ĐỀ SỐ 43
Phần I. Trắc nghiệm khách quan (2,5 điểm)
Chọn câu trả lời đúng và ghi kết quả vào bài làm
Câu 1. Số nghịch đảo của số là: A. B. C. D.
Câu 2. Với 0 < a < b, biểu thức
có kết quả rút gọn là: A. 3a B. – a 3 C. – 3a D. a 3
Câu 3. Đường thẳng y = 2x - 3y=2x−3 không thể: A. Đi qua điểm K(2 ; 1)
B. Song song với đường thẳng y = 2xy=2x−3
C. Trùng với đường thẳng y = 2x - 3
D. Cắt đường thẳng y = 2x + 2010y=2x−3 3 sin x sin x √3 =
Câu 4. Nếu 0o < x < 90o, 4 4 thì cosx bằng: 13 4+√3 13 4 3 4−√3 13 A. 16 4 B. 4 C. 4 4 D. 2
Câu 5. Cho đường tròn (O ; 2cm), dây AB = 2 cm. Khoảng cách từ O đến dây AB bằng: √3 3 3 √3 A. 3 2 cm B. 3 cm C. 1 cm D. 2 2 cm
Phần II. Tự luận (7,5 điểm) 5 x 3 5 Q √3
Bài 1. (2,5 điểm) Cho biểu thức x 1 2 x 2 2 x 2 2 5 3 5 Q √x = + −
x−1 2 √ x+2 2√x−2 1. Rút gọn Q
2. Tính giá trị của Q khi x = 9 4 2 Q 3 0 3.Tìm x biết rằng 2 x 2
Bài 2. (1,5 điểm) Cho đường thẳng (d): y = x + 3a + 5 (với a là tham số)
1. Tìm a để đường thẳng (d) đi qua điểm A(2 ; 10)
2. Tìm a để đường thẳng (d) cắt đường thẳng (Δ): y = 2 – 2x tại điểm B(x ; y) thoả mãn x2 + y2 = 40.
Bài 3. (3,0 điểm) Cho hình vuông ABCD có cạnh bằng 1. Vẽ một phần tư đường
tròn tâm A bán kính bằng 1 nằm trong hình vuông, trên đó lấy điểm K khác
B và D. Tiếp tuyến tại K với đường tròn cắt cạnh BC ở E, cắt cạnh CD ở F. 1. Chứng minh rằng: 0 EAF 45
2. Gọi P là giao điểm của AE và BK, Q là giao điểm của AF và DK a) Chứng minh PQ // BD b) Tính độ dài đoạn PQ
3. Chứng minh rằng: 2 2 2 E
F 12 √2−2≤ EF<1 Bài 4. (0,5 điểm)
Cho x ≥ –1, y ≥ 1 thoả mãn 2
x 1 y 1 2(x y) 10x 6y 8 .
Tìm giá trị nhỏ nhất của biểu thức P = x4 + y2 – 5(x + y) + 2020. ĐÁP ÁN ĐỀ SỐ 43
Phần I. Trắc nghiệm khách quan (2,5 điểm)
Câu 1. Số nghịch đảo của số 2 2 3 là : 1 2 2 3 2 2 3 3 2 2
2 2 3 (2 2 3)(2 2 3) 1 Đáp án đúng : C
Câu 2. Với 0 < a < b, thì : 1 2 2 1 1 3a (a b) |a (a - b)| 3 [
a(a - b)] 3 a 3 a b a b a b Đáp án đúng : B
Câu 3. Đáp án đúng : D
Câu 4. Vì 0o < x < 90o nên cosx > 0. A
Ta có: sin2x + cos2x = 1 cos2x = 1 - sin2x 2 2 3 3 13 O cos x H 1 sin x 1 1 4 16 4 B Đáp án đúng : B Hình 1
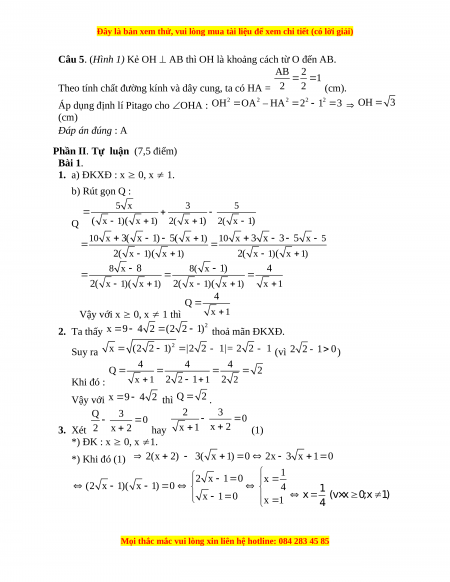
Câu 5. (Hình 1) Kẻ OH AB thì OH là khoảng cách từ O đến AB. AB 2 1
Theo tính chất đường kính và dây cung, ta có HA = 2 2 (cm).
Áp dụng định lí Pitago cho OHA : 2 2 2 2 2
OH OA – HA 2 1 3 OH 3 (cm) Đáp án đúng : A
Phần II. Tự luận (7,5 điểm) Bài 1.
1. a) ĐKXĐ : x 0, x 1. b) Rút gọn Q : 5 x 3 5 Q ( x 1)( x 1) 2( x 1) 2( x 1)
10 x 3( x 1) 5( x 1)
10 x 3 x 3 5 x 5 2( x 1)( x 1) 2( x 1)( x 1) 8 x 8 8( x 1) 4 2( x 1)( x 1) 2( x 1)( x 1) x 1 4 Q
Vậy với x 0, x 1 thì x 1 2
2. Ta thấy x 9 4 2 (2 2 1) thoả mãn ĐKXĐ. 2 Suy ra x (2 2 1) |
2 2 - 1|= 2 2 - 1 (vì 2 2 - 1 0) 4 4 4 Q 2 Khi đó : x 1 2 2 1 1 2 2
Vậy với x 9 4 2 thì Q 2 . Q 3 2 3 0 0 3. Xét 2 x 2 hay x 1 x 2 (1) *) ĐK : x 0, x 1.
*) Khi đó (1) 2(x 2) 3( x 1) 0 2x 3 x 10 1 2 x 10 x
(2 x 1)( x 1) 0 4 1 x 1 0 x (v× x 0;x 1) x 1 4
1 x
Vậy giá trị cần tìm là 4 .
Bài 2. (1,5 điểm)
1. Đường thẳng (d) đi qua điểm A(2 ; 10) nên x = 2, y = 10 là nghiệm của (d).
Ta có : 2 + 3a + 5 = 10 3a = 3 a = 1.
Vậy a = 1 thì (d) đi qua A(2 ; 10).
2. Tọa độ giao điểm giữa (d) và () là nghiệm của hệ: y x 3a 5 x 3a 52 2x x (a 1) y 2 2x y 2 2x y2 2(a 1)2a 4
Vì x2 + y2 = 40 nên : (a + 1)2 + (2a + 4)2 = 40 5a2 + 18a - 23 = 0 23
(a - 1)(5a + 23) = 0 a {1 ; 5 } 23
Vậy a {1 ; 5 } thì (d) cắt () tại B(x; y) thỏa mãn x2 + y2 = 40 A B
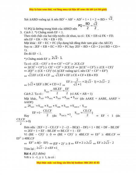
Bài 3. (3,0 điểm)
1. Theo tính chất của hai tiếp tuyến cắt nhau, ta có :
- AE là đường phân giác của BAK : P 1 EAK E BAK 2 (1)
- AF là đường phân giác của DAK : Q K 1 FAK DAK D F C 2 (2) Từ (1) và (2) suy ra : Hình 2 1 1
EAK FAK BAK DAK 0 BAD 45 2 2 Vậy 0 EAF EAK FAK 45 .
2. a) Cũng theo tính chất hai tiếp tuyến cắt nhau, ta có :
- AE là đường trung trực của BK P là trung điểm của BK (3)
- AF là đường trung trực của DK Q là đường trung trực của DK (4)
Từ (3) và (4) suy ra PQ là đường trung bình của BKD. Do đó PQ // BD.
b) ABCD là hình vuông có cạnh bằng 1 nên AB = AD = BC = CD = 1.
Đề thi Toán 9 học kì 1 năm 2022 - 2023 - Đề 43
623
312 lượt tải
MUA NGAY ĐỂ XEM TOÀN BỘ TÀI LIỆU
CÁCH MUA:
- B1: Gửi phí vào TK:
1053587071
- NGUYEN VAN DOAN - Ngân hàng Vietcombank (QR) - B2: Nhắn tin tới Zalo VietJack Official ( nhấn vào đây ) để xác nhận thanh toán và tải tài liệu - giáo án
Liên hệ ngay Hotline hỗ trợ: 084 283 45 85
Đề thi được cập nhật liên tục trong gói này từ nay đến hết tháng 6/2023. Chúng tôi đảm bảo đủ số lượng đề đã cam kết hoặc có thể nhiều hơn, tất cả có BẢN WORD, LỜI GIẢI CHI TIẾT và tải về dễ dàng.
Để tải tài liệu gốc về máy bạn click vào nút Tải Xuống ở trên!
Thuộc bộ (mua theo bộ để tiết kiệm hơn):
- Tailieugiaovien.com.vn giới thiệu bộ 60 đề thi Toán 9 Học kì 1 có lời giải chi tiết, mới nhất năm 2022 - 2023 nhằm giúp Giáo viên có thêm tài liệu tham khảo ra đề thi Toán lớp 9.
- File word có lời giải chi tiết 100%.
- Mua trọn bộ sẽ tiết kiệm hơn tải lẻ 50%.
Đánh giá
4.6 / 5(623 )5
4
3
2
1

Trọng Bình
Tài liệu hay
Giúp ích cho tôi rất nhiều

Duy Trần
Tài liệu chuẩn
Rất thích tài liệu bên VJ soạn (bám sát chương trình dạy)
TÀI LIỆU BỘ BÁN CHẠY MÔN Toán Học
Xem thêmTÀI LIỆU BỘ BÁN CHẠY Lớp 9
Xem thêmTài liệu bộ mới nhất

Đây là bản xem thử, vui lòng mua tài liệu để xem chi tiết (có lời giải)
ĐỀ SỐ 43
Phần I. Trắc nghiệm khách quan
Câu 1
Câu 2 !""##$%& '()%*$+,%-
. /
.
/.
.
Câu 3012%34567.
=−.
(8%
0*$9:; < 12%3
456
=−.
=+>< 12%34567. ?%12%3456@
!;!
=−.
Câu 4A)$!
""B!
.
C
=
√
.
C
%D#E
;.
;F
C+
√
.
C
;.
C
C .
C
C−
√
.
C
;.
Câu 512%+GH: IJ459K%LH)IJ4
#E
.
√
.
.
.
;
.
√
.
Phần IITự luận M
Bài 1 !" #$ %&
6 .
6 ;
6 6
N
√
.
#=
√
−;
+
.
√
+
−
√
−
; O,%-N
=PK%+N(65
B C
.=D6#)%+E
N .
Q !
6
Bài 2$ !"12%3I456@.@< %
Mọi thắc mắc vui lòng xin liên hệ hotline: 084 283 45 85

Đây là bản xem thử, vui lòng mua tài liệu để xem chi tiết (có lời giải)
; =D12%3I*$:;!
=D12%3I?%12%3R45/6%S6:4%
T
6
@4
5C!
Bài 3%&!"D<$8'S#E;UV%WX%112
%+G%J#K(P#E;E%+D<$8%+Y'Z49(K
<=)W%$4)%S9< 12%+G?%S[\?%S[]
; &+E
!
\] C
^-_\<9N]<9
&_N``
# =PVIS_N
. &+E
\] ;
√
−' ()<;
Bài 4 & !" 6 a /; 4 a ; % T
6 ; 4 ; 6 4 ;!6 F4 b
=DK%+cZ%#$%&_56
C
@4
/6@4@!!
ĐÁP ÁN ĐỀ SỐ 43
Phần I. Trắc nghiệm khách quan
Câu 1
.
.
; . .
;
. . .
*+,+
Câu 2 !""#%DQ
; ; ;
. # d 7 #d . e 7 #f . .
# # #
*+,+
Câu 3*+,+
Câu 4D!
"6"B!
Y6g!
='
6@
65;
65;7
6
. . ;.
6 ; 6 ; ;
C ;F C
*+,+
Mọi thắc mắc vui lòng xin liên hệ hotline: 084 283 45 85
Hnh 1
h
H

Đây là bản xem thử, vui lòng mua tài liệu để xem chi tiết (có lời giải)
Câu 5-.$"9iHh%DHh(K%LH)
=j%PZ%12(P<IJ4$%'h5
;
kWIlP_%Hh
Hh H / h ; .
Hh .
*+,+
Phần IITự luận M
Bài 1
1. 09m06!6;
#O,%-N
N
6 .
6 ; 6 ; 6 ; 6 ;
;! 6 6 ; ;! 6 6
6 ; 6 ; 6 ; 6 ;
. 6 ; . 6 .
b 6 b 6
6 ; 6 ; 6 ; 6 ; 6 ;
b ; C
n4< 6!6;%D
6 ;
C
N
2. =%Z4
6 B C ;
%T09m0
$4+
6 ; d 7 ;d5 7 ;
<D
7 ; !
9'
6 ; ;
C C C
N
;
n4<
6 B C
%D
N
3. mo%
N .
Q !
6
4
.
Q !
6
6 ;
;
p096!6;
p9';
6 . 6 ; ! 6 . 6 ; !
;
6 ; !
6
6 ; 6 ; !
C
6 ; !
6 ;
1
x (v× x 0;x 1)
4
Mọi thắc mắc vui lòng xin liên hệ hotline: 084 283 45 85

Đây là bản xem thử, vui lòng mua tài liệu để xem chi tiết (có lời giải)
n4K%+X%D
1
x
4
Bài 2$ !"
; 012%3I*$:;!Y6545;!qI
='@.@5;!.5.5;
n45;%DI*$:;!
=-VrI<qq
y x 3a 5 x 3a 5 2 2x x (a 1)
y 2 2x y 2 2x y 2 2(a 1) 2a 4
D6
@4
5C!Y@;
@@C
5C!
@;b7.5!
7;@.5!s;:
23
5
t
n4s;:
23
5
t%DI?%%S6:4%c
T6
@4
5C!
Bài 3%&!"
; =j%PZ%%)W%$4)?%$%'
7 \12WJK
9
;
\9 9
;
7 ]12WJK
DAK
;
]9 9
=L;<$4+
!
; ;
\9 ]9 9 9 C
n4
!
\] \9 ]9 C
u%j%PZ%%)W%$4)?%$%'
7 \12%+$%+v9_%+$9 .
7 ]12%+$%+v9N12%+$%+v9 C
=L.<C$4+_N12%+$#D9
'_N``
# D<$8'S#E;Y5555;
Mọi thắc mắc vui lòng xin liên hệ hotline: 084 283 45 85
Hnh 2
N
_
\
]
9

Đây là bản xem thử, vui lòng mua tài liệu để xem chi tiết (có lời giải)
mo%<$8%SY
5
@
5;@;55
2
D_N12%+$#D9Y
BD 2
PQ
2 2
. +$p&\]";
=j%PZ%%)W%$4)?%$%'\95\<]95]
Y\]5\9@]95\@]
wx%(K\]"\@]kWIl#Z%3%&%K\]
$4+\]"\@\@]@]4\]"@5<D55
;
'\]";
p&\]
2 2 1.
='\/]
!\
@]
\]
\
@]
\
@]
@\]\
@]
\@]
\]
\@]
<D\]<$8%SY\
@]
5\]
\] \ ]
\] \] \ ] \ ]
;\]
\] ;
;
+='
\]
9\] \]
<D955;
wx%(K
\] 9\ 9] \ ]
I 9\5 \ 9]5
]
\]
9\ 9] \ ] \]
h4
\]
\] ;
I
;
\]
\]
\] " ; I
\]
!
hyr\]
5/\]5/;/\;/]5;@\@]/\]
\]
5;@\]/\]\]5;/\]
D \ / ]
! \ @ ]
C\] \]
C\]
\] C\]
\] C; \]
\]@
b
\]
\]
='S
\] ;
Bài 4& !"
67;4;%'
Mọi thắc mắc vui lòng xin liên hệ hotline: 084 283 45 85