ĐỀ SỐ 041
Bài 1 (2,0 điểm)
a. Giải hệ phương trình: b. Giải phương trình: Bài 2 (2,0 điểm) Cho hàm số có đồ thị (P).
a. Vẽ đồ thị (P) của hàm số
b. Tìm tọa độ giao điểm của đồ thị (P) và đường thẳng d có phương trình y = - x +3
Bài 3. (2,5 điểm) Cho phương trình , với x là ẩn số
a. Giải phương trình với m = 4
b. Chứng minh phương trình
luôn có hai nghiệm phân biệt với mọi m
c. Tìm giá trị của m để phương trình có hai nghiệm thỏa mãn Bài 4 (3,5 điểm)
Cho tam giác ABC có ba góc nhọn nội tiếp trong đường tròn tâm O. Các
đường cao BD và CE của tam giác cắt nhau tại H ( ).
a. Chứng minh tứ giác AEHD nội tiếp được đường tròn. Từ đó suy ra ^ BCD=^ AED
b. Kẻ đường kính AK. Chứng minh AB.BC = AK.BD
c. Từ O kẻ OM vuông góc với BC (
). Chứng minh ba điểm H, M, K thẳng hàng
------------------------Hết-----------------------------
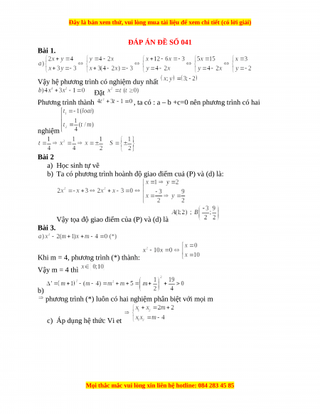
ĐÁP ÁN ĐỀ SỐ 041 Bài 1.
Vậy hệ phương trình có nghiệm duy nhất Đặt Phương trình thành
, ta có : a – b +c=0 nên phương trình có hai nghiệm Bài 2 a) Học sinh tự vẽ
b) Ta có phương trình hoành độ giao điểm cuả (P) và (d) là:
Vậy tọa độ giao điểm của (P) và (d) là Bài 3.
Khi m = 4, phương trình (*) thành: Vậy m = 4 thì b)
phương trình (*) luôn có hai nghiệm phân biệt với mọi m
c) Áp dụng hệ thức Vi et
Ta có : Vậy thì Bài 4. A D O E H C M B K a) Vì nên H là trực tâm Ta có:
nên AEHD là tứ giác nội tiếp mà (cùng phụ ) nên
b) Nối BK , vì AK là đường kính
(góc nội tiếp chắn nwuar đường tròn) Xét và có: (cùng chắn cung AB) c) Ta có Từ (1) và (2) là hình bình hành
Mà M là trung điểm BC (do đường kính dây cung)
Nên M là trung điểm HK, do đó H, M , K thẳng hàng
Đề thi Toán 9 học kì 2 năm 2022 - 2023 - Đề 41
490
245 lượt tải
MUA NGAY ĐỂ XEM TOÀN BỘ TÀI LIỆU
CÁCH MUA:
- B1: Gửi phí vào TK:
1053587071
- NGUYEN VAN DOAN - Ngân hàng Vietcombank (QR) - B2: Nhắn tin tới Zalo VietJack Official ( nhấn vào đây ) để xác nhận thanh toán và tải tài liệu - giáo án
Liên hệ ngay Hotline hỗ trợ: 084 283 45 85
Đề thi được cập nhật liên tục trong gói này từ nay đến hết tháng 6/2023. Chúng tôi đảm bảo đủ số lượng đề đã cam kết hoặc có thể nhiều hơn, tất cả có BẢN WORD, LỜI GIẢI CHI TIẾT và tải về dễ dàng.
Để tải tài liệu gốc về máy bạn click vào nút Tải Xuống ở trên!
Thuộc bộ (mua theo bộ để tiết kiệm hơn):
- Tailieugiaovien.com.vn giới thiệu bộ 120 đề thi Toán 9 Học kì 2 gồm: 60 đề thi tập 1, 60 đề thi tập 2 có lời giải chi tiết, mới nhất năm 2022 - 2023 nhằm giúp Giáo viên có thêm tài liệu tham khảo ra đề thi Toán lớp 9.
- File word có lời giải chi tiết 100%.
- Mua trọn bộ sẽ tiết kiệm hơn tải lẻ 50%.
Đánh giá
4.6 / 5(490 )5
4
3
2
1

Trọng Bình
Tài liệu hay
Giúp ích cho tôi rất nhiều

Duy Trần
Tài liệu chuẩn
Rất thích tài liệu bên VJ soạn (bám sát chương trình dạy)
TÀI LIỆU BỘ BÁN CHẠY MÔN Toán Học
Xem thêmTÀI LIỆU BỘ BÁN CHẠY Lớp 9
Xem thêmTài liệu bộ mới nhất

Đây là bản xem thử, vui lòng mua tài liệu để xem chi tiết (có lời giải)
ĐỀ SỐ 041
Bài 1 (2,0 điểm)
a. Giải hệ phương trình:
b. Giải phương trình:
Bài 2 (2,0 điểm)
Cho hàm số có đồ thị (P).
a. Vẽ đồ thị (P) của hàm số
b. Tìm tọa độ giao điểm của đồ thị (P) và đường thẳng d có phương trình y =
- x +3
Bài 3. (2,5 điểm)
Cho phương trình , với x là ẩn số
a. Giải phương trình với m = 4
b. Chứng minh phương trình luôn có hai nghiệm phân biệt với mọi m
c. Tìm giá trị của m để phương trình có hai nghiệm thỏa mãn
Bài 4 (3,5 điểm)
Cho tam giác ABC có ba góc nhọn nội tiếp trong đường tròn tâm O. Các
đường cao BD và CE của tam giác cắt nhau tại H ( ).
a. Chứng minh tứ giác AEHD nội tiếp được đường tròn. Từ đó suy ra
^
BCD=
^
AED
b. Kẻ đường kính AK. Chứng minh AB.BC = AK.BD
c. Từ O kẻ OM vuông góc với BC ( ). Chứng minh ba điểm
H, M, K thẳng hàng
------------------------Hết-----------------------------
Mọi thắc mắc vui lòng xin liên hệ hotline: 084 283 45 85

Đây là bản xem thử, vui lòng mua tài liệu để xem chi tiết (có lời giải)
ĐÁP ÁN ĐỀ SỐ 041
Bài 1.
Vậy hệ phương trình có nghiệm duy nhất
Đặt
Phương trình thành , ta có : a – b +c=0 nên phương trình có hai
nghiệm
Bài 2
a) Học sinh tự vẽ
b) Ta có phương trình hoành độ giao điểm cuả (P) và (d) là:
Vậy tọa độ giao điểm của (P) và (d) là
Bài 3.
Khi m = 4, phương trình (*) thành:
Vậy m = 4 thì
b)
phương trình (*) luôn có hai nghiệm phân biệt với mọi m
c) Áp dụng hệ thức Vi et
Mọi thắc mắc vui lòng xin liên hệ hotline: 084 283 45 85

Đây là bản xem thử, vui lòng mua tài liệu để xem chi tiết (có lời giải)
Ta có :
Vậy thì
Bài 4.
H
M
K
D
E
O
C
B
A
a) Vì nên H là trực tâm
Ta có: nên AEHD là tứ giác nội tiếp
mà (cùng phụ ) nên
Mọi thắc mắc vui lòng xin liên hệ hotline: 084 283 45 85

Đây là bản xem thử, vui lòng mua tài liệu để xem chi tiết (có lời giải)
b) Nối BK , vì AK là đường kính (góc nội tiếp chắn nwuar đường
tròn)
Xét và có: (cùng chắn cung AB)
c) Ta có
Từ (1) và (2) là hình bình hành
Mà M là trung điểm BC (do đường kính dây cung)
Nên M là trung điểm HK, do đó H, M , K thẳng hàng
Mọi thắc mắc vui lòng xin liên hệ hotline: 084 283 45 85

Đây là bản xem thử, vui lòng mua tài liệu để xem chi tiết (có lời giải)
Mọi thắc mắc vui lòng xin liên hệ hotline: 084 283 45 85