TRƯỜNG ĐẠI HỌC KHTN 
ĐỀ KIỂM TRA KIẾN THỨC LỚP 9 
TRƯỜNG THPT CHUYÊN KHTN 
Môn: Toán (Vòng 1 – Đợt 1)  Ngày 20/1/2024 
Thời gian: 120 phút, không kể thời gian giao đề 
Câu 1. (3,0 điểm) 
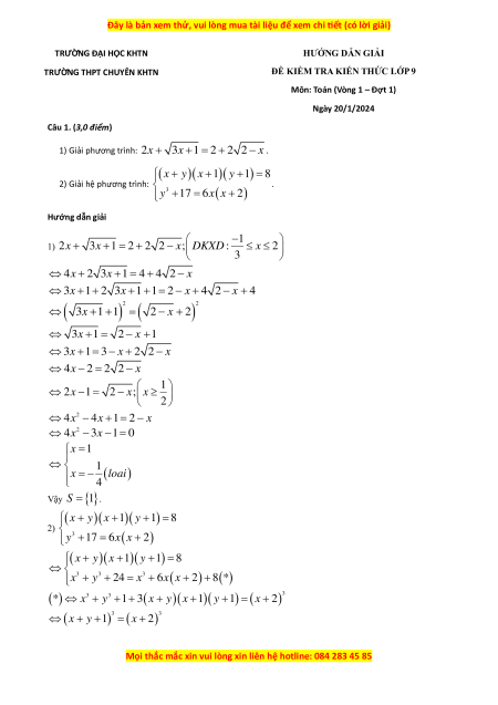
1) Giải phương trình: 2x +
3x +1 = 2 + 2 2 − x .  (  x + y  )(x + ) 1 ( y + ) 1 = 8
2) Giải hệ phương trình:  .  3 y +17 = 6x  (x + 2)
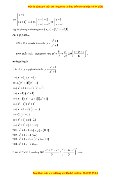
Câu 2. (3,0 điểm)  2 x + 1 1) Tìm ;
x y  nguyên thoả mãn y = 3 x + .  1 4 4 4 b c
 a + b + c  2) Với a; ; b c  chứng minh rằng 4 a + +  6  .  8 27  6 
Câu 3. (3,0 điểm) Cho tam giác nhọn ABC  nội tiếp đường tròn (O) . Các điểm E  và F  lần lượt nằm 
trên các cạnh CA  và AB  sao cho EF  song song với BC . Các đường thẳng BE  và CF  thứ tự cắt các 
tiếp tuyến tại C  và B  của (O) lần lượt tại K  và L . 
1) Đường thẳng qua B  và song song với AC  theo thứ tự cắt KC  và KA  tại X  và Y . Chứng minh 
rằng hai tam giác XBC  và BCA đồng dạng. 
2) Đường thẳng qua C  song song với AB  theo thứ tự cắt LB  và LA lần lượt tại Z  và T . Chứng  XB AF minh rằng  = .  ZC AE
3) Đường thẳng qua E  song song với AB  lần lượt cắt AK  và AL  tại M  và N . Đường thẳng qua 
F  song song với AC  lần lượt cắt AK  và AL  tại P  và Q . Chứng minh rằng bốn điểm M , N , P  
và Q  cùng thuộc vào một đường tròn. 
Câu 4. (1,0 điểm) Với a, ,
b c  0 thỏa mãn a + b + c + 2 = abc . Chứng minh rằng:  (a + ) 1 (b + ) 1 (c + ) 1  27.  HẾT   
   
TRƯỜNG ĐẠI HỌC KHTN  HƯỚNG DẪN GIẢI 
TRƯỜNG THPT CHUYÊN KHTN 
ĐỀ KIỂM TRA KIẾN THỨC LỚP 9 
Môn: Toán (Vòng 1 – Đợt 1)  Ngày 20/1/2024 
Câu 1. (3,0 điểm) 
1) Giải phương trình: 2x +
3x +1 = 2 + 2 2 − x .  (  x + y  )(x + ) 1 ( y + ) 1 = 8
2) Giải hệ phương trình:  .  3 y +17 = 6x  (x + 2) Hướng dẫn giải   1 − 
1) 2x + 3x + 1 = 2 + 2 2 − x; DKXD :  x  2      3 
 4x + 2 3x +1 = 4 + 4 2 − x  
 3x +1+ 2 3x +1 +1= 2 − x + 4 2 − x + 4 
 ( x + + )2 = ( − x + )2 3 1 1 2 2 
 3x +1 = 2 − x +1 
 3x +1= 3 − x + 2 2 − x  
 4x − 2 = 2 2 − x    1 
 2x −1 = 2 − x; x      2  2
 4x − 4x +1= 2 − x   2
 4x − 3x −1= 0  x =1    1   x = −  (loai)  4 Vậy S =   1 .  (  x + y  )(x + ) 1 ( y + ) 1 = 8 2)    3 y +17 = 6x  (x + 2) (  x + y  )(x + ) 1 ( y + ) 1 = 8     3 3 3
x + y + 24 = x + 6x  (x + 2) + 8(*)
( )  x + y + + (x + y)(x + )( y + ) = (x + )3 3 3 * 1 3 1 1 2 
 (x + y + )3 = (x + )3 1 2 
   
 y =1   (  + =  =   x + ) x 1 2 x 1 2 1 = 4       x +1 = −2 x = −3
Vậy hệ phương trình có nghiệm ( , x y) = (1; ) 1 ,( 3 − ; ) 1 . 
Câu 2. (3,0 điểm)  2 x + 1 1) Tìm ;
x y  nguyên thoả mãn y = 3 x + .  1 4 4 4 b c
 a + b + c  2) Với a; ; b c  chứng minh rằng 4 a + +  6  .  8 27  6  Hướng dẫn giải  2 x + 1 1) Ta có ;
x y  nguyên thoả mãn y = 3 x +  1  ( 2 x + ) ( 3 1 x + ) 1   x ( 2 x + ) ( 3 . 1 x + ) 1   ( 3
x + + x − ) ( 3 1 1 x + ) 1   (x − ) ( 3 1 x + ) 1   (x − )( 2 x + x + ) ( 3 1 1 x + ) 1   ( 3 x − ) ( 3 1 x + ) 1   ( 3 x + − ) ( 3 1 2 x + ) 1   − ( 3 2 x + ) 1   ( 3 x + ) 1 Ư (−2)   ( 3 x + ) 1  1  ;  2  TH1. 3 x +1 = 1 ( ; x y) = (0; ) 1  TH2. 3 x + 1 = 1 − (loại)  TH3. 3 x +1 = 2  ( ; x y) = (1; ) 1  TH4. 3 x + 1 = 2 − (loại)  4 4 4 4 a + b + c
 a + b + c  2) Với a; ; b c  áp dụng BĐT     ta có:  3  3 
   
 4  b b  4 4 + + 4 4 4 4 4 a b c  b   b  c    c 
 a + b + c  4 4 2 2 a + + = a + + +  3 + 3  6           .  8 27  2   2  27 3  3   6     
Câu 3. (3,0 điểm) Cho tam giác nhọn ABC  nội tiếp đường tròn (O) . Các điểm E  và F  lần lượt nằm 
trên các cạnh CA  và AB  sao cho EF  song song với BC . Các đường thẳng BE  và CF  thứ tự cắt các 
tiếp tuyến tại C  và B  của (O) lần lượt tại K  và L . 
1) Đường thẳng qua B  và song song với AC  theo thứ tự cắt KC  và KA  tại X  và Y . Chứng minh 
rằng hai tam giác XBC  và BCA đồng dạng. 
2) Đường thẳng qua C  song song với AB  theo thứ tự cắt LB  và LA lần lượt tại Z  và T . Chứng  XB AF minh rằng  = .  ZC AE
3) Đường thẳng qua E  song song với AB  lần lượt cắt AK  và AL  tại M  và N . Đường thẳng qua 
F  song song với AC  lần lượt cắt AK  và AL  tại P  và Q . Chứng minh rằng bốn điểm M , N , P  
và Q  cùng thuộc vào một đường tròn.  Hướng dẫn giải   
1) Có BX // AC  nên XBC = ACB  
Vì CX  là tiếp tuyến tại C của đường tròn (O) nên XCB = BAC   Xét XBC   và B
 CAcó XBC = ACB  và XCB = BAC   Nên X  BC ∽ B  CA 
2) Chứng minh tương tự câu 1 ta có Z  CB ∽ C  BAnên 
    
                            MUA NGAY ĐỂ XEM TOÀN BỘ TÀI LIỆU
                        
                        CÁCH MUA:
- B1: Gửi phí vào TK: 1053587071- NGUYEN VAN DOAN - Ngân hàng Vietcombank (QR)
- B2: Nhắn tin tới Zalo VietJack Official ( nhấn vào đây ) để xác nhận thanh toán và tải tài liệu - giáo án
Liên hệ ngay Hotline hỗ trợ: 084 283 45 85
Đề thi được cập nhật thêm mới liên tục hàng năm sau mỗi kì thi trên cả nước. Chúng tôi đảm bảo đủ số lượng đề đã cam kết hoặc có thể nhiều hơn, tất cả có BẢN WORD, LỜI GIẢI CHI TIẾT và tải về dễ dàng.
Để tải tài liệu gốc về máy bạn click vào nút Tải Xuống ở trên!
Bộ tài liệu bao gồm: 30 tài liệu lẻ (mua theo bộ tiết kiệm đến 50%)
- Tailieugiaovien.com.vn giới thiệu Bộ 45 đề thi Học sinh giỏi Toán lớp 9 bao gồm: 15 đề thi pdf có đáp án, 30 đề thi bản word có đáp án nhằm giúp Giáo viên có thêm tài liệu tham khảo Toán lớp 9.
- File word có lời giải chi tiết 100%.
- Mua trọn bộ sẽ tiết kiệm hơn tải lẻ 50%.
Đánh giá
4.6 / 5(9295 )5
                                            4
                                            3
                                            2
                                            1
                                             
                                        Trọng Bình
                                                
                                                
                                                
                                                
                                                
                                                Tài liệu hay
                                            
                                            
                                            Giúp ích cho tôi rất nhiều
 
                                        Duy Trần
                                                
                                                
                                                
                                                
                                                
                                                Tài liệu chuẩn
                                            
                                            
                                            Rất thích tài liệu bên VJ soạn (bám sát chương trình dạy)
 
                                             
                                             
                                             
                                             
                                             
                                            

 
                        
 Nhắn tin Zalo
 Nhắn tin Zalo