ĐỀ SỐ 35
Bài 1: (2,5 điểm) Thực hiện phép tính: a) b) c)
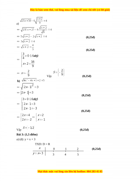
Bài 2: (1,5 điểm) Giải các phương trình: a) b)
Bài 3: (1,5 điểm)
a) Vẽ đồ thị hàm số (d): y = x + 3
b) Lấy điểm A trên (d) có hoành độ bằng -1. Viết phương trình đường thẳng , biết
song song với (d) và đi qua điểm A.
Bài 4: (1 điểm) a) Thu gọn: với
b) Để chuẩn bị khai giảng năm học mới ở trường, bác bảo vệ kiểm tra cột cờ thì
phát hiện dây kéo cờ bị hỏng nên phải thay dây mới. Để mua dây kéo cờ không bị thừa
nên trường nhờ một giáo viên dạy toán đo chiều cao cột cờ. Giáo viên không dùng thước
đo chiều cao cột cờ mà dùng giác kế ngắm cột cờ với góc 36050’, chân giác kế cách cột
cờ là 9,6 m, chiều cao của giác kế là 1,5 m. Vậy dây kéo cờ bao nhiêu mét? (kết quả làm
tròn đến chữ số thập phân thứ hai)
Câu 5: (3,5 điểm) Cho tam giác ABC vuông tại A. Kẻ đường tròn (O;R) đường kính AB cắt cạnh BC tại D.
a) Chứng minh tam giác BAD vuông. Từ đó suy ra: BC.BD = 4R2
b) Gọi E là trung điểm AC. Chứng minh DE là tiếp tuyến đường tròn (O).
c) Kẻ tiếp tuyến Bx của đường tròn (O) cắt ED tại F, tia AD cắt Bx tại G. Chứng
minh F là trung điểm của BG.
d) Gọi I là giao điểm của AF và BE. Chứng minh diện tích tam giác BAD bằng AB.DI.
ĐÁP ÁN ĐỀ SỐ 35 Bài 1: (2,5 điểm) a) (0,25đ) (0,25 đ) b) (0,25đ) (0,25đ) (0,25đ) (0,25đ) c) (0,25đ) (0,25đ) (0,25đ) (0,25đ) Bài 2: (1.5 điểm)
a) (0,25đ) (0,25đ) Vậy (0,25đ) b) (0,25đ) (0,25đ) Vậy (0,25đ) Bài 3: (1,5 điểm) a) (d): y = x + 3 TXD: D = R 0 1 2 (0,25đ) 3 4 5
(0,5đ) b)Ta có: Nên:
Vậy A(-1; 2) (0,25 đ) Gọi Vì nên a = 1. Do đó (0,25đ) Mặt khác:
đi qua A(-1; 2) nên -1 = 2 + b b = -3 Vậy (0,25đ) Bài 4: (1 điểm) a) (0,25đ) = -1 (0,25đ) b)
Đề thi Toán 9 học kì 1 năm 2022 - 2023 - Đề 35
442
221 lượt tải
MUA NGAY ĐỂ XEM TOÀN BỘ TÀI LIỆU
CÁCH MUA:
- B1: Gửi phí vào TK:
1053587071
- NGUYEN VAN DOAN - Ngân hàng Vietcombank (QR) - B2: Nhắn tin tới Zalo VietJack Official ( nhấn vào đây ) để xác nhận thanh toán và tải tài liệu - giáo án
Liên hệ ngay Hotline hỗ trợ: 084 283 45 85
Đề thi được cập nhật liên tục trong gói này từ nay đến hết tháng 6/2023. Chúng tôi đảm bảo đủ số lượng đề đã cam kết hoặc có thể nhiều hơn, tất cả có BẢN WORD, LỜI GIẢI CHI TIẾT và tải về dễ dàng.
Để tải tài liệu gốc về máy bạn click vào nút Tải Xuống ở trên!
Thuộc bộ (mua theo bộ để tiết kiệm hơn):
- Tailieugiaovien.com.vn giới thiệu bộ 60 đề thi Toán 9 Học kì 1 có lời giải chi tiết, mới nhất năm 2022 - 2023 nhằm giúp Giáo viên có thêm tài liệu tham khảo ra đề thi Toán lớp 9.
- File word có lời giải chi tiết 100%.
- Mua trọn bộ sẽ tiết kiệm hơn tải lẻ 50%.
Đánh giá
4.6 / 5(442 )5
4
3
2
1

Trọng Bình
Tài liệu hay
Giúp ích cho tôi rất nhiều

Duy Trần
Tài liệu chuẩn
Rất thích tài liệu bên VJ soạn (bám sát chương trình dạy)
TÀI LIỆU BỘ BÁN CHẠY MÔN Toán Học
Xem thêmTÀI LIỆU BỘ BÁN CHẠY Lớp 9
Xem thêmTài liệu bộ mới nhất

Đây là bản xem thử, vui lòng mua tài liệu để xem chi tiết (có lời giải)
ĐỀ SỐ 35
Bài 1: (2,5 điểm) Thực hiện phép tính:
a) b)
c)
Bài 2: (1,5 điểm) Giải các phương trình:
a) b)
Bài 3: (1,5 điểm)
a) Vẽ đồ thị hàm số (d): y = x + 3
b) Lấy điểm A trên (d) có hoành độ bằng -1. Viết phương trình đường thẳng ,
biết song song với (d) và đi qua điểm A.
Bài 4: (1 điểm)
a) Thu gọn: với
b) Để chuẩn bị khai giảng năm học mới ở trường, bác bảo vệ kiểm tra cột cờ thì
phát hiện dây kéo cờ bị hỏng nên phải thay dây mới. Để mua dây kéo cờ không bị thừa
nên trường nhờ một giáo viên dạy toán đo chiều cao cột cờ. Giáo viên không dùng thước
đo chiều cao cột cờ mà dùng giác kế ngắm cột cờ với góc 36
0
50’, chân giác kế cách cột
cờ là 9,6 m, chiều cao của giác kế là 1,5 m. Vậy dây kéo cờ bao nhiêu mét? (kết quả làm
tròn đến chữ số thập phân thứ hai)
Câu 5: (3,5 điểm) Cho tam giác ABC vuông tại A. Kẻ đường tròn (O;R) đường kính AB
cắt cạnh BC tại D.
a) Chứng minh tam giác BAD vuông. Từ đó suy ra: BC.BD = 4R
2
b) Gọi E là trung điểm AC. Chứng minh DE là tiếp tuyến đường tròn (O).
c) Kẻ tiếp tuyến Bx của đường tròn (O) cắt ED tại F, tia AD cắt Bx tại G. Chứng
minh F là trung điểm của BG.
d) Gọi I là giao điểm của AF và BE. Chứng minh diện tích tam giác BAD bằng
AB.DI.
Mọi thắc mắc vui lòng xin liên hệ hotline: 084 283 45 85

Đây là bản xem thử, vui lòng mua tài liệu để xem chi tiết (có lời giải)
ĐÁP ÁN ĐỀ SỐ 35
Bài 1: (2,5 điểm)
a)
(0,25đ)
(0,25 đ)
b)
(0,25đ)
(0,25đ)
(0,25đ)
(0,25đ)
c)
(0,25đ)
(0,25đ)
(0,25đ)
(0,25đ)
Bài 2: (1.5 điểm)
Mọi thắc mắc vui lòng xin liên hệ hotline: 084 283 45 85

Đây là bản xem thử, vui lòng mua tài liệu để xem chi tiết (có lời giải)
a)
(0,25đ)
(0,25đ)
Vậy (0,25đ)
b)
(0,25đ)
(0,25đ)
Vậy (0,25đ)
Bài 3: (1,5 điểm)
a) (d): y = x + 3
TXD: D = R
0 1 2 (0,25đ)
3 4 5
Mọi thắc mắc vui lòng xin liên hệ hotline: 084 283 45 85

Đây là bản xem thử, vui lòng mua tài liệu để xem chi tiết (có lời giải)
(0,5đ)
b)Ta có:
Nên:
Vậy A(-1; 2) (0,25 đ)
Gọi
Vì nên a = 1. Do đó (0,25đ)
Mặt khác: đi qua A(-1; 2) nên -1 = 2 + b b = -3
Vậy (0,25đ)
Bài 4: (1 điểm)
a)
(0,25đ)
= -1 (0,25đ)
b)
Mọi thắc mắc vui lòng xin liên hệ hotline: 084 283 45 85

Đây là bản xem thử, vui lòng mua tài liệu để xem chi tiết (có lời giải)
Bài 5: (3,5 điểm)
a) (1 điểm)
- Chứng minh tam giác BDA vuông (0,5đ)
- Suy ra BD.BC = 4R
2
(0,5đ)
b) (1 điểm)
- Chứng minh DC = AE tg DEO = tg AEO (0,5đ)
là tiếp tuyến (0,5đ)
c) (0,5đ)
M là trung điểm BN (0,25đ)
d) Vẽ DI cắt AB tại H
Chứng minh song song BF, AC
DI vuông góc AB tại H ( 0,25)
I là trung điểm của DH diện tích tam giác
ABD = AB. DI
Mọi thắc mắc vui lòng xin liên hệ hotline: 084 283 45 85
H
I
E
F
G
D
B
O
A
C