ĐỀ SỐ 005 Bài 1:
Không sử dụng máy tính cầm tay, hãy giải phương trình và hệ phương trình sau: a) b) Bài 2:
Một người dự định đi xe máy từ A đến B cách nhau 90km. Vì có việc gấp
phải đến B trước dự định 45 phút nên người ấy tăng vận tốc lên mỗi giờ 10km.
Hãy tính vận tốc mà người ấy dự định đi. Bài 3:
a)Vẽ đồ thị hàm số :
và y = x lên cùng một hệ trục tọa độ. Hãy tìm
tọa độ giao điểm của chúng bằng phép tính.
b)Cho phương trình: x2 - 2(m+1)x + 2m = 0, x1; x2 là hai nghiệm của phương
trình, Hãy tìm giá trị của m để biểu thức
đạt giá trị nhỏ nhất. Bài 4:
Cho đường tròn (O;R) có đường kính BC. Gọi A là điểm nằm trên đường
tròn sao cho AB > AC. Trên tia đối AC lấy điểm P sao cho AP = AB. Đường
thẳng vuông góc hạ từ P xuống BC cắt BA ở D và cắt BC tại H.
a) Chứng minh: tứ giác ACHD nội tiếp
b) Chứng minh: PC . PA = PH . PD
c) PB cắt (O) tại I. Chứng minh các điểm I; C; D thẳng hàng. d) Cho góc
. Hãy tính theo R diện tích của hình tròn ngoại tiếp tứ giác ACHD
ĐÁP ÁN ĐỀ SỐ 005 Bài 1:
Không sử dụng máy tính cầm tay, hãy giải phương trình và hệ phương trình sau: a) (0,5đ)
Vậy phương trình có hai nghiệm phân biệt: ; (0,5đ)
b) (0,5đ)
Vậy hệ phương trình có nghiệm (x;y) = (2; -3) (0,5đ) Bài 2:
Gọi vận tốc dự định của người đi xe máy từ A đến B là: x (km/h) ; x > 0
Vận tốc thực tế đi từ A đến B của người ấy là: x + 10 (km/h) (0,25đ)
Thời gian dự định đi từ A đến B của người ấy là: (giờ)
Thời gian thực tế đi từ A đến B của người ấy là: (giờ) (0,25đ)
Vì đến trước dự định 45 phút nên ta có phương trình : (0,5đ)
Qui đồng khử mẫu ta được phương trình bậc hai : x2 +10x – 1200 = 0 (0,5đ)
Giải phương trình ta được: (Loại)
Vậy vận tốc dự định của người đi xe máy từ A đến B là: 30km/h (0,5đ) Bài 3:
a)Vẽ đồ thị hàm số : (P) và y = x (d)
Vẽ đúng mỗi đồ thị hàm số được (0,5đ)
Tìm tọa độ giao điểm của chúng bằng phép tính.
Hoành độ giao điểm của (P) và (d) là : (0,25đ) x1 = 0 ; y1=0 x2 = 2 ; y2 =2
Vậy tọa độ giao điểm của chúng là : (0;0) ; (2;2) (0,25đ)
b)Cho phương trình: x2 - 2(m+1)x + 2m = 0, x1; x2 là hai nghiệm của phương
trình, Hãy tìm giá trị của m để biểu thức
đạt giá trị nhỏ nhất. (0,25đ)
Do đó phương trình đã cho luôn có 2 nghiệm phân biệt. (0,5đ) Vậy: m = thì biểu thức
đạt giá trị nhỏ nhất. (0,25đ) Bài 4: Hình vẽ, gt, kl : 0,5đ
a)Chứng minh: tứ giác ACHD nội tiếp Xét tứ giác ACHD có : (0,25đ)
(góc nội tiếp chắn nửa đường tròn) (0,25đ) Do đó :
Vậy tứ giác ACHD nội tiếp (0,25đ)
b)Chứng minh: PC . PA = PH . PD ADP và HCP có : Góc P : chung (0,25đ) Nên ADP HCP do đó (0,5đ)
c)PB cắt (O) tại I. Chứng minh các điểm I; C; D thẳng hàng.
(góc nội tiếp chắn nửa đường tròn) hay CI BP (1) (0,25đ)
Xét tam giác BCP có đường cao BA, PH cắt nhau tại D
Do đó : CD BP (Đường cao thứ 3) (2) (0,25đ)
Từ (1) và (2) suy ra C ; D; I thẳng hàng (0,25đ)
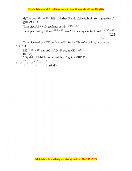
d)Cho góc
. Hãy tính theo R diện tích của hình tròn ngoại tiếp tứ giác ACHD
Tam giác ABP vuông cân tại A nên Tam giác vuông ICP có
nên ICP vuông cân tại I do đó (0,25 đ) Tam giác vuông ACD có
nên ACD vuông cân tại A suy ra: AC=AD Mà nên AC = AD =R suy ra CD= (0,25đ)
Vậy diện tích hình tròn ngoại tiếp tứ giác ACHD là : (đvdt)
Đề thi Toán 9 học kì 2 năm 2022 - 2023 - Đề 5
523
262 lượt tải
MUA NGAY ĐỂ XEM TOÀN BỘ TÀI LIỆU
CÁCH MUA:
- B1: Gửi phí vào TK:
1053587071
- NGUYEN VAN DOAN - Ngân hàng Vietcombank (QR) - B2: Nhắn tin tới Zalo VietJack Official ( nhấn vào đây ) để xác nhận thanh toán và tải tài liệu - giáo án
Liên hệ ngay Hotline hỗ trợ: 084 283 45 85
Đề thi được cập nhật liên tục trong gói này từ nay đến hết tháng 6/2023. Chúng tôi đảm bảo đủ số lượng đề đã cam kết hoặc có thể nhiều hơn, tất cả có BẢN WORD, LỜI GIẢI CHI TIẾT và tải về dễ dàng.
Để tải tài liệu gốc về máy bạn click vào nút Tải Xuống ở trên!
Thuộc bộ (mua theo bộ để tiết kiệm hơn):
- Tailieugiaovien.com.vn giới thiệu bộ 120 đề thi Toán 9 Học kì 2 gồm: 60 đề thi tập 1, 60 đề thi tập 2 có lời giải chi tiết, mới nhất năm 2022 - 2023 nhằm giúp Giáo viên có thêm tài liệu tham khảo ra đề thi Toán lớp 9.
- File word có lời giải chi tiết 100%.
- Mua trọn bộ sẽ tiết kiệm hơn tải lẻ 50%.
Đánh giá
4.6 / 5(523 )5
4
3
2
1

Trọng Bình
Tài liệu hay
Giúp ích cho tôi rất nhiều

Duy Trần
Tài liệu chuẩn
Rất thích tài liệu bên VJ soạn (bám sát chương trình dạy)
TÀI LIỆU BỘ BÁN CHẠY MÔN Toán Học
Xem thêmTÀI LIỆU BỘ BÁN CHẠY Lớp 9
Xem thêmTài liệu bộ mới nhất

Đây là bản xem thử, vui lòng mua tài liệu để xem chi tiết (có lời giải)
ĐỀ SỐ 005
Bài 1:
Không sử dụng máy tính cầm tay, hãy giải phương trình và hệ phương trình sau:
a)
b)
Bài 2:
Một người dự định đi xe máy từ A đến B cách nhau 90km. Vì có việc gấp
phải đến B trước dự định 45 phút nên người ấy tăng vận tốc lên mỗi giờ 10km.
Hãy tính vận tốc mà người ấy dự định đi.
Bài 3:
a)Vẽ đồ thị hàm số : và y = x lên cùng một hệ trục tọa độ. Hãy tìm
tọa độ giao điểm của chúng bằng phép tính.
b)Cho phương trình: x
2
- 2(m+1)x + 2m = 0, x
1
; x
2
là hai nghiệm của phương
trình, Hãy tìm giá trị của m để biểu thức đạt giá trị nhỏ nhất.
Bài 4:
Cho đường tròn (O;R) có đường kính BC. Gọi A là điểm nằm trên đường
tròn sao cho AB > AC. Trên tia đối AC lấy điểm P sao cho AP = AB. Đường
thẳng vuông góc hạ từ P xuống BC cắt BA ở D và cắt BC tại H.
a) Chứng minh: tứ giác ACHD nội tiếp
b) Chứng minh: PC . PA = PH . PD
c) PB cắt (O) tại I. Chứng minh các điểm I; C; D thẳng hàng.
d) Cho góc . Hãy tính theo R diện tích của hình tròn ngoại tiếp tứ
giác ACHD
ĐÁP ÁN ĐỀ SỐ 005
Bài 1:
Không sử dụng máy tính cầm tay, hãy giải phương trình và hệ phương trình sau:
a)
(0,5đ)
Vậy phương trình có hai nghiệm phân biệt:
; (0,5đ)
Mọi thắc mắc vui lòng xin liên hệ hotline: 084 283 45 85

Đây là bản xem thử, vui lòng mua tài liệu để xem chi tiết (có lời giải)
b) (0,5đ)
Vậy hệ phương trình có nghiệm (x;y) = (2; -3) (0,5đ)
Bài 2:
Gọi vận tốc dự định của người đi xe máy từ A đến B là: x (km/h) ; x > 0
Vận tốc thực tế đi từ A đến B của người ấy là: x + 10 (km/h)
(0,25đ)
Thời gian dự định đi từ A đến B của người ấy là: (giờ)
Thời gian thực tế đi từ A đến B của người ấy là: (giờ)
(0,25đ)
Vì đến trước dự định 45 phút nên ta có phương trình :
(0,5đ)
Qui đồng khử mẫu ta được phương trình bậc hai :
x
2
+10x – 1200 = 0 (0,5đ)
Giải phương trình ta được: (Loại)
Vậy vận tốc dự định của người đi xe máy từ A đến B là: 30km/h (0,5đ)
Bài 3:
a)Vẽ đồ thị hàm số : (P) và y = x (d)
Vẽ đúng mỗi đồ thị hàm số được (0,5đ)
Tìm tọa độ giao điểm của chúng bằng phép tính.
Hoành độ giao điểm của (P) và (d) là :
(0,25đ)
x
1
= 0 ; y
1
=0
x
2
= 2 ; y
2
=2
Vậy tọa độ giao điểm của chúng là : (0;0) ; (2;2)
(0,25đ)
Mọi thắc mắc vui lòng xin liên hệ hotline: 084 283 45 85

Đây là bản xem thử, vui lòng mua tài liệu để xem chi tiết (có lời giải)
b)Cho phương trình: x
2
- 2(m+1)x + 2m = 0, x
1
; x
2
là hai nghiệm của phương
trình, Hãy tìm giá trị của m để biểu thức đạt giá trị nhỏ nhất.
(0,25đ)
Do đó phương trình đã cho luôn có 2 nghiệm phân biệt.
(0,5đ)
Vậy: m = thì biểu thức đạt giá trị nhỏ nhất.
(0,25đ)
Bài 4:
Hình vẽ, gt, kl : 0,5đ
a)Chứng minh: tứ giác ACHD nội tiếp
Xét tứ giác ACHD có :
(0,25đ)
(góc nội tiếp chắn nửa đường tròn)
(0,25đ)
Do đó :
Vậy tứ giác ACHD nội tiếp
(0,25đ)
b)Chứng minh: PC . PA = PH . PD
ADP và HCP có :
Góc P : chung
(0,25đ)
Nên ADP HCP do đó (0,5đ)
c)PB cắt (O) tại I. Chứng minh các điểm I; C; D thẳng hàng.
(góc nội tiếp chắn nửa đường tròn) hay CI BP (1)
(0,25đ)
Xét tam giác BCP có đường cao BA, PH cắt nhau tại D
Do đó : CD BP (Đường cao thứ 3) (2)
(0,25đ)
Từ (1) và (2) suy ra C ; D; I thẳng hàng
(0,25đ)
Mọi thắc mắc vui lòng xin liên hệ hotline: 084 283 45 85

Đây là bản xem thử, vui lòng mua tài liệu để xem chi tiết (có lời giải)
d)Cho góc . Hãy tính theo R diện tích của hình tròn ngoại tiếp tứ
giác ACHD
Tam giác ABP vuông cân tại A nên
Tam giác vuông ICP có nên ICP vuông cân tại I do đó
(0,25
đ)
Tam giác vuông ACD có nên ACD vuông cân tại A suy ra:
AC=AD
Mà nên AC = AD =R suy ra CD=
(0,25đ)
Vậy diện tích hình tròn ngoại tiếp tứ giác ACHD là :
(đvdt)
Mọi thắc mắc vui lòng xin liên hệ hotline: 084 283 45 85

Đây là bản xem thử, vui lòng mua tài liệu để xem chi tiết (có lời giải)
Mọi thắc mắc vui lòng xin liên hệ hotline: 084 283 45 85