ĐỀ KHẢO SÁT CHẤT LƯỢNG ĐỀ VIP 10
TRUNG HỌC PHỔ THÔNG 2022 – 2023 Môn thi: TOÁN Thời gian làm bài: phút Câu 1. Hàm số có
đồ thị như hình vẽ bên. Khẳng định nào sau đây đúng? A. B. C. D. Câu 2. Cho hàm số
có bảng xét dấu đạo hàm như sau
Mệnh đề nào dưới đây đúng?
A. Hàm số đồng biến trên khoảng
B. Hàm số đồng biến trên khoảng
C. Hàm số nghịch biến trên khoảng
D. Hàm số nghịch biến trên khoảng Câu 3. Cho hàm số
có bảng biến thiên như sau
Mệnh đề nào sau đây là sai?
A. Hàm số có giá trị cực tiểu B. Hàm số có giá trị nhỏ nhất bằng
C. Hàm số có đúng một điểm cực trị.
D. Hàm số đạt cực đại tại
Câu 4. Biết rằng đồ thị hàm số
nhận hai trục tọa độ làm
hai đường tiệm cận. Tính tổng A. B. C. D.
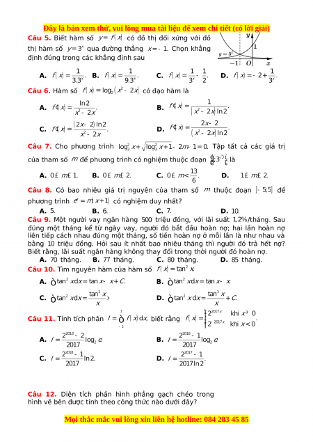
Câu 5. Biết hàm số
có đồ thị đối xứng với đồ thị hàm số qua đường thẳng Chọn khẳng
định đúng trong các khẳng định sau A. B. C. D. Câu 6. Hàm số có đạo hàm là A. B. C. D.
Câu 7. Cho phương trình
Tập tất cả các giá trị của tham số
để phương trình có nghiệm thuộc đoạn là A. B. C. D.
Câu 8. Có bao nhiêu giá trị nguyên của tham số thuộc đoạn để phương trình có nghiệm duy nhất? A. B. C. D.
Câu 9. Một người vay ngân hàng
triệu đồng, với lãi suất /tháng. Sau
đúng một tháng kể từ ngày vay, người đó bắt đầu hoàn nợ; hai lần hoàn nợ
liên tiếp cách nhau đúng một tháng, số tiền hoàn nợ ở mỗi lần là như nhau và bằng
triệu đồng. Hỏi sau ít nhất bao nhiêu tháng thì người đó trả hết nợ?
Biết rằng, lãi suất ngân hàng không thay đổi trong thời người đó hoàn nợ. A. tháng. B. tháng. C. tháng. D. tháng.
Câu 10. Tìm nguyên hàm của hàm số A. B. C. D.
Câu 11. Tính tích phân biết rằng A. B. C. D.
Câu 12. Diện tích phần hình phẳng gạch chéo trong
hình vẽ bên được tính theo công thức nào dưới đây?
A. . B. . D. . C. .
Câu 13. Cho hình phẳng
giới hạn bởi đường cong , trục hoành và các đường thẳng
. Tính thể tích của khối tròn xoay tạo thành khi quay quanh trục hoành. A. B. C. D.
Câu 14. Cho đồ thị biểu diễn vận tốc của hai xe A và
B khởi hành cùng một lúc, bên cạnh nhau và trên cùng
một con đường. Biết đồ thị biểu diễn vận tốc của xe A
là một đường Parabol, đồ thị biểu diễn vận tốc của xe
B là một đường thẳng ở hình bên. Hỏi sau khi đi được
giây khoảng cách giữa hai xe là bao nhiêu mét? A. B. C. D.
Câu 15. Cho số phức thỏa mãn và điểm
trong hình vẽ bên là điểm biểu diễn của . Biết rằng
trong hình vẽ bên, điểm biểu diễn của số phức
là một trong bốn điểm . Khi đó
điểm biểu diễn của số phức là A. Điểm B. Điểm C. Điểm D. Điểm
Câu 16. Mệnh đề nào sau đây là đúng? A. . B. . C. . D. .
Câu 17. Tìm các giá trị của tham số thực để số phức là số thực. A. và . B. . C. hoặc . D. .
Câu 18. Cho số phức thỏa Tính A. B. C. D.
Câu 19. Với và là hai số nguyên dương tùy ý thỏa mãn mệnh đề nào dưới đây đúng? A. B. C. D.
Câu 20. Tìm hệ số của trong khai triển A. B. C. D.
Câu 21. Gieo một đồng tiền xu cân đối đồng chất lần. Gọi là biến cố:
"Mặt sấp xuất hiện ở lần gieo thứ " với Khi biến cố là biến cố
A. "Cả lần gieo đều được mặt sấp".
B. "Mặt sấp xuất hiện không quá một lần ".
C. "Mặt ngửa xuất hiện ít nhất một lần ".
D. "Cả lần gieo đều được mặt ngửa ".
Câu 22. Cho cấp số nhân với công bội và cấp số cộng có công sai
Hỏi có tất cả bao nhiêu số có mặt đồng thời trong
số hạng đầu tiên của cả hai cấp số cộng nói trên? A. B. C. D.
Câu 23. Một hình vuông có cạnh diện tích Nối 4 trung điểm
theo thứ tự của 4 cạnh
ta được hình vuông thứ hai là có diện tích
Tiếp tục như thế ta được hình vuông thứ ba là có diện tích và cứ tiếp
tục như thế, ta được diện tích Tính A. B. C. D. Câu 24. Cho Khi đó bằng A. B. C. D. Câu 25. Cho hàm số có đồ thị như hình vẽ bên, và là các tiếp tuyến của
Dựa vào hình vẽ, hãy tính A. B. C. D.
Câu 26. Cho tứ diện Gọi
lần lượt là trọng tâm các tam giác
Khẳng định nào sau đây đúng ? A. và B. và C. và D. và
Đề thi thử THPT Quốc Gia môn Toán có đáp án (đề 10 ) - thầy Huỳnh Đức Khánh
681
341 lượt tải
MUA NGAY ĐỂ XEM TOÀN BỘ TÀI LIỆU
CÁCH MUA:
- B1: Gửi phí vào TK:
1133836868- CT TNHH DAU TU VA DV GD VIETJACK - Ngân hàng MB (QR) - B2: Nhắn tin tới Zalo VietJack Official ( nhấn vào đây ) để xác nhận thanh toán và tải tài liệu - giáo án
Liên hệ ngay Hotline hỗ trợ: 084 283 45 85
Đề thi được cập nhật liên tục trong gói này từ nay đến hết tháng 6/2023. Chúng tôi đảm bảo đủ số lượng đề đã cam kết hoặc có thể nhiều hơn, tất cả có BẢN WORD, LỜI GIẢI CHI TIẾT và tải về dễ dàng.
Để tải tài liệu gốc về máy bạn click vào nút Tải Xuống ở trên!
Thuộc bộ (mua theo bộ để tiết kiệm hơn):
- Các đề thi được chọn lọc từ các trường Chuyên và Sở Giáo dục cả nước. Đảm bảo chất lượng, cấu trúc bám sát nhất với kì thì TN THPT 2023 môn Toán.
- File word có lời giải chi tiết 100%.
- Đề thi mới sẽ được cập nhật tại gói này đến sát kì thi TN THPT 2023
- Mua trọn bộ sẽ tiết kiệm hơn tải lẻ 50%.
Đánh giá
4.6 / 5(681 )5
4
3
2
1
Trọng Bình
Tài liệu hay
Giúp ích cho tôi rất nhiều
Duy Trần
Tài liệu chuẩn
Rất thích tài liệu bên VJ soạn (bám sát chương trình dạy)
TÀI LIỆU BỘ BÁN CHẠY MÔN Toán Học
Xem thêmTÀI LIỆU BỘ BÁN CHẠY Lớp 12
Xem thêmTài liệu bộ mới nhất

ĐỀ KHẢO SÁT CHẤT
LƯỢNG
ĐỀ VIP 10 TRUNG HỌC PHỔ THÔNG 2022 – 2023
Môn thi:
TOÁN
Thời gian làm bài: phút
Câu 1. Hàm số có
đồ thị như hình vẽ bên. Khẳng định nào sau đây
đúng?
A.
B.
C.
D.
Câu 2. Cho hàm số có bảng xét dấu đạo hàm như sau
Mệnh đề nào dưới đây đúng?
A. Hàm số đồng biến trên khoảng
B. Hàm số đồng biến trên khoảng
C. Hàm số nghịch biến trên khoảng
D. Hàm số nghịch biến trên khoảng
Câu 3. Cho hàm số có bảng biến thiên như sau
Mênh đề nào sau đây là sai?
A. Hàm số có giá trị cực tiểu B. Hàm số có giá
trị nhỏ nhất bằng
C. Hàm số có đúng một điểm cực trị. D. Hàm số đạt cực
đại tại
Câu 4. Biết rằng đồ thị hàm số nhận hai trục tọa độ làm
hai đường tiệm cận. Tính tổng
A. B. C. D.
!"##$%&'()*(+),(,

Câu 5. Biết hàm số có đồ thị đối xứng với đồ
thị hàm số qua đường thẳng Chọn khẳng
định đúng trong các khẳng định sau
A. B. C. D.
Câu 6. Hàm số có đạo hàm là
A. B.
C. D.
Câu 7. Cho phương trình Tập tất cả các giá trị
của tham số để phương trình có nghiệm thuộc đoạn là
A. B. C. D.
Câu 8. Có bao nhiêu giá trị nguyên của tham số thuộc đoạn để
phương trình có nghiệm duy nhất?
A. B. C. D.
Câu 9. Một người vay ngân hàng triệu đồng, với lãi suất /tháng. Sau
đúng một tháng kể từ ngày vay, người đó bắt đầu hoàn nợ; hai lần hoàn nợ
liên tiếp cách nhau đúng một tháng, số tiền hoàn nợ ở mỗi lần là như nhau và
bằng triệu đồng. Hỏi sau ít nhất bao nhiêu tháng thì người đó trả hết nợ?
Biết rằng, lãi suất ngân hàng không thay đổi trong thời người đó hoàn nợ.
A. tháng. B. tháng. C. tháng. D. tháng.
Câu 10. Tìm nguyên hàm của hàm số
A. B.
C. D.
Câu 11. Tính tích phân biết rằng
A. B.
C. D.
Câu 12. Diện tích phần hình phẳng gạch chéo trong
hình vẽ bên được tính theo công thức nào dưới đây?
!"##$%&'()*(+),(,

A. . B. .
D. . C. .
Câu 13. Cho hình phẳng giới hạn bởi đường cong , trục hoành
và các đường thẳng . Tính thể tích của khối tròn xoay tạo thành
khi quay quanh trục hoành.
A. B. C. D.
Câu 14. Cho đồ thị biểu diễn vận tốc của hai xe A và
B khởi hành cùng một lúc, bên cạnh nhau và trên cùng
một con đường. Biết đồ thị biểu diễn vận tốc của xe A
là một đường Parabol, đồ thị biểu diễn vận tốc của xe
B là một đường thẳng ở hình bên. Hỏi sau khi đi được
giây khoảng cách giữa hai xe là bao nhiêu mét?
A. B. C. D.
Câu 15. Cho số phức thỏa mãn và điểm
trong hình vẽ bên là điểm biểu diễn của . Biết rằng
trong hình vẽ bên, điểm biểu diễn của số phức
là một trong bốn điểm . Khi đó
điểm biểu diễn của số phức là
A. Điểm B. Điểm C. Điểm D. Điểm
Câu 16. Mệnh đề nào sau đây là đúng?
A. . B. . C. . D. .
Câu 17. Tìm các giá trị của tham số thực để số phức
là số thực.
A. và . B. .
C. hoặc . D. .
Câu 18. Cho số phức thỏa Tính
A. B. C. D.
Câu 19. Với và là hai số nguyên dương tùy ý thỏa mãn mệnh đề nào
dưới đây đúng?
A. B.
C. D.
!"##$%&'()*(+),(,

Câu 20. Tìm hệ số của trong khai triển
A. B. C. D.
Câu 21. Gieo một đồng tiền xu cân đối đồng chất lần. Gọi là biến cố:
"Mặt sấp xuất hiện ở lần gieo thứ " với Khi biến cố là
biến cố
A. "Cả lần gieo đều được mặt sấp".
B. "Mặt sấp xuất hiện không quá một lần ".
C. "Mặt ngửa xuất hiện ít nhất một lần ".
D. "Cả lần gieo đều được mặt ngửa ".
Câu 22. Cho cấp số nhân với công bội và cấp số cộng có
công sai Hỏi có tất cả bao nhiêu số có mặt đồng thời trong
số hạng đầu tiên của cả hai cấp số cộng nói trên?
A. B. C. D.
Câu 23. Một hình vuông có cạnh diện tích
Nối 4 trung điểm theo thứ tự của 4 cạnh
ta được hình vuông thứ hai là có diện
tích Tiếp tục như thế ta được hình vuông thứ ba là
có diện tích và cứ tiếp
tục như thế, ta được diện tích Tính
A. B. C. D.
Câu 24. Cho Khi đó bằng
A. B. C. D.
Câu 25. Cho hàm số có đồ thị
như hình vẽ bên, và là các tiếp tuyến
của Dựa vào hình vẽ, hãy tính
A. B.
C. D.
Câu 26. Cho tứ diện Gọi lần lượt là trọng tâm các tam giác
Khẳng định nào sau đây đúng ?
A. và B. và
C. và D. và
!"##$%&'()*(+),(,

Câu 27. Tứ diện có đôi một vuông góc và
Tan của góc giữa đường thẳng và mặt phẳng
bằng
A. B. C. D.
Câu 28. Cho hình chóp có đáy là hình vuông cạnh tam giác
đều và nằm trong mặt phẳng vuông góc với đáy. Khoảng cách giữa hai
đường thẳng và bằng
A. B. C. D.
Câu 29. Cho hình lập phương Gọi lần lượt là trung điểm
của Cosin của góc hợp bởi và bằng
A. B. C. D.
Câu 30. Cho khối lăng trụ tam giác đều có cạnh đáy bằng góc
giữa đường thẳng và mặt đáy bằng Khoảng cách giữa hai đường
thẳng và bằng
A. B. C. D.
Câu 31. Một hình chóp có cạnh. Hỏi hình chóp đó có bao nhiêu mặt?
A. B. C. D.
Câu 32. Cho tứ diện có các cạnh và đôi một vuông góc
với nhau; và Gọi tương ứng là trung điểm
các cạnh Tính thể tích của tứ diện
A. B. C. D.
Câu 33. Thiết diện qua trục của một hình nón là một tam giác vuông cân có
cạnh huyền bằng Thể tích của khối nón đã cho bằng
A. B. C. D.
Câu 34. Cho hình chóp có đáy là hình vuông cạnh Đường
thẳng vuông góc đáy Gọi là hình chiếu của trên đường
thẳng . Bán kính mặt cầu ngoại tiếp tứ diện bằng
A. B. C. D.
Câu 35. Trong không gian với hệ tọa độ cho tứ diện với
điểm thuộc và thể tích của tứ diện bằng
Tọa độ của đỉnh là
A. B.
C. hoặc D. hoặc
Câu 36. Trong không gian với hệ tọa độ cho
là phương trình mặt cầu và
!"##$%&'()*(+),(,
