ệ đ xe ể m chi ti t ế (có l i ờ gi i ả ) S G Ở IÁO D C Ụ VÀ ĐÀO KỲ THI CH N Ọ H C Ọ SINH GIỎI C P Ấ TẠO T N Ỉ H SÓC TRĂNG Năm h c 2020 – 2021 ọ ĐỀ CHÍNH TH C Ứ Môn: Toán – L p 9 ớ (Th i
ờ gian làm bài 150 phút, không k phát ể đ ) ề
Bài 1. (4,0 đi m ể ) Cho bi u ể th c ứ 1 x 1 x 2021 x 1 P x 1
x 2021 x 2022 x 2021 x 1 2021 x a) Rút g n ọ bi u t ể h c ứ P . b) Tìm giá tr c ị a ủ x đ ể P 2 021 .
Bài 2. (4,0 đi m ể ) n 11 ...1 22...25 a) Cho số t ự nhiên 2021 2022
(số n gồm có 2021 ch s ữ ố 1, 2022 ch ữ s 2 ố và 1 chữ số 5 hàng đ ở n ơ vị). Ch ng ứ minh r ng ằ n là m t ộ số chính phư ng. ơ 2 2 b) Tìm giá tr nh ị nh ỏ t ấ c a bi ủ u ể th c ứ T 1
0x 4 y 16x 12 y 12xy 2031 . Bài 3: (4,0 đi m ể ) 2 2 a) Cho x , x
x (m 1)x m m 1 0 1 2 là hai nghi m ệ c a ủ phư ng ơ trình: . Tìm 3 3 x x 1 2 P m đ bi ể u ể th c ứ x x 2 1 đ t ạ giá tr l ị n nh ớ t ấ . b) Nhân d p ị t t ế Nguyên đán Tân S u. ử M t ộ nhà hàng phân ph i ố bánh k o ẹ đã chuẩn bị m t ộ số giỏ quà để t ng ặ cho các c a ử hàng. T t ấ c ả các gi ỏ quà đư c ợ đ a ư vào M i
ọ thắc mắc vui lòng xin liên hệ hotline: 084 283 45 85
ệ đ xe ể m chi ti t ế (có l i ờ gi i ả ) kho ch a ứ hàng và h ọ dự đ nh ị sẽ g i ử t t ấ c ả gi
ỏ quà đi trong 4 ngày. Ngày th ứ nh t ấ , họ 1 vào kho và l y r ấ a 7 số gi ỏ quà, sau đó đ ể l i ạ 3 gi . ỏ Ngày th ứ hai, h t ọ i p ế t c ụ vào kho 1 1
và lấy ra 3 số giỏ quà, đ ng ồ th i ờ l y ấ thêm 4 giỏ n a. ữ Ngày thứ ba, họ l y ấ ra 2 số
giỏ quà từ kho hàng và l y ấ thêm 1 giỏ quà n a. ữ Cu i ố cùng còn 42 gi ỏ quà. H i ỏ trong mỗi ngày, h đã l ọ ấy ra bao nhiêu gi quà? ỏ Bài 4: (4,0 đi m ể )
Cho tam giác ABC . D ng
ự ba tam giác cân ABP, ACQ, BCR lần lư t ợ có
AB, AC, BC là c nh
ạ đáy; PAB ACQ ACR ; hai tam giác ABP, ACQ n m ằ về phía
ngoài tam giác ABC ; tam giác BCR n m ằ trên cùng n a ử m t ặ ph ng ẳ có bờ ch a ứ c nh ạ BC v i ớ tam giác ABC . a) Ch ng
ứ minh ba tam giác sau đ ng d ồ ng ạ v i ớ nhau: A BC, P B , R Q RC b) M t ộ đư ng ờ th ng ẳ đi qua đi m ể P và c t
ắ AR, RQ, AQ theo thứ tự t i ạ E, K, . G Ch ng ứ minh 2
EP EK.EG . Bài 5: (4,0 đi m ể ) Cho đi m ể M n m ằ ngoài đư ng ờ tròn ;
O R . Qua M lần lư t ợ v ẽ các ti p ế tuy n ế M , A MB ( , A B là ti p ế đi m ể ) và cát tuy n ế MDC (MDớ đư ng ờ tròn (O;R), sao cho ABC là tam giác nh n. ọ a) Qua O vẽ đư ng ờ th ng ẳ vuông góc v i ớ OM, c t ắ các tia MA, MB l n ầ lư t ợ t i ạ I, J. Tìm giá tr nh ị nh ỏ t ấ c a ủ di n t ệ ích tam giác MIJ theo R. M i
ọ thắc mắc vui lòng xin liên hệ hotline: 084 283 45 85
ệ đ xe ể m chi ti t ế (có l i ờ gi i ả ) b) G i ọ E, F l n ầ lư t ợ là chân đư ng ờ cao k ẻ t ừ A và B c a ủ tam giác ABC. Qua M kẻ đư ng ờ th ng ẳ d song song v i ớ EF, d c t ắ các tia CA, CB l n ầ lư t ợ t i ạ K, L. Ch ng ứ minh b n ố đi m ể A, B, L, K cùng n m ằ trên m t ộ đư ng ờ tròn và trung đi m ể N c a ủ EF n m ằ trên MC. -----H T Ế ----- ĐÁP ÁN THAM KH O
Ả – SÓC TRĂNG (2020 – 2021) Bài 1. a) Đi u ki ề n: ệ x 0 ; x 1 1 x 1 x 2021 x 1 P x 1
x 2021 x 2022 x 2021 x 1 2021 x
x 1 x
2021 1 x 1 x 2021 x 20
21 x 1 x 1 . x 2021
x 1 x 2021
x x x 2 1 2021 1 1
x 2021 x 1 . x 2021
x 1 x 2021 x 20 21 x x x 2021 2020 2020 . x 2021
x 1 x 2021
x 2020 x 2020 x 1 .
x 2020 x 2020 P 2 021 20 21 b) x 1 1 5 x x 1 0 x 2 . M i
ọ thắc mắc vui lòng xin liên hệ hotline: 084 283 45 85
ệ đ xe ể m chi ti t ế (có l i ờ gi i ả ) 1 5 x K t ế h p ợ đi u ki ề n xác đ ệ nh: ị 2 . Bài 2. 2021 2 n 1 1...1 22...25 1 1...11.10 22...22.10 5 a) 2021 2022 2021 2022 2021 2021 1 2( 2021 1 ) 20212 20212 10 1 10 1 10 10 2.10 25 2021 2 n .10 2. .10 5 9 9 9 2 2(2021 1 ) 2021 1 2021 1 10 10.10 25 10 5 2 3 2021 1 Vì (10 5) 3
nên n là số chính phư ng. ơ b) Tìm giá tr nh ị ỏ nh t ấ c a ủ bi u t ể h c ứ 2 2 Ta có T 1
0x 4 y 16x 12 y 12xy 2031 . 2 2 2 4
y 12 y 12xy 9x 18x 9 x 2x 1 2030 2 2 2 (
2 y) 4 y(3x 3) (3x 3) (x 1) 2030 2 2 (
2 y 3x 3) (x 1) 2030 2
Ta có (2y 3x 3) 0 x , y ; 2 (x 1) 0 x 2 2 Do đó A (
2 y 3x 3) (x 1) 2030 2 030 .
2 y 3x 3 0 2 y 3 x 3 x 1 Dấu “=” x y ả ra khi và ch khi ỉ x 1 x 1 y 3 . V y ậ giá tr nh ị nh ỏ t ấ c a ủ bi u t ể h c
ứ A là 2030 khi và chỉ khi x 1 ; y 3 . Bài 3. M i
ọ thắc mắc vui lòng xin liên hệ hotline: 084 283 45 85
Đề thi HSG Toán 9 cấp tỉnh - Sóc Trăng năm học 2022 - 2023 có đáp án
2.4 K
1.2 K lượt tải
MUA NGAY ĐỂ XEM TOÀN BỘ TÀI LIỆU
CÁCH MUA:
- B1: Gửi phí vào TK:
1053587071
- NGUYEN VAN DOAN - Ngân hàng Vietcombank (QR) - B2: Nhắn tin tới Zalo VietJack Official ( nhấn vào đây ) để xác nhận thanh toán và tải tài liệu - giáo án
Liên hệ ngay Hotline hỗ trợ: 084 283 45 85
Tài liệu được cập nhật liên tục trong gói này từ nay đến hết tháng 3/2024. Chúng tôi đảm bảo đủ số lượng đề đã cam kết hoặc có thể nhiều hơn, tất cả có BẢN WORD, LỜI GIẢI CHI TIẾT và tải về dễ dàng.
Để tải tài liệu gốc về máy bạn click vào nút Tải Xuống ở trên!
Thuộc bộ (mua theo bộ để tiết kiệm hơn):
- Tailieugiaovien.com.vn giới thiệu Đề thi HSG Toán 9 Cấp tỉnh - Sóc Trăng năm học 2022 - 2023 có đáp án
- File word có lời giải chi tiết 100%.
- Mua trọn bộ sẽ tiết kiệm hơn tải lẻ 50%.
Đánh giá
4.6 / 5(2392 )5
4
3
2
1

Trọng Bình
Tài liệu hay
Giúp ích cho tôi rất nhiều

Duy Trần
Tài liệu chuẩn
Rất thích tài liệu bên VJ soạn (bám sát chương trình dạy)
TÀI LIỆU BỘ BÁN CHẠY MÔN Toán Học
Xem thêmTÀI LIỆU BỘ BÁN CHẠY Lớp 9
Xem thêmTài liệu bộ mới nhất

Đây là b nả xem thử, vui lòng mua tài li u đ xem chi ti t (có l i gi i)ệ ể ế ờ ả
S GIÁO D C VÀ ĐÀOỞ Ụ
T OẠ
SÓC TRĂNG
Đ CHÍNH TH CỀ Ứ
KỲ THI CH N H C SINH GI I C PỌ Ọ Ỏ Ấ
T NHỈ
Năm h c 2020 – 2021ọ
Môn: Toán – L p 9ớ
(Th i gian làm bài 150 phút, không k phát đ )ờ ể ề
Bài 1. (4,0 đi m)ể
Cho bi u th cể ứ
1 1 2021 1
1
1
2021 2022 2021 2021
x x x
P x
x
x x x x
a) Rút g n bi u th c ọ ể ứ
P
.
b) Tìm giá tr c a ị ủ
x
đ ể
2021P
.
Bài 2. (4,0 đi m)ể
a) Cho s t nhiên ố ự
2021 2022
11...122...25n
(s ố
n
g m có 2021 ch s 1, 2022 ch s 2ồ ữ ố ữ ố
và 1 ch s 5 hàng đ n v ). Ch ng minh r ng ữ ố ở ơ ị ứ ằ
n
là m t s chính ph ng.ộ ố ươ
b) Tìm giá tr nh nh t c a bi u th c ị ỏ ấ ủ ể ứ
2 2
10 4 16 12 12 2031T x y x y xy
.
Bài 3: (4,0 đi m)ể
a) Cho
1 2
, x x
là hai nghi m c a ph ng trình: ệ ủ ươ
2 2
( 1) 1 0x m x m m
. Tìm
m
đ bi u th c ể ể ứ
3 3
1 2
2 1
x x
P
x x
đ t giá tr l n nh t.ạ ị ớ ấ
b) Nhân d p t t Nguyên đán Tân S u. M t nhà hàng phân ph i bánh k o đãị ế ử ộ ố ẹ
chu n b m t s gi quà đ t ng cho các c a hàng. T t c các gi quà đ c đ a vàoẩ ị ộ ố ỏ ể ặ ử ấ ả ỏ ượ ư
M iọ th c m c vui lòng xin liên hắ ắ ệ hotline: 084 283 45 85

Đây là b nả xem thử, vui lòng mua tài li u đ xem chi ti t (có l i gi i)ệ ể ế ờ ả
kho ch a hàng và h d đ nh s g i t t c gi quà đi trong 4 ngày. Ngày th nh t, hứ ọ ự ị ẽ ử ấ ả ỏ ứ ấ ọ
vào kho và l y ra ấ
1
7
s gi quà, sau đó đ l i 3 gi . Ngày th hai, h ti p t c vào khoố ỏ ể ạ ỏ ứ ọ ế ụ
và l y ra ấ
1
3
s gi quà, đ ng th i l y thêm 4 gi n a. Ngày th ba, h l y ra ố ỏ ồ ờ ấ ỏ ữ ứ ọ ấ
1
2
số
gi quà t kho hàng và l y thêm 1 gi quà n a. Cu i cùng còn 42 gi quà. H i trongỏ ừ ấ ỏ ữ ố ỏ ỏ
m i ngày, h đã l y ra bao nhiêu gi quà?ỗ ọ ấ ỏ
Bài 4: (4,0 đi m)ể
Cho tam giác
ABC
. D ng ba tam giác cân ự
, , ABP ACQ BCR
l n l t cóầ ượ
, , AB AC BC
là c nh đáy; ạ
PAB ACQ ACR
; hai tam giác
, ABP ACQ
n m v phíaằ ề
ngoài tam giác
ABC
; tam giác
BCR
n m trên cùng n a m t ph ng có b ch a c nhằ ử ặ ẳ ờ ứ ạ
BC v i tam giác ớ
ABC
.
a) Ch ng minh ba tam giác sau đ ng d ng v i nhau: ứ ồ ạ ớ
, ,ABC PBR QRC
b) M t đ ng th ng đi qua đi m ộ ườ ẳ ể
P
và c t ắ
, , AR RQ AQ
theo th t t iứ ự ạ
, , .E K G
Ch ng minh ứ
2
.EP EK EG
.
Bài 5: (4,0 đi m)ể
Cho đi m ể
M
n m ngoài đ ng tròn ằ ườ
;O R
. Qua
M
l n l t v các ti p tuy nầ ượ ẽ ế ế
, MA MB
(
, A B
là ti p đi m) và cát tuy n MDC (MD<MC) v i đ ng tròn (O;R), saoế ể ế ớ ườ
cho ABC là tam giác nh n.ọ
a) Qua O v đ ng th ng vuông góc v i OM, c t các tia MA, MB l n l t t iẽ ườ ẳ ớ ắ ầ ượ ạ
I, J. Tìm giá tr nh nh t c a di n tích tam giác MIJ theo R.ị ỏ ấ ủ ệ
M iọ th c m c vui lòng xin liên hắ ắ ệ hotline: 084 283 45 85

Đây là b nả xem thử, vui lòng mua tài li u đ xem chi ti t (có l i gi i)ệ ể ế ờ ả
b) G i E, F l n l t là chân đ ng cao k t A và B c a tam giác ABC. Qua Mọ ầ ượ ườ ẻ ừ ủ
k đ ng th ng d song song v i EF, d c t các tia CA, CB l n l t t i K, L. Ch ngẻ ườ ẳ ớ ắ ầ ượ ạ ứ
minh b n đi m A, B, L, K cùng n m trên m t đ ng tròn và trung đi m N c a EFố ể ằ ộ ườ ể ủ
n m trên MC.ằ
-----H T-----Ế
ĐÁP ÁN THAM KH O – SÓC TRĂNG (2020 – 2021)Ả
Bài 1.
a) Đi u ki n: ề ệ
0; 1x x
1 1 2021 1
1
1
2021 2022 2021 2021
x x x
P x
x
x x x x
1 2021 1 1 2021 2021 1 1
.
2021
1 2021
x x x x x x x
x
x x
2
1 2021 1
1 2021 1
.
2021
1 2021
x x
x x x
x
x x
2021 2021
2020 2020
.
2021
1 2021
x x
x x
x
x x
2020 2020
1
x x
x
.
b)
2020 2020
2021 2021
1
x x
P
x
1 5
1 0
2
x x x
.
M iọ th c m c vui lòng xin liên hắ ắ ệ hotline: 084 283 45 85

Đây là b nả xem thử, vui lòng mua tài li u đ xem chi ti t (có l i gi i)ệ ể ế ờ ả
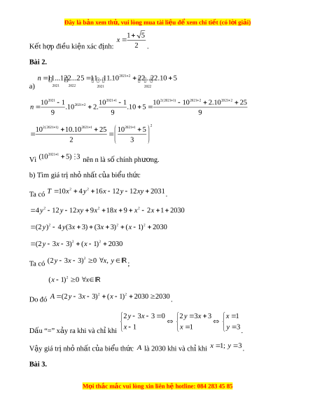
K t h p đi u ki n xác đ nh: ế ợ ề ệ ị
1 5
2
x
.
Bài 2.
a)
2021 2
2021 2022
2021 2022
11...122...25 11...11.10 22...22.10 5n
2021 2021 1 2( 2021 1) 2021 2 2021 2
2021 2
10 1 10 1 10 10 2.10 25
.10 2. .10 5
9 9 9
n
2
2(2021 1) 2021 1 2021 1
10 10.10 25 10 5
2 3
Vì
2021 1
(10 5) 3
nên n là s chính ph ng.ố ươ
b) Tìm giá tr nh nh t c a bi u th c ị ỏ ấ ủ ể ứ
Ta có
2 2
10 4 16 12 12 2031T x y x y xy
.
2 2 2
4 12 12 9 18 9 2 1 2030y y xy x x x x
2 2 2
(2 ) 4 (3 3) (3 3) ( 1) 2030y y x x x
2 2
(2 3 3) ( 1) 2030y x x
Ta có
2
(2 3 3) 0 ,y x x y
;
2
( 1) 0x x
Do đó
2 2
(2 3 3) ( 1) 2030 2030A y x x
.
D u “=” x y ra khi và ch khi ấ ả ỉ
2 3 3 0 2 3 3 1
1 1 3
y x y x x
x x y
.
V y giá tr nh nh t c a bi u th c ậ ị ỏ ấ ủ ể ứ
A
là 2030 khi và ch khi ỉ
1; 3x y
.
Bài 3.
M iọ th c m c vui lòng xin liên hắ ắ ệ hotline: 084 283 45 85

Đây là b nả xem thử, vui lòng mua tài li u đ xem chi ti t (có l i gi i)ệ ể ế ờ ả
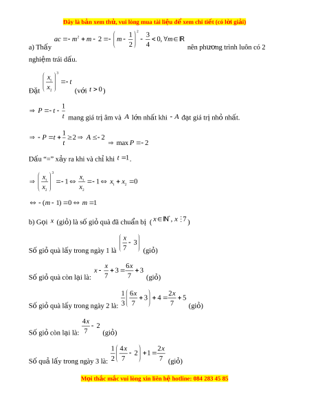
a) Th y ấ
2
2
1 3
2 0,
2 4
ac m m m m
nên ph ng trình luôn có 2 ươ
nghi m trái d u.ệ ấ
Đ t ặ
3
1
2
x
t
x
(v i ớ
0t
)
1
P t
t
mang giá tr âm và ị
A
l n nh t khi ớ ấ
A
đ t giá tr nh nh t.ạ ị ỏ ấ
1
2 2P t A
t
2max P
D u “=” x y ra khi và ch khi ấ ả ỉ
1t
.
3
1 1
1 2
2 2
1 1 0
x x
x x
x x
( 1) 0 1m m
b) G i ọ
x
(gi ) là s gi quà đã chu n b (ỏ ố ỏ ẩ ị
*
, 7x x
)
S gi quà l y trong ngày 1 là ố ỏ ấ
3
7
x
(gi )ỏ
S gi quà còn l i là: ố ỏ ạ
6
3 3
7 7
x x
x
(gi )ỏ
S gi quà l y trong ngày 2 là: ố ỏ ấ
1 6 2
3 4 5
3 7 7
x x
(gi )ỏ
S gi còn l i là: ố ỏ ạ
4
2
7
x
(gi )ỏ
S qu l y trong ngày 3 là: ố ả ấ
1 4 2
2 1
2 7 7
x x
(gi )ỏ
M iọ th c m c vui lòng xin liên hắ ắ ệ hotline: 084 283 45 85