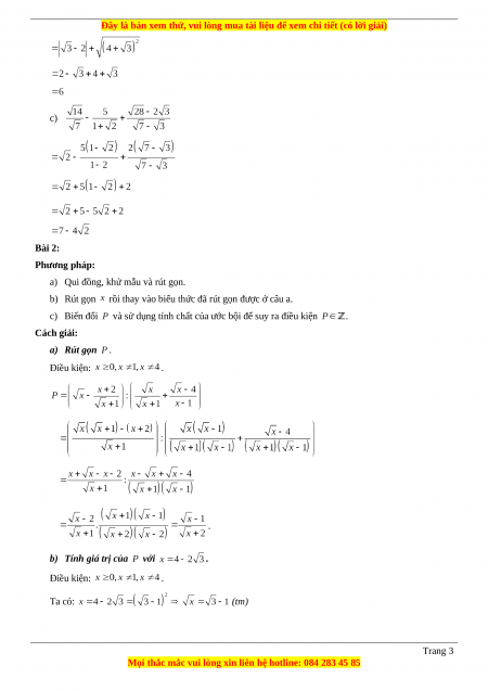
c) Bài 2: Phương pháp:
a) Qui đồng, khử mẫu và rút gọn.
b) Rút gọn rồi thay vào biểu thức đã rút gọn được ở câu a.
c) Biến đổi và sử dụng tính chất của ước bội để suy ra điều kiện . Cách giải: a) Rút gọn . Điều kiện: . .
b) Tính giá trị của với . Điều kiện: . Ta có: (tm) Trang 3
Thay vào ta có: Vậy với thì
c) Tìm số nguyên để biểu thức có giá trị nguyên. Ta có: Vì nên để thì Bảng giá trị: 1 3 Không có Không có 1 (ktm) Không có
Vậy không có giá trị nguyên thỏa mãn điều kiện xác định để biểu thức có giá trị nguyên. Bài 3: Phương pháp:
a) Lập bảng giá trị các điểm đi qua của mỗi đồ thị hàm số và vẽ đồ thị. b) Sử dụng thì . Cách giải:
a) Vẽ đồ thị và
trên cùng một mặt phẳng tọa độ . Vẽ và
trên cùng một mặt phẳng tọa độ Bảng giá trị 0 2 0 Bảng giá trị 0 2 0 Trang 4
Đề thi học kì Toán 9 năm 2023 Quận Long Biên
CÁCH MUA:
- B1: Gửi phí vào TK:
1133836868- CT TNHH DAU TU VA DV GD VIETJACK - Ngân hàng MB (QR) - B2: Nhắn tin tới Zalo VietJack Official ( nhấn vào đây ) để xác nhận thanh toán và tải tài liệu - giáo án
Liên hệ ngay Hotline hỗ trợ: 084 283 45 85
Đề thi được cập nhật liên tục trong gói này từ nay đến hết tháng 6/2023. Chúng tôi đảm bảo đủ số lượng đề đã cam kết hoặc có thể nhiều hơn, tất cả có BẢN WORD, LỜI GIẢI CHI TIẾT và tải về dễ dàng.
Để tải tài liệu gốc về máy bạn click vào nút Tải Xuống ở trên!
Thuộc bộ (mua theo bộ để tiết kiệm hơn):
- Bộ 14 Đề thi học kì Toán 9 năm 2023 chọn lọc từ các trường bản word có lời giải chi tiết:
+ Đề thi học kì 1 Toán 8 năm 2023 Sở GD và ĐT An Giang;
+ Đề thi học kì 1 Toán 8 năm 2023 Sở GD và ĐT Thừa Thiên Huế;
+ Đề thi học kì 1 Toán 8 năm 2023 Sở GD và ĐT Nam Định;
...............................
- Mua trọn bộ sẽ tiết kiệm hơn tải lẻ 50%.
Đánh giá
4.6 / 5(2004 )Trọng Bình
Giúp ích cho tôi rất nhiều
Duy Trần
Rất thích tài liệu bên VJ soạn (bám sát chương trình dạy)
TÀI LIỆU BỘ BÁN CHẠY MÔN Toán Học
Xem thêmTÀI LIỆU BỘ BÁN CHẠY Lớp 9
Xem thêmTài liệu bộ mới nhất





