ĐỀ 04 Câu 1: (2,0 đ)
a) Tìm x biết √ x−5=1, với x ≥5
b) Tính giá trị của biểu thức M=2017−(7+√27+√3)(7−√27−√3) Câu 2. (2,0 đ) Cho hai biểu thức A=√20+5√15 1 B=( 1 +
(với x>0 và x ≠ 4¿
√x +2 √ x−2 ). √x−2 √ x a) Rút gọn A và B
b) Tìm giá trị của x để A.B=√5 Câu 3. (2,0 đ)
Cho hàm số y=−2x+2 có đồ thị là (d)
a) Vẽ đồ thị (d) của hàm số trên
b) Tìm trên đồ thị (d) điểm P có hoành độ bằng – 2
c) Xác định giá trị m của hàm số y=mx+m+m2 biết rằng hàm số này đồng biến và
đồ thị của nó cắt đồ thị (d) nói trên tại điểm Q có hoành độ là x = -1 Câu 4 (3,5 đ)
Trên nửa đường tròn (O;R) đường kính BC, lấy điểm A sao cho BA = R.
a) Chứng minh tam giác ABC vuông tại A và tính số đo các góc B, C của tam giác vuông ABC.
b) Qua B kẻ tiếp tuyến với nửa đường tròn (O), nó cắt tia CA tại D. Qua D kẻ tiếp
tuyến DE với nửa đường tròn (O) (E là tiếp điểm). Gọi I là giao điểm của OD và
BE. Chứng minh rằng OD⊥ BE vàDI . DO=DA .DC
c) Kẻ EH vuông góc với BC tại H. EH cắt CD tại G. Chứng minh IG song song với BC. Câu 5 (0,5 đ)
Giải phương trình: x2−5 x−2 √3 x+12=0
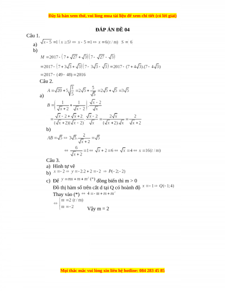
ĐÁP ÁN ĐỀ 04 Câu 1. a) b) Câu 2. a) b) Câu 3. a) Hình tự vẽ b) c) Để đồng biến thì m > 0
Đồ thị hàm số trên cắt d tại Q có hoành độ Thay vào (*) Vậy m = 2
4) F D E A G I C O H a) Ta có OA = R, BC = 2R
vuông tại A(định lý đảo đường trung tuyến ứng với cạnh huyền) Ta có
b) Vì DB, DE là 2 tiếp tuyến cắt nhau và
Đề thi Toán 9 học kì 1 năm 2022 - 2023 - Đề 4
423
212 lượt tải
MUA NGAY ĐỂ XEM TOÀN BỘ TÀI LIỆU
CÁCH MUA:
- B1: Gửi phí vào TK:
1053587071
- NGUYEN VAN DOAN - Ngân hàng Vietcombank (QR) - B2: Nhắn tin tới Zalo VietJack Official ( nhấn vào đây ) để xác nhận thanh toán và tải tài liệu - giáo án
Liên hệ ngay Hotline hỗ trợ: 084 283 45 85
Đề thi được cập nhật liên tục trong gói này từ nay đến hết tháng 6/2023. Chúng tôi đảm bảo đủ số lượng đề đã cam kết hoặc có thể nhiều hơn, tất cả có BẢN WORD, LỜI GIẢI CHI TIẾT và tải về dễ dàng.
Để tải tài liệu gốc về máy bạn click vào nút Tải Xuống ở trên!
Thuộc bộ (mua theo bộ để tiết kiệm hơn):
- Tailieugiaovien.com.vn giới thiệu bộ 60 đề thi Toán 9 Học kì 1 có lời giải chi tiết, mới nhất năm 2022 - 2023 nhằm giúp Giáo viên có thêm tài liệu tham khảo ra đề thi Toán lớp 9.
- File word có lời giải chi tiết 100%.
- Mua trọn bộ sẽ tiết kiệm hơn tải lẻ 50%.
Đánh giá
4.6 / 5(423 )5
4
3
2
1

Trọng Bình
Tài liệu hay
Giúp ích cho tôi rất nhiều

Duy Trần
Tài liệu chuẩn
Rất thích tài liệu bên VJ soạn (bám sát chương trình dạy)
TÀI LIỆU BỘ BÁN CHẠY MÔN Toán Học
Xem thêmTÀI LIỆU BỘ BÁN CHẠY Lớp 9
Xem thêmTài liệu bộ mới nhất

Đây là bản xem thử, vui lòng mua tài liệu để xem chi tiết (có lời giải)
ĐỀ 04
Câu 1: (2,0 đ)
a) Tìm x biết
√
x−5=1 , với x ≥5
b) Tính giá trị của biểu thức
M =2017−(7+
√
27+
√
3)(7−
√
27−
√
3)
Câu 2. (2,0 đ)
Cho hai biểu thức
A=
√
20+5
√
1
5
B=
(
1
√
x +2
+
1
√
x−2
)
.
√
x−2
√
x
(với x>0 và x
≠ 4 ¿
a) Rút gọn A và B
b) Tìm giá trị của x để A.B=
√
5
Câu 3. (2,0 đ)
Cho hàm số
y=−2 x +2
có đồ thị là (d)
a) Vẽ đồ thị (d) của hàm số trên
b) Tìm trên đồ thị (d) điểm P có hoành độ bằng – 2
c) Xác định giá trị m của hàm số
y=mx+m+m
2
biết rằng hàm số này đồng biến và
đồ thị của nó cắt đồ thị (d) nói trên tại điểm Q có hoành độ là x = -1
Câu 4 (3,5 đ)
Trên nửa đường tròn (O;R) đường kính BC, lấy điểm A sao cho BA = R.
a) Chứng minh tam giác ABC vuông tại A và tính số đo các góc B, C của tam giác
vuông ABC.
b) Qua B kẻ tiếp tuyến với nửa đường tròn (O), nó cắt tia CA tại D. Qua D kẻ tiếp
tuyến DE với nửa đường tròn (O) (E là tiếp điểm). Gọi I là giao điểm của OD và
BE. Chứng minh rằng
OD ⊥ BE và DI . DO=DA . DC
c) Kẻ EH vuông góc với BC tại H. EH cắt CD tại G. Chứng minh IG song song với
BC.
Câu 5 (0,5 đ)
Giải phương trình:
x
2
−5 x−2
√
3 x +12=0
Mọi thắc mắc vui lòng xin liên hệ hotline: 084 283 45 85

Đây là bản xem thử, vui lòng mua tài liệu để xem chi tiết (có lời giải)
ĐÁP ÁN ĐỀ 04
Câu 1.
a)
b)
Câu 2.
a)
b)
Câu 3.
a) Hình tự vẽ
b)
c) Để đồng biến thì m > 0
Đồ thị hàm số trên cắt d tại Q có hoành độ
Thay vào (*)
Vậy m = 2
Mọi thắc mắc vui lòng xin liên hệ hotline: 084 283 45 85

Đây là bản xem thử, vui lòng mua tài liệu để xem chi tiết (có lời giải)
4)
G
I
H
F
D
E
A
O
C
a) Ta có OA = R, BC = 2R
vuông tại A(định lý đảo đường trung tuyến ứng với cạnh huyền)
Ta có
b) Vì DB, DE là 2 tiếp tuyến cắt nhau và
Mọi thắc mắc vui lòng xin liên hệ hotline: 084 283 45 85