ệ đ xe ể m chi ti t ế (có l i ờ gi i ả ) S G Ở IÁO D C Ụ VÀ ĐÀO T O Ạ KỲ THI CH N Ọ H C Ọ SINH GIỎI C P Ấ T N Ỉ H TIỀN GIANG HUYỆN TRUNG H C Ọ C S Ơ , N Ở ĂM H C Ọ 2020 – 2021 ĐỀ THI CHÍNH TH C Ứ Môn: Toán Th i
ờ gian: 150 phút (không k t ể h i ờ gian giao đ ) ề Ngày thi: 26/02/2021 Bài 1 (4 đi m ể )
A x x x 1) Tính giá tr c ị a ủ bi u t ể h c: ứ 2021 3 2 2 5 2 2020 , 3 5 2 17 5 38 x v i ớ 5 14 6 5 . 2) Tìm sáu số nguyên t l ố iên ti p m ế à có t ng l ổ à m t ộ s nguyên ố t . ố Bài 2 (6 đi m ể ) 18 2 1
1) Cho x, y là các số dư ng ơ th a ỏ x y . Tìm giá trị nhỏ nh t ấ c a ủ bi u ể th c ứ
P x y.
x x x x 2 2 7( 1) 5 1 2) Gi i ả phư ng ơ trình: .
3) Cho hàm số y f x v i
ớ f x là m t ộ bi u ể th c ứ đ i ạ số xác đ nh ị v i ớ m i ọ x . 2 3 Bi t ế r ng ằ
(x 1) f (2 x) (x x 4) f (2 x) x 1. Tính giá trị c a ủ bi u ể th c ứ f 5 . Bài 3 (4 đi m ể ) M i
ọ thắc mắc vui lòng xin liên hệ hotline: 084 283 45 85
ệ đ xe ể m chi ti t ế (có l i ờ gi i ả ) 1 P 2 : y x 1) Trong m t ặ ph ng ẳ t a
ọ độ Oxy , cho Parabol 4 . Đư ng ờ th ng ẳ : y m c t ắ P t i ạ hai đi m ể phân bi t ệ ,
A B . M là đi m ể tùy ý trên tr c
ụ Ox . Tìm m để tam
giác MAB có diện tích b ng ằ 2021. 2) M t ộ cung th ủ b n ắ h n ơ 11 l n ầ vào bia và đ u
ề trúng vào các vòng 8 đi m ể , 9 đi m ể , 10 đi m ể . Bi t ế t ng ổ số đi m ể cung thủ đ t ạ đư c ợ sau các l n ầ b n ắ là 100 đi m ể . H i ỏ cung th đã ủ b n bao nhi ắ êu l n và m ầ
ỗi vòng trúng bao nhiêu mũi tên? Bài 4 (2 đi m ể ) Cho a, ,
b c là ba số th c ự khác không th a
ỏ mãn a b c 2021 và 1 1 1 1 . a b c 2021 Ch ng ứ minh m t ộ trong ba số a, , b c ph i ả có m t ộ số b ng ằ 2021. Bài 5 (4 đi m ể )
Cho tam giác ABC có BAC 1 20 , ABC 4 5 n i ộ ti p ế đư ng ờ tròn tâm O và AC a 2. Các đư ng
ờ cao AN, BP và CQ c a ủ tam giác ABC c t ắ nhau t i ạ H ( P thu c ộ AC, Q thu c
ộ AB và N thu c ộ BC ). a) Tính bán kính đư ng t ờ
ròn O theo a và tính đ dài ộ c nh ạ BC . b) Ch ng m ứ inh 5 đi m ể ,
A Q, C, O, N cùng thu c ộ m t ộ đư ng t ờ
ròn và tính góc NQO . c) HB, HC c t ắ O t i ạ E, F . Ch ng
ứ minh tứ giác OEHF n i ộ ti p ế đư ng ờ tròn C và tính bán kính đư ng ờ tròn C . -----------------H T Ế ----------------- M i
ọ thắc mắc vui lòng xin liên hệ hotline: 084 283 45 85
ệ đ xe ể m chi ti t ế (có l i ờ gi i ả )
Thí sinh không đư c ợ s d ử ng t ụ ài li u. C ệ án b coi ộ thi không gi i
ả thích gì thêm.
Họ và tên thí sinh:…………………………………..S báo danh: ố …………………... ĐÁP ÁN THAM KH O Ả – TI N
Ề GIANG (2020 – 2021) Bài 1. 5 23 3
. 5 2 5 2 5 2 1 x 5 3 52 5 3 5 3 1) Ta có: . 2021 1 A Do đó: 27 . 2) G i
ọ p là số nguyên tố nh nh ỏ ất trong 6 s . ố • N u ế p ch n ẵ thì p 2 .
Do đó 6 số là: 2; 3; 5; 7; 11; 13. T ng b ổ ng
ằ 41, là số nguyên tố (th a ỏ mãn) • N u
ế p lẻ thì p 3 .
Do đó 6 số là: 3; 5; 7; 11; 13; 17 . T ng b ổ ng
ằ 56, không là số nguyên tố (lo i ạ ) V y ậ 6 số c n t
ầ ìm là: 2; 3; 5; 7; 11; 13. Bài 2. 2 2 2 18 2 18 2 18 2 32 1 1) Ta có: x y x y x y x y . M i
ọ thắc mắc vui lòng xin liên hệ hotline: 084 283 45 85
ệ đ xe ể m chi ti t ế (có l i ờ gi i ả )
Do đó x y 3 2 . 18 2 V y ậ min P 3 2 . Dấu “=” x y ả ra khi và ch khi ỉ x y . 2) Đi u ki ề n ệ x 1 .
x x x x 2 2 7( 1) 5 1
x x x x x x 2 7 1 1 5 1 x x 1 7 x x 1 5 x x 1 0
x x 1 12 x 1 2x 0
x x 1 6 x 1 x 0
6 x 1 x 0
(vì x x 1 1 do x 1 ) x 6 x 1 2 x 36 x 1 2
x 36x 36 0 x 1 8 1 2 2 (TM) V y ậ nghi m ệ phư ng t ơ rình là x 1 8 1 2 2 . 2 3
3) (x 1) f (2 x) (x x 4) f (2 x) x 1 (1) • Thay x 3 vào (1) ta đư c: ợ 4 f 1 16 f 5 28 (2)
• Thay x 3 vào (1) ta đư c: ợ 10 f
1 2 f 5 26 (3) 16 f 5 T ( ừ 2) và (3) suy ra 7 . M i
ọ thắc mắc vui lòng xin liên hệ hotline: 084 283 45 85
Đề thi HSG Toán 9 Cấp tỉnh - Tiền Giang năm học 2020 - 2021 có đáp án
1.5 K
731 lượt tải
MUA NGAY ĐỂ XEM TOÀN BỘ TÀI LIỆU
CÁCH MUA:
- B1: Gửi phí vào TK:
1053587071
- NGUYEN VAN DOAN - Ngân hàng Vietcombank (QR) - B2: Nhắn tin tới Zalo VietJack Official ( nhấn vào đây ) để xác nhận thanh toán và tải tài liệu - giáo án
Liên hệ ngay Hotline hỗ trợ: 084 283 45 85
Tài liệu được cập nhật liên tục trong gói này từ nay đến hết tháng 3/2024. Chúng tôi đảm bảo đủ số lượng đề đã cam kết hoặc có thể nhiều hơn, tất cả có BẢN WORD, LỜI GIẢI CHI TIẾT và tải về dễ dàng.
Để tải tài liệu gốc về máy bạn click vào nút Tải Xuống ở trên!
Thuộc bộ (mua theo bộ để tiết kiệm hơn):
- Tailieugiaovien.com.vn giới thiệu Đề thi HSG Toán 9 Cấp tỉnh - Tiền Giang năm học 2020 - 2021 có đáp án
- File word có lời giải chi tiết 100%.
- Mua trọn bộ sẽ tiết kiệm hơn tải lẻ 50%.
Đánh giá
4.6 / 5(1462 )5
4
3
2
1

Trọng Bình
Tài liệu hay
Giúp ích cho tôi rất nhiều

Duy Trần
Tài liệu chuẩn
Rất thích tài liệu bên VJ soạn (bám sát chương trình dạy)
TÀI LIỆU BỘ BÁN CHẠY MÔN Toán Học
Xem thêmTÀI LIỆU BỘ BÁN CHẠY Lớp 9
Xem thêmTài liệu bộ mới nhất

Đây là b nả xem thử, vui lòng mua tài li u đ xem chi ti t (có l i gi i)ệ ể ế ờ ả
S GIÁO D C VÀ ĐÀO T OỞ Ụ Ạ
T NH TI N GIANGỈ Ề
KỲ THI CH N H C SINH GI I C PỌ Ọ Ỏ Ấ
HUY NỆ
TRUNG H C C S , NĂM H C 2020 – 2021Ọ Ơ Ở Ọ
Môn: Toán
Th i gian: ờ 150 phút (không k th i gian giao đ )ể ờ ề
Ngày thi: 26/02/2021
Bài 1 (4 đi m)ể
1) Tính giá tr c a bi u th c: ị ủ ể ứ
2021
3 2
2 5 2 2020A x x x
,
v i ớ
3
5 2 17 5 38
5 14 6 5
x
.
2) Tìm sáu s nguyên t liên ti p mà có t ng là m t s nguyên t .ố ố ế ổ ộ ố ố
Bài 2 (6 đi m)ể
1) Cho
, x y
là các s d ng th a ố ươ ỏ
18 2
1
x y
. Tìm giá tr nh nh t c a bi u th cị ỏ ấ ủ ể ứ
.P x y
2) Gi i ph ng trình: ả ươ
2
2
7( 1) 5 1x x x x
.
3) Cho hàm s ố
y f x
v i ớ
f x
là m t bi u th c đ i s xác đ nh v i m i ộ ể ứ ạ ố ị ớ ọ
x
.
Bi t r ng ế ằ
2 3
( 1) (2 ) ( 4) (2 ) 1x f x x x f x x
. Tính giá tr c a bi u th cị ủ ể ứ
5f
.
Bài 3 (4 đi m)ể
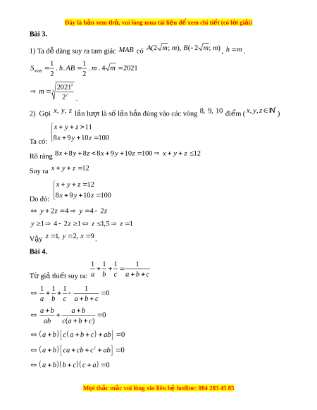
M iọ th c m c vui lòng xin liên hắ ắ ệ hotline: 084 283 45 85
Đ THI CHÍNH TH CỀ Ứ

Đây là b nả xem thử, vui lòng mua tài li u đ xem chi ti t (có l i gi i)ệ ể ế ờ ả
1) Trong m t ph ng t a đ ặ ẳ ọ ộ
Oxy
, cho Parabol
2
1
:
4
P y x
. Đ ng th ng ườ ẳ
: y m
c t ắ
P
t i hai đi m phân bi t ạ ể ệ
, A B
.
M
là đi m tùy ý trên tr c ể ụ
Ox
. Tìm m đ tamể
giác
MAB
có di n tích b ng 2021.ệ ằ
2) M t cung th b n h n 11 l n vào bia và đ u trúng vào các vòng 8 đi m, 9 đi m, 10ộ ủ ắ ơ ầ ề ể ể
đi m. Bi t t ng s đi m cung th đ t đ c sau các l n b n là 100 đi m. H i cungể ế ổ ố ể ủ ạ ượ ầ ắ ể ỏ
th đã b n bao nhiêu l n và m i vòng trúng bao nhiêu mũi tên?ủ ắ ầ ỗ
Bài 4 (2 đi m)ể
Cho
, , a b c
là ba s th c khác không th a mãn ố ự ỏ
2021a b c
và
1 1 1 1
.
2021a b c
Ch ng minh m t trong ba s ứ ộ ố
, , a b c
ph i có m t s b ng 2021.ả ộ ố ằ
Bài 5 (4 đi m)ể
Cho tam giác
ABC
có
120 , 45BAC ABC
n i ti p đ ng tròn tâm ộ ế ườ
O
và
2.AC a
Các đ ng cao ườ
, AN BP
và
CQ
c a tam giác ủ
ABC
c t nhau t i ắ ạ
H
(
P
thu c ộ
, AC Q
thu c ộ
AB
và
N
thu c ộ
BC
).
a) Tính bán kính đ ng tròn ườ
O
theo
a
và tính đ dài c nh ộ ạ
BC
.
b) Ch ng minh 5 đi m ứ ể
, , , , A Q C O N
cùng thu c m t đ ng tròn và tính góc ộ ộ ườ
NQO
.
c)
, HB HC
c t ắ
O
t i ạ
, E F
. Ch ng minh t giác ứ ứ
OEHF
n i ti p đ ng tròn ộ ế ườ
C
và tính bán kính đ ng tròn ườ
C
.
-----------------H T-----------------Ế
M iọ th c m c vui lòng xin liên hắ ắ ệ hotline: 084 283 45 85

Đây là b nả xem thử, vui lòng mua tài li u đ xem chi ti t (có l i gi i)ệ ể ế ờ ả
Thí sinh không đ c s d ng tài li u. Cán b coi thi không gi i thích gì thêm.ượ ử ụ ệ ộ ả
H và tên thí sinh:…………………………………..S báo danh:…………………...ọ ố
ĐÁP ÁN THAM KH O – TI N GIANG (2020 – 2021)Ả Ề
Bài 1.
1) Ta có:
3
3
2
5 2 . 5 2
5 2 5 2
1
3
5 3 5
5 3 5
x
.
Do đó:
2021
1
27
A
.
2) G i ọ
p
là s nguyên t nh nh t trong 6 s .ố ố ỏ ấ ố
• N u ế
p
ch n thì ẵ
2p
.
Do đó 6 s là: ố
2; 3; 5; 7; 11; 13
.
T ng b ng 41, là s nguyên t (th a mãn)ổ ằ ố ố ỏ
• N u ế
p
l thì ẻ
3p
.
Do đó 6 s là: ố
3; 5; 7; 11; 13; 17
.
T ng b ng 56, không là s nguyên t (lo i)ổ ằ ố ố ạ
V y 6 s c n tìm là: ậ ố ầ
2; 3; 5; 7; 11; 13
.
Bài 2.
1) Ta có:
2 2 2
18 2 18 2
18 2 32
1
x y x y x y x y
.
M iọ th c m c vui lòng xin liên hắ ắ ệ hotline: 084 283 45 85

Đây là b nả xem thử, vui lòng mua tài li u đ xem chi ti t (có l i gi i)ệ ể ế ờ ả
Do đó
32x y
.
V y ậ
min 32P
. D u “=” x y ra khi và ch khi ấ ả ỉ
18 2
x y
.
2) Đi u ki n ề ệ
1x
.
2
2
7( 1) 5 1x x x x
2
7 1 1 5 1x x x x x x
1 7 1 5 1 0x x x x x x
1 12 1 2 0x x x x
1 6 1 0x x x x
6 1 0x x
(vì
1 1x x
do
1x
)
6 1x x
2
36 1x x
2
36 36 0x x
18 12 2x
(TM)
V y nghi m ph ng trình là ậ ệ ươ
18 12 2x
.
3)
2 3
( 1) (2 ) ( 4) (2 ) 1x f x x x f x x
(1)
• Thay
3x
vào (1) ta đ c: ượ
4 1 16 5 28f f
(2)
• Thay
3x
vào (1) ta đ c:ượ
10 1 2 5 26f f
(3)
T (2) và (3) suy ra ừ
16
5
7
f
.
M iọ th c m c vui lòng xin liên hắ ắ ệ hotline: 084 283 45 85

Đây là b nả xem thử, vui lòng mua tài li u đ xem chi ti t (có l i gi i)ệ ể ế ờ ả
Bài 3.
1) Ta d dàng suy ra tam giác ễ
MAB
có
(2 ; ), ( 2 ; )A m m B m m
,
h m
.
1 1
. . . . 4 2021
2 2
MAB
S h AB m m
2
3
2
2021
2
m
.
2) G i ọ
, , x y z
l n l t là s l n b n đúng vào các vòng ầ ượ ố ầ ắ
8, 9, 10
đi m (ể
*
, ,x y z
)
Ta có:
11
8 9 10 100
x y z
x y z
Rõ ràng
8 8 8 8 9 10 100 12x y z x y z x y z
Suy ra
12x y z
Do đó:
12
8 9 10 100
x y z
x y z
2 4 4 2y z y z
1 4 2 1 1,5 1y z z z
V y ậ
1, 2, 9z y x
.
Bài 4.
T gi thi t suy ra: ừ ả ế
1 1 1 1
a b c a b c
1 1 1 1
0
a b c a b c
0
( )
a b a b
ab c a b c
0a b c a b c ab
2
0a b ca cb c ab
0a b b c c a
M iọ th c m c vui lòng xin liên hắ ắ ệ hotline: 084 283 45 85