ệ đ xe ể m chi ti t ế (có l i ờ gi i ả ) S Ở GIÁO D C Ụ VÀ ĐÀO T O Ạ Đ Ề THI CH N Ọ H C Ọ SINH GI I Ỏ KHÁNH HÒA NĂM H C Ọ 2020 - 2021 Môn: Toán – L p: ớ 9 ĐỀ CHÍNH THỨC Th i ờ gian làm bài: 150 phút Ngày: 3/12/2020 (Đ ề thi g m ồ : 01 trang)
Câu 1. (4,0 đi m ể ) 3 a) Rút g n
ọ A 3 2 2 7 5 2 . 2 2 2 b) Cho các số th c
ự x, y, z th a m ỏ
ãn x y z 3
và x y z xy yz zx . Tính 2020 2020 2020 giá trị c a bi ủ u t ể h c ứ B x y z xyz .
Câu 2. (4,0 đi m ể ) 2 a) Cho đa th c
ứ f (x) x bx c bi t ế r ng
ằ f (x) chia cho x 4 dư 3, chia cho x 1 d 8. ư Tìm b, c . 2
x x 2 x x 2 3 3 3 x 0 b) Gi i ả phư ng ơ trình: x 1 .
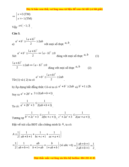
Câu 3. (5,0 đi m ể ) a b 2 2 2 a b 2 ab a) Ch ng ứ minh r ng ằ 2 v i ớ m i ọ số th c ự a, b . b) Cho các số th c ự dư ng
ơ a,b,c th a ỏ mãn đi u ề ki n ệ abc 1 . Tìm giá tr ị l n ớ nh t ấ c a ủ bi u t ể h c ứ : 1 1 1 P 2 2 2 2 2 2
a 2b 3 b 2c 3 c 2a 3 .
Câu 4. (5,0 đi m ể ) M i
ọ thắc mắc vui lòng xin liên hệ hotline: 084 283 45 85
ệ đ xe ể m chi ti t ế (có l i ờ gi i ả )
Cho hình vuông ABCD . Đi m
ể I thay đổi trên đư ng ờ chéo BD (đi m
ể I khác B và D ). G i
ọ M , N theo th t
ứ ự là chân đư ng vuông góc ờ k t ẻ ừ I đ n ế AB và AD . a) Ch ng ứ minh r ng
ằ IM IN không đổi. b) Đư ng ờ th ng
ẳ d đi qua I và vuông góc v i ớ MN . Ch ng ứ minh đư ng ờ th ng ẳ d luôn đi qua m t ộ đi m ể cố đ nh. ị
c) Xác định vị trí đi m ể I đ t
ể am giác CMN có diện tích nh nh ỏ t ấ .
Câu 5. (3,5 đi m ể ) 2 a b 1 a 1 a) Tìm t t ấ cả các c p ặ số nguyên dư ng
ơ (a,b) sao cho: a 1 và b 1 là các số nguyên. b) Trên b n
ả đồ có 2021 đồng xu. Hai b n ạ An và Bình th c ự hi n ệ m t ộ s ố trò ch i ơ b ng ằ cách đi l n ầ lư t ợ nh s ư au: m i ỗ ngư i ờ , đ n ế lư t ợ c a ủ mình s ẽ l y ấ đi m t ộ s ố các đ ng ồ xu sao cho nó là ư c ớ c a ủ số các đ ng ồ xu hi n ệ có trên bàn. Ngư i ờ l y ấ đ ng ồ xu lư t ợ cu i ố cùng là thua. N u ế An đi trư c, B ớ ình s dùng chi ẽ n t ế hu t ậ nh t ư h nào đ ế chi ể n t ế h ng? ắ -----HẾT------ M i
ọ thắc mắc vui lòng xin liên hệ hotline: 084 283 45 85
ệ đ xe ể m chi ti t ế (có l i ờ gi i ả ) ĐÁP ÁN THAM KH O
Ả – KHÁNH HÒA (2020 – 2021) Câu 1. 3
a) Ta có A 3 2 2 7 5 2 2 3 3 2 1 2 1 2 1 2 1 2 . 2 2 2
b) x y z xy yz zx
x y 2 y z 2 z x 2 0
x y z
Mà x y z 3
nên x y z 1 . Do đó 2020 2020 2020 B 1 1 1 1 4 . Câu 2. a) Số d c ư a đa t ủ h c
ứ f (x) cho x a là f (a) , ta có: 2 f ( 4) 3
( 4) 4b c 3 b 4 2 f (1) 8 1 b c 8 c 3 . V y ậ b 4 ; c 3 . b) ĐKXĐ: x 1. 2 2 2
x x 3 x 3x 3 x 0 Ta có 4 3 2
x 4x 2x 12x 9 0 2
x 3 x 1 0 M i
ọ thắc mắc vui lòng xin liên hệ hotline: 084 283 45 85
ệ đ xe ể m chi ti t ế (có l i ờ gi i ả ) x 3 (TM) x 1(TM) V y ậ x 1; 3 . Câu 3. a b 2 2 2 a b 2 ab a) 2 v i ớ m i ọ số th c ự a, b . a b2 a b
a b 2 2 2 0 Xét 2 đúng v i ớ m i ọ số th c ự a, b (1)
a b 2 ab a b2 2 0 2 đúng v i ớ m i ọ số th c ự a, b (2) a b 2 2 2 a b 2 ab T ( ừ 1) và ( 2) ta có 2 . b) Áp d ng b ụ t ấ đ ng t ẳ h c ứ Cô-si ta có 2 2 a b 2 ab và 2 b 1 2 . b Suy ra 2 2 a 2b 3 2
(ab b 1) . 1 1 2 2
Ta có: a 2b 3 2(ab b 1) . 1 1 1 1 2 2 2 2 Tư ng t ơ
ự b 2c 3 2(bc c 1) ; c 2a 3 2(ac a 1) . Đ t ặ v t ế rái c a B ủ ĐT c n ch ầ ng ứ minh là A, ta có: 1 1 1 1 A
2 ab b 1 bc c 1 ac a 1 1 1 ab b
1 ab b 1 1 (vì abc 1 ) 2 ab b 1
b 1 ab 1 ab b
2 ab b 1 2 . M i
ọ thắc mắc vui lòng xin liên hệ hotline: 084 283 45 85
Đề thi HSG Toán 9 cấp tỉnh - Khánh Hòa năm học 2022 - 2023 có đáp án
1.2 K
582 lượt tải
MUA NGAY ĐỂ XEM TOÀN BỘ TÀI LIỆU
CÁCH MUA:
- B1: Gửi phí vào TK:
1053587071
- NGUYEN VAN DOAN - Ngân hàng Vietcombank (QR) - B2: Nhắn tin tới Zalo VietJack Official ( nhấn vào đây ) để xác nhận thanh toán và tải tài liệu - giáo án
Liên hệ ngay Hotline hỗ trợ: 084 283 45 85
Tài liệu được cập nhật liên tục trong gói này từ nay đến hết tháng 3/2024. Chúng tôi đảm bảo đủ số lượng đề đã cam kết hoặc có thể nhiều hơn, tất cả có BẢN WORD, LỜI GIẢI CHI TIẾT và tải về dễ dàng.
Để tải tài liệu gốc về máy bạn click vào nút Tải Xuống ở trên!
Thuộc bộ (mua theo bộ để tiết kiệm hơn):
- Tailieugiaovien.com.vn giới thiệu Đề thi HSG Toán 9 cấp tỉnh - Khánh Hòa năm học 2022 - 2023 có đáp án.
- File word có lời giải chi tiết 100%.
- Mua trọn bộ sẽ tiết kiệm hơn tải lẻ 50%.
Đánh giá
4.6 / 5(1164 )5
4
3
2
1

Trọng Bình
Tài liệu hay
Giúp ích cho tôi rất nhiều

Duy Trần
Tài liệu chuẩn
Rất thích tài liệu bên VJ soạn (bám sát chương trình dạy)
TÀI LIỆU BỘ BÁN CHẠY MÔN Toán Học
Xem thêmTÀI LIỆU BỘ BÁN CHẠY Lớp 9
Xem thêmTài liệu bộ mới nhất

Đây là b nả xem thử, vui lòng mua tài li u đ xem chi ti t (có l i gi i)ệ ể ế ờ ả
S GIÁO D C VÀ ĐÀO T OỞ Ụ Ạ
KHÁNH HÒA
Đ THI CH N H C SINH GI I Ề Ọ Ọ Ỏ
NĂM H C 2020 - 2021Ọ
Môn: Toán – L p: 9 ớ
Th i gian làm bài: 150 phút ờ
Ngày: 3/12/2020
(Đ thi g m: 01 trang)ề ồ
Câu 1. (4,0 đi m)ể
a) Rút g n ọ
3
3 2 2 7 5 2A
.
b) Cho các s th c ố ự
, ,x y z
th a mãn ỏ
3x y z
và
2 2 2
x y z xy yz zx
. Tính
giá tr c a bi u th c ị ủ ể ứ
2020 2020 2020
B x y z xyz
.
Câu 2. (4,0 đi mể )
a) Cho đa th c ứ
2
( )f x x bx c
bi t r ng ế ằ
( )f x
chia cho
4x
d 3, chia cho ư
1x
d 8.ư Tìm
,b c
.
b) Gi i ph ng trình: ả ươ
2 2 2
3 3 3
0
1
x x x x x
x
.
Câu 3. (5,0 đi mể )
a) Ch ng minh r ng ứ ằ
2
2 2
2
2
a b
a b ab
v i m i s th c ớ ọ ố ự
,a b
.
b) Cho các s th c d ng ố ự ươ
, ,a b c
th a mãn đi u ki n ỏ ề ệ
1abc
. Tìm giá tr l n nh t c aị ớ ấ ủ
bi u th cể ứ :
2 2 2 2 2 2
1 1 1
2 3 2 3 2 3
P
a b b c c a
.
Câu 4.
(5,0
đi mể )
M iọ th c m c vui lòng xin liên hắ ắ ệ hotline: 084 283 45 85
ĐỀ CHÍNH THỨC

Đây là b nả xem thử, vui lòng mua tài li u đ xem chi ti t (có l i gi i)ệ ể ế ờ ả
Cho hình vuông
ABCD
. Đi m ể
I
thay đ i trên đ ng chéo ổ ườ
BD
(đi m ể
I
khác
B
và
D
). G i ọ
,M N
theo th t là chân đ ng vuông góc k t ứ ự ườ ẻ ừ
I
đ n ế
AB
và
AD
.
a) Ch ng minh r ng ứ ằ
IM IN
không đ i.ổ
b) Đ ng th ng ườ ẳ
d
đi qua
I
và vuông góc v i ớ
MN
. Ch ng minh đ ng th ng ứ ườ ẳ
d
luôn
đi qua m t đi m c đ nh.ộ ể ố ị
c) Xác đ nh v trí đi m ị ị ể
I
đ tam giác ể
CMN
có di n tích nh nh t.ệ ỏ ấ
Câu 5. (3,5 đi mể )
a) Tìm t t c các c p s nguyên d ng ấ ả ặ ố ươ
( , )a b
sao cho:
2
1
1
a b
a
và
1
1
a
b
là các số
nguyên.
b)Trên b n đ cóả ồ
2021
đ ng xu. Hai b n An và Bình th c hi n m t s trò ch i b ngồ ạ ự ệ ộ ố ơ ằ
cách đi l n l t nh sau: m i ng i, đ n l t c a mình s l y đi m t s các đ ng xuầ ượ ư ỗ ườ ế ượ ủ ẽ ấ ộ ố ồ
sao cho nó là c c a s các đ ng xu hi n có trên bàn. Ng i l y đ ng xu l t cu iướ ủ ố ồ ệ ườ ấ ồ ượ ố
cùng là thua. N u An đi tr c, Bình s dùng chi n thu t nh th nào đ chi n th ng?ế ướ ẽ ế ậ ư ế ể ế ắ
-----H TẾ ------
M iọ th c m c vui lòng xin liên hắ ắ ệ hotline: 084 283 45 85

Đây là b nả xem thử, vui lòng mua tài li u đ xem chi ti t (có l i gi i)ệ ể ế ờ ả
ĐÁP ÁN THAM KH O – KHÁNH HÒA (2020 – 2021)Ả
Câu 1.
a) Ta có
3
3 2 2 7 5 2A
2 3
3
2 1 2 1
2 1 2 1 2
.
b)
2 2 2
x y z xy yz zx
2 2 2
0x y y z z x
x y z
Mà
3x y z
nên
1x y z
.
Do đó
2020 2020 2020
1 1 1 1 4B
.
Câu 2.
a) S d c a đa th c ố ư ủ ứ
( )f x
cho
x a
là
( )f a
, ta có:
2
2
( 4) 3 ( 4) 4 3 4
(1) 8 3
1 8
f b c b
f c
b c
.
V y ậ
4; 3b c
.
b) ĐKXĐ:
1x
.
Ta có
2 2 2
3 3 3 0x x x x x
4 3 2
4 2 12 9 0x x x x
2
3 1 0x x
M iọ th c m c vui lòng xin liên hắ ắ ệ hotline: 084 283 45 85

Đây là b nả xem thử, vui lòng mua tài li u đ xem chi ti t (có l i gi i)ệ ể ế ờ ả
3 (TM)
1 (TM)
x
x
V y ậ
1; 3x
.
Câu 3.
a)
2
2 2
2
2
a b
a b ab
v i m i s th c ớ ọ ố ự
,a b
.
Xét
2
2
2 2
0
2
a b
a b a b
đúng v i m i s th c ớ ọ ố ự
,a b
(1)
2
2
2 0
2
a b
ab a b
đúng v i m i s th c ớ ọ ố ự
,a b
(2)
T (1) và ( 2) ta có ừ
2
2 2
2
2
a b
a b ab
.
b) Áp d ng b t đ ng th c Cô-si ta có ụ ấ ẳ ứ
2 2
2a b ab
và
2
1 2 .b b
Suy ra
2 2
2a b
3 2( 1)ab b
.
Ta có:
2 2
1 1
2 3 2( 1)a b ab b
.
T ng t ươ ự
2 2
1 1
2 3 2( 1)b c bc c
;
2 2
1 1
2 3 2( 1)c a ac a
.
Đ t v trái c a BĐT c n ch ng minh là ặ ế ủ ầ ứ
A
, ta có:
1 1 1 1
2 1 1 1
A
ab b bc c ac a
1 1
(vì 1)
2 1 1 1
ab b
abc
ab b b ab ab b
1 1 1
2 1 2
ab b
ab b
.
M iọ th c m c vui lòng xin liên hắ ắ ệ hotline: 084 283 45 85

Đây là b nả xem thử, vui lòng mua tài li u đ xem chi ti t (có l i gi i)ệ ể ế ờ ả
D u “=” x y ra khi và ch khi ấ ả ỉ
1a b c
.
V y giá tr l n nh t c a ậ ị ớ ấ ủ
P
là
2
2
khi
1a b c
.
Câu 4.
a) Kéo dài
MI
c t ắ
DC
t i ạ
F
; kéo dài
NI
c t ắ
BC
t i ạ
E
.
Xét t giác ứ
MIEB
có
90B M E
nên t giác ứ
MIEB
là hình ch nh tữ ậ .
Mà
BI
là đ ng phân giác nên hình ch nh t ườ ữ ậ
MIEB
là hình vuông.
T ng t t giác ươ ự ứ
NDFI
là hình vuông
Ta có
IM IN AM BE
(do t giác ứ
ANIM
là hình ch nh t)ữ ậ
AM BM
( Do
MIEB
là hình vuông)
=
AB
( không đ i)ổ
b) Kéo dài
CI
c t ắ
MN
t i ạ
K
ta có
(c.g.c)NIM CEI
M iọ th c m c vui lòng xin liên hắ ắ ệ hotline: 084 283 45 85