ệ đ xe ể m chi ti t ế (có l i ờ gi i ả ) S G Ở IÁO D C Ụ VÀ ĐÀO T O Ạ KỲ THI CH N Ọ H C Ọ SINH GI I Ỏ QUẢNG NGÃI CẤP T N Ỉ H L P Ớ 9 Năm h c: ọ 2022 – 2023 Ngày thi: 16/02/2023 Đ Ề CHÍNH TH C Ứ Môn: Toán Th i ờ gian làm bài: 150 phút
Bài 1. (4,0 đi m ể ) 1) Tìm số nguyên t
ố p sao cho p 10 và p 14 là các số nguyên tố. 2) Tìm t t ấ cả các nghi m
ệ nguyên x, y c a ủ phư ng ơ trình 2
x xy 2x 3y 4 0 .
3) Cho ba số a, b, c thoả mãn 2023
a b c 2 022 . Ch ng ứ minh 3 3 3
a b c chia h t ế cho 6.
Bài 2. (4,0 đi m ể ) 2 x 1 2 x 1) Cho bi u t ể h c: ứ M 1 : , v i ớ x 0 . x 1 1 x
x x x x 1 Rút g n ọ bi u ể th c
ứ M và tính giá tr ịc a ủ bi u ể th c ứ M khi x 2 023 2 2022 . 2) Cho ba số dư ng ơ
x, y, z th a
ỏ mãn x y z 1 . x y z Tìm giá tr l ị n ớ nh t ấ c a ủ bi u t ể h c: ứ P .
x 1 y 1 z 1
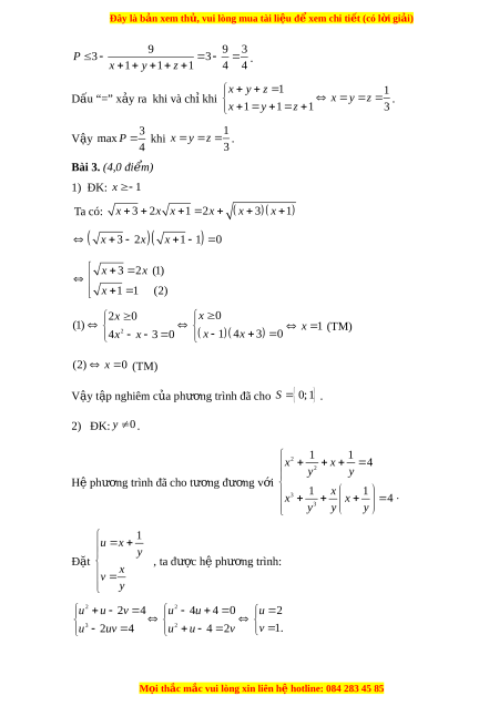
Bài 3. (4,0 đi m ể ) 1) Gi i ả phư ng t ơ rình 2
x 3 2x x 1 2 x x 4x 3. 1 1 2 x x 1 4 y y 2) Gi i ả h ph ệ ư ng t ơ rình 2 x x 1 3 x 4 2 3 y y y
Bài 4. (7,0 đi m ể ) M i
ọ thắc mắc vui lòng xin liên hệ hotline: 084 283 45 85
ệ đ xe ể m chi ti t ế (có l i ờ gi i ả ) 1) M t ộ h c ọ sinh có t m
ấ bìa hình vuông ABCD c nh ạ 20 c . m Em mu n ố c t ắ tấm bìa này thành b n
ố hình tam giác vuông b ng ằ nhau và ph n ầ còn l i ạ là hình vuông MNPQ th a
ỏ mãn M , N, P,Q lần lư t ợ thu c ộ các c nh
ạ AB, BC,CD, D . A Hãy xác đ nh ị vị trí các đi m
ể M , N, P,Q để di n
ệ tích hình vuông MNPQ là nh nh ỏ ất. 2) Cho đư ng ờ tròn tâm O đư ng ờ kính AB 2 . R Đi m ể M di đ ng ộ trên đo n
ạ OA ( M khác A), vẽ đư ng
ờ tròn tâm K đư ng ờ kính M . B G i ọ I là trung đi m ể c a ủ đo n ạ M , A đư ng ờ th ng
ẳ đi qua I vuông góc v i ớ AB c t ắ đư ng ờ tròn (O) t i ạ C và . D Đư ng ờ th ng ẳ CB c t ắ đư ng t ờ ròn (K) t i ạ . P a) Ch ng m ứ inh r ng ba đi ằ m ể P,M ,D th ng ẳ hàng. b) Ch ng ứ minh r ng ằ PI là ti p t ế uy n c ế a đ ủ ư ng ờ tròn (K). c) Tìm vị trí c a ủ M trên đo n ạ OA để di n
ệ tích tam giác IPK l n ớ nh t ấ .
Bài 5. (1,0 đi m ể ) Ngư i ờ ta làm m t ộ cái h p ộ hình vuông để đ ng ự đư c ợ 5 cái bánh hình tròn có đư ng
ờ kính 6 cm, sao cho không có b t
ấ kì hai cái bánh nào đư c ợ
chồng lên nhau. Hãy tính c nh ạ nh nh ỏ t ấ c a cái ủ h p. ộ H T Ế
Ghi chú: Giám th coi ị thi không gi i ả thích gì thêm. M i
ọ thắc mắc vui lòng xin liên hệ hotline: 084 283 45 85
ệ đ xe ể m chi ti t ế (có l i ờ gi i ả ) HƯ N Ớ G DẪN GIẢI
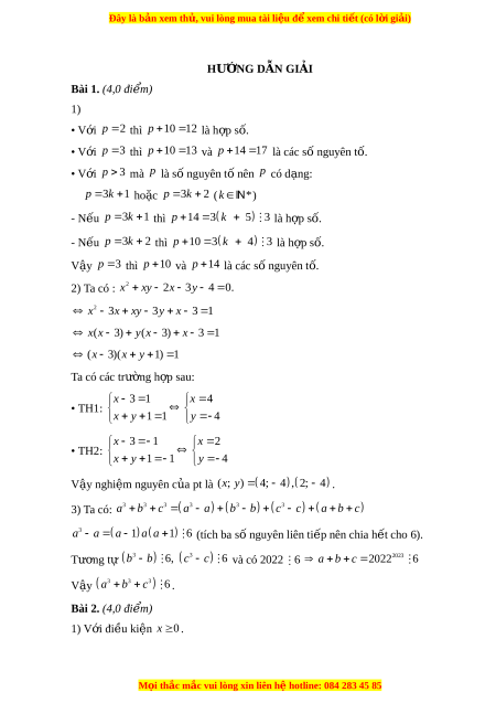
Bài 1. (4,0 đi m ể ) 1) • V i ớ p 2 thì p 10 1 2 là h p s ợ ố. • V i ớ p 3 thì p 10 1 3 và p 14 1
7 là các số nguyên tố. • V i
ớ p 3 mà p là số nguyên tố nên p có d ng: ạ p 3 k 1 ho c ặ p 3
k 2 ( k *) - N u ế p 3
k 1 thì p 14 3 k 5 3 là h p s ợ ố. - N u ế p 3
k 2 thì p 10 3 k 4 3 là h p s ợ ố. V y ậ p 3
thì p 10 và p 14 là các số nguyên tố. 2) Ta có : 2
x xy 2x 3y 4 0 . 2
x 3x xy 3y x 3 1
x(x 3) y(x 3) x 3 1
(x 3)(x y 1) 1 Ta có các trư ng h ờ p ợ sau: x 3 1 x 4 • TH1: x y 1 1 y 4 x 3 1 x 2 • TH2: x y 1 1 y 4 V y nghi ậ ệm nguyên c a ủ pt là ( ; x y)
4; 4 , 2; 4 . 3) Ta có: 3 3 3 a b c 3 a a 3 b b 3
c c a b c 3 a a a 1 a a 1 6
(tích ba số nguyên liên ti p nên chi ế a h t ế cho 6). Tư ng ơ t ự 3
b b 3 6, c c 6 và có 2022 6 2023
a b c 2 022 6 V y ậ 3 3 3
a b c 6 .
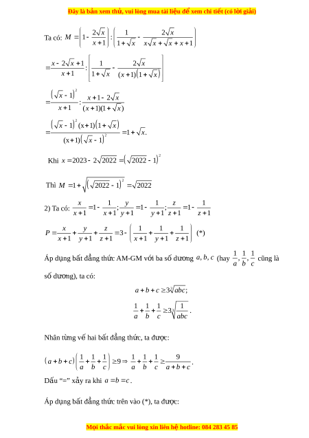
Bài 2. (4,0 đi m ể ) 1) V i ớ đi u ề ki n ệ x 0 . M i
ọ thắc mắc vui lòng xin liên hệ hotline: 084 283 45 85
ệ đ xe ể m chi ti t ế (có l i ờ gi i ả ) 2 x 1 2 x Ta có: M 1 : x 1 1 x
x x x x 1 x 2 x 1 1 2 x : x 1 1 x
(x 1)1 x x 2 1 x 1 2 x : x 1 (x 1)(1 x) x 2 1 (x1)1 x 1 x. (x1) x 2 1 Khi x 2 2023 2 2022 2022 1 Thì M 2 1 2022 1 2022 x 1 y 1 z 1 2) Ta có: 1 ; 1 ; 1 x 1 x 1 y 1 y 1 z 1 z 1 x y z 1 1 1 P 3 (*)
x 1 y 1 z 1
x 1 y 1 z 1 1 1 1 Áp d ng b ụ ất đ ng t ẳ h c ứ AM-GM v i ớ ba s d ố ư ng ơ
a, b, c (hay , , cũng là a b c số dư ng) ơ , ta có: 3
a b c 3 abc; 1 1 1 1 3 3 . a b c abc Nhân t ng v ừ hai ế b t ấ đ ng ẳ th c, ứ ta đư c: ợ 1 1 1 1 1 1 9
a b c 9 . a b c a b c
a b c Dấu “=” x y r
ả a khi a b c . Áp d ng b ụ ất đ ng t ẳ h c t ứ rên vào (*), ta đư c: ợ M i
ọ thắc mắc vui lòng xin liên hệ hotline: 084 283 45 85
Đề thi HSG Toán 9 cấp tỉnh - Quảng Ngãi năm học 2022 - 2023 có đáp án
1.5 K
728 lượt tải
MUA NGAY ĐỂ XEM TOÀN BỘ TÀI LIỆU
CÁCH MUA:
- B1: Gửi phí vào TK:
1053587071
- NGUYEN VAN DOAN - Ngân hàng Vietcombank (QR) - B2: Nhắn tin tới Zalo VietJack Official ( nhấn vào đây ) để xác nhận thanh toán và tải tài liệu - giáo án
Liên hệ ngay Hotline hỗ trợ: 084 283 45 85
Tài liệu được cập nhật liên tục trong gói này từ nay đến hết tháng 3/2024. Chúng tôi đảm bảo đủ số lượng đề đã cam kết hoặc có thể nhiều hơn, tất cả có BẢN WORD, LỜI GIẢI CHI TIẾT và tải về dễ dàng.
Để tải tài liệu gốc về máy bạn click vào nút Tải Xuống ở trên!
Thuộc bộ (mua theo bộ để tiết kiệm hơn):
- Tailieugiaovien.com.vn giới thiệu Đề thi HSG - Toán 9 - cấp tỉnh - Quảng Ngãi - năm học 2022 - 2023 có đáp án.
- File word có lời giải chi tiết 100%.
- Mua trọn bộ sẽ tiết kiệm hơn tải lẻ 50%.
Đánh giá
4.6 / 5(1456 )5
4
3
2
1

Trọng Bình
Tài liệu hay
Giúp ích cho tôi rất nhiều

Duy Trần
Tài liệu chuẩn
Rất thích tài liệu bên VJ soạn (bám sát chương trình dạy)
TÀI LIỆU BỘ BÁN CHẠY MÔN Toán Học
Xem thêmTÀI LIỆU BỘ BÁN CHẠY Lớp 9
Xem thêmTài liệu bộ mới nhất

Đây là b nả xem thử, vui lòng mua tài li u đ xem chi ti t (có l i gi i)ệ ể ế ờ ả
S GIÁO D C VÀ ĐÀO T OỞ Ụ Ạ
QU NG NGÃIẢ
KỲ THI CH N H C SINH GI IỌ Ọ Ỏ
C P T NH L P 9Ấ Ỉ Ớ
Năm h c: 2022 – 2023ọ
Ngày thi: 16/02/2023
Môn: Toán
Th i gian làm bài: 150 phútờ
Bài 1. (4,0 đi m)ể
1) Tìm s nguyên t ố ố
p
sao cho
10p
và
14p
là các s nguyên t .ố ố
2)
Tìm t t c các nghi m nguyênấ ả ệ
,x y
c a ph ng trìnhủ ươ
2
2 3 4 0. x xy x y
3) Cho ba s ố
, , a b c
tho mãn ả
2023
2022 . a b c
Ch ng minhứ
3 3 3
a b c
chia h t cho ế
6.
Bài 2. (4,0 đi m)ể
1) Cho bi u th c: ể ứ
2 1 2
1 :
1
1 1
x x
M
x
x x x x x
, v i ớ
0x
.
Rút g n bi u th c ọ ể ứ
M
và tính giá tr c a bi u th c ị ủ ể ứ
M
khi
2023 2 2022 x
.
2) Cho ba s d ng ố ươ
, ,x y z
th a mãn ỏ
1. x y z
Tìm giá tr l n nh t c a bi u th c: ị ớ ấ ủ ể ứ
.
1 1 1
x y z
P
x y z
Bài 3. (4,0 đi m)ể
1) Gi i ph ng trìnhả ươ
2
3 2 1 2 4 3. x x x x x x
2) Gi i h ph ng trình ả ệ ươ
2
2
3
2 3
1 1
1 4
1
4
x x
y y
x x
x
y y y
Bài 4. (7,0 đi m)ể
M iọ th c m c vui lòng xin liên hắ ắ ệ hotline: 084 283 45 85
Đ CHÍNH TH CỀ Ứ

Đây là b nả xem thử, vui lòng mua tài li u đ xem chi ti t (có l i gi i)ệ ể ế ờ ả
1) M t h c sinh có t m bìa hình vuông ộ ọ ấ
ABCD
c nh ạ
20
.cm
Em mu n c tố ắ
t m bìa này thành b n hình tam giác vuông b ng nhau và ph n còn l i là hìnhấ ố ằ ầ ạ
vuông
MNPQ
th a mãn ỏ
, , ,M N P Q
l n l t thu c các c nh ầ ượ ộ ạ
, , , .AB BC CD DA
Hãy xác đ nh v trí các đi m ị ị ể
, , ,M N P Q
đ di n tích hình vuông ể ệ
MNPQ
là
nh nh t.ỏ ấ
2) Cho đ ng tròn tâm ườ
O
đ ng kính ườ
2 .AB R
Đi m ể
M
di đ ng trênộ
đo n ạ
OA
(
M
khác
A
), v đ ng tròn tâmẽ ườ
K
đ ng kính ườ
.MB
G i ọ
I
là trung
đi m c a đo n ể ủ ạ
,MA
đ ng th ng đi qua ườ ẳ
I
vuông góc v i ớ
AB
c t đ ng trònắ ườ
(O)
t i ạ
C
và
.D
Đ ng th ng ườ ẳ
CB
c t đ ng tròn ắ ườ
(K)
t i ạ
.P
a) Ch ng minh r ng ba đi m ứ ằ ể
, ,DP M
th ng hàng.ẳ
b) Ch ng minh r ng ứ ằ
PI
là ti p tuy n c a đ ng tròn ế ế ủ ườ
(K).
c) Tìm v trí c a ị ủ
M
trên đo n ạ
OA
đ di n tích tam giác ể ệ
IPK
l nớ
nh t.ấ
Bài 5. (1,0 đi m)ể
Ng i ta làm m t cái h p hình vuông đ đ ng đ c ườ ộ ộ ể ự ượ
5
cái bánh hình
tròn có đ ng kính ườ
6 cm,
sao cho không có b t kì hai cái bánh nào đ cấ ượ
ch ng lên nhau. Hãy tính c nh nh nh t c a cái h p.ồ ạ ỏ ấ ủ ộ
H TẾ
Ghi chú: Giám th coi thi không gi i thích gì thêm.ị ả
M iọ th c m c vui lòng xin liên hắ ắ ệ hotline: 084 283 45 85

Đây là b nả xem thử, vui lòng mua tài li u đ xem chi ti t (có l i gi i)ệ ể ế ờ ả
H NG D N GI IƯỚ Ẫ Ả
Bài 1. (4,0 đi m)ể
1)
• V i ớ
2p
thì
10 12 p
là h p s .ợ ố
• V i ớ
3p
thì
10 13 p
và
14 17 p
là các s nguyên t .ố ố
• V i ớ
3p
mà
p
là s nguyên t nên ố ố
p
có d ng:ạ
3 1 p k
ho c ặ
3 2 p k
(
*k
)
- N u ế
3 1 p k
thì
14 3 5 3 p k
là h p sợ ố.
- N u ế
3 2 p k
thì
10 3 4 3 p k
là h p sợ ố.
V y ậ
3p
thì
10p
và
14p
là các s nguyên t .ố ố
2) Ta có :
2
2 3 4 0. x xy x y
2
3 3 3 1 x x xy y x
( 3) ( 3) 3 1 x x y x x
( 3)( 1) 1 x x y
Ta có các tr ng h p sau:ườ ợ
• TH1:
3 1 4
1 1 4
x x
x y y
• TH2:
3 1 2
1 1 4
x x
x y y
V y nghi mậ ệ nguyên c a pt là ủ
( ; ) 4; 4 , 2; 4 x y
.
3) Ta có:
3 3 3 3 3 3
a b c a a b b c c a b c
3
1 1 6 a a a a a
(tích ba s nguyên liên ti p nên chia h t cho 6).ố ế ế
T ng t ươ ự
3 3
6, 6 b b c c
và có 2022
6
2023
2022 6 a b c
V y ậ
3 3 3
6 a b c
.
Bài 2. (4,0 đi m)ể
1) V i đi u ki n ớ ề ệ
0x
.
M iọ th c m c vui lòng xin liên hắ ắ ệ hotline: 084 283 45 85

Đây là b nả xem thử, vui lòng mua tài li u đ xem chi ti t (có l i gi i)ệ ể ế ờ ả
Ta có:
2 1 2
1 :
1
1 1
x x
M
x
x x x x x
2 1 1 2
:
1
1
( 1) 1
x x x
x
x
x x
2
1
1 2
:
1
( 1)(1 )
x
x x
x
x x
2
2
1 (x 1) 1
1 .
(x 1) 1
x x
x
x
Khi
2
2023 2 2022 2022 1 x
Thì
2
1 2022 1 2022 M
2) Ta có:
1 1 1
1 ; 1 ; 1
1 1 1 1 1 1
x y z
x x y y z z
1 1 1
3 (*)
1 1 1 1 1 1
x y z
P
x y z x y z
Áp d ng b t đ ng th c AM-GM v i ba s d ng ụ ấ ẳ ứ ớ ố ươ
, ,a b c
(hay
1 1 1
, ,
a b c
cũng là
s d ng), ta có:ố ươ
3
3 ; a b c abc
3
1 1 1 1
3
a b c abc
.
Nhân t ng v hai b t đ ng th c, ta đ c:ừ ế ấ ẳ ứ ượ
1 1 1 1 1 1 9
9
a b c
a b c a b c a b c
.
D u “=” x y ra khi ấ ả
a b c
.
Áp d ng b t đ ng th c trên vào (*), ta đ c: ụ ấ ẳ ứ ượ
M iọ th c m c vui lòng xin liên hắ ắ ệ hotline: 084 283 45 85

Đây là b nả xem thử, vui lòng mua tài li u đ xem chi ti t (có l i gi i)ệ ể ế ờ ả
9 9 3
3 3
1 1 1 4 4
P
x y z
.
D uấ “=” x y ra ả khi và ch khi ỉ
1
1
1 1 1
3
x y z
x y z
x y z
.
V y ậ
3
max
4
P
khi
1
3
x y z
.
Bài 3. (4,0 đi m)ể
1) ĐK:
1x
Ta có:
3 2 1 2 3 1 x x x x x x
3 2 1 1 0 x x x
3 2 (1)
1 1 (2)
x x
x
2
0
2 0
(1)
1 4 3 0
4 3 0
x
x
x x
x x
1 x
(TM)
(2) 0 x
(TM)
V y t p nghiêm c a ph ng trình đã cho ậ ậ ủ ươ
0; 1S
.
2) ĐK:
0y
.
H ph ng trình đã cho t ng đ ng v i ệ ươ ươ ươ ớ
2
2
3
3
1 1
4
1 1
4
x x
y y
x
x x
y y y
Đ t ặ
1
u x
y
x
v
y
, ta đ c h ph ng trình:ượ ệ ươ
2 2
3 2
2 4 4 4 0 2
1.
2 4 4 2
u u v u u u
v
u uv u u v
M iọ th c m c vui lòng xin liên hắ ắ ệ hotline: 084 283 45 85