CHỦ ĐỀ 1
BẢN SẮC TƯ DUY NAP 4.0 DỒN CHẤT XẾP HÌNH
1.1. Vẻ đẹp điềm đạm của tư duy dồn chất và xếp hình trong bài toán este và 
các hợp chất chứa C-H-O. A. Định hướng tư duy
+ Tư duy dồn chất bản chất là biến một hỗn hợp nhiều chất phức tạp (X, Y, Z, T) 
thành những cụm nguyên tố đơn giản   kỹ thuật này rất linh 
hoạt và ảo diệu với 3 hướng chính là
Kỹ thuật bơm: Bơm thêm thành phần khác vào hỗn hợp đầu.
Kỹ thuật hút: Hút thành phần nào đó trong hỗn hợp ra
Kỹ thuật dồn dịch (hoán đổi): Chia cắt, lắp ghép, hoán đổi lại các nguyên tố 
và nhóm nguyên tố trong hỗn hợp. Do đó khi vận dụng phải linh hoạt sáng tạo, tùy  cơ mà ứng biến.
+ Với tư duy xếp hình sẽ giúp các bạn tìm ra công thức của các chất nhanh nhất có 
trong hỗn hợp. Bản chất là lắp ghép phần thừa vào trong các chất.
Lưu ý: Tư duy áp dụng “dồn chất và xếp hình” qua các bài toán đơn lẻ tôi đã trình 
bày ở cuốn “Tư duy hóa học NAP 4.0 – giải bài toán điểm 6, 7, 8 hữu cơ” các bạn 
cần học cuốn đó trước khi học cuốn này. Ở cuốn này tôi sẽ chỉ đưa ra hướng áp 
dụng mang tính tổng hợp thông qua các bài toán vận dụng cao. B. Ví dụ minh họa
Ví dụ 1: Đốt cháy hoàn toàn 0,1 mol hỗn hợp X gồm một axit, một este (đều no, 
đơn chức, mạch hở) và 2 hidrocacbon mạch hở cần vừa đủ 0,28 mol O2 tạo ra 0,2 
mol H2O. Nếu cho 0,1 mol X vào dung dịch Br2 dư thì số mol Br2 phản ứng tối đa  là: A. 0,04 B. 0,06 C. 0,03 D. 0,08
Định hướng tư duy giải
 Ta dồn X về    Giải thích tư duy
Khi bơm H2vào sẽ được hỗn hợp các chất là no. Nhấc COO ra phần còn lại là 
ankan có số mol là 0,1 mol. Ta lại nhấc H2 ra phần còn lại là anken ta đẩy về CH2. 
Lưu ý tổng mol H2 trong hỗn hợp sau bơm là 0,2+a. 
Ví dụ 2: Đốt cháy hoàn toạn 7,2 gam hỗn hợp X chứa ba este đều đơn chức, mạch 
hở bằng lượng oxi vừa đủ, thu được 7,168 lít khí CO2 (đktc). Mặt khác, hidro hóa 
hoàn toàn 7,2 gam X cần dùng 0,08 mol H2 thu được hỗn hợp Y. Đun nóng toàn 
bộ X dung dịch NaOH (vừa đủ), cô cạn dung dịch sau phản ứng thu được một 
ancol no Z duy nhất và m gam chất rắn khan. Nếu đốt toàn bộ lượng Z trên cần vừa 
đủ 0,135 mol O2. Giá trị của m là? A. 6,94 B. 7,92 C. 8,12 D. 7,24
Định hướng tư duy giải Dồn chất      Giải thích tư duy
Khi bơm H2 vào sẽ được các este no nên ta dồn thành CH2 và OO. Với ancol ta dồn 
thành H2O và CH2 vậy có ngay 0,135 mol O2 dùng để đốt cháy CH2 trong ancol 
nên ta có số mol CH2 trong ancol là 0,135.2/3=0,09.
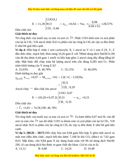
Ví dụ 3: Hỗn hợp E chứa 1 axit cacboxylic X, 1 ancol no Y và 1 este Z (X, Y, Z 
đều đơn chức mạch hở). Đun nóng 11,28 gam E với 100 ml dung dịch NaOH 1M 
vừa đủ thu được 9,4 gam 1 muối và hỗn hợp gồm 2 ancol cùng dãy đồng đẳng kế 
tiếp. Mặt khác đốt cháy 11,28 gam E cần dùng 0,06 mol O2. Phần trăm số mol của  Y có trong E là? A. 22,91% B. 14,04% C. 16,67% D. 28,57% Định hướng tu duy giải Ta có:   
 Dồn chất cho    Giải thích tư duy
Từ công thức của muối suy ra este và axit có 
. Nhấc COO khỏi este và axit phần 
còn lại là CH2. Với ancol nhấc H2O ra phần còn lại cũng là CH2 do vậy ta dồn được 
E như lời giải bên cạnh.
Ví dụ 4: Hỗn hợp E chứa 1 axit cacboxylic X, 1 ancol no Y và 1 este Z (X, Y, Z 
đều đơn chức, mạch hở). Đun nóng 10,26 gam E với 700ml dung dịch NaOH 0,1M 
vừa đủ thu được 6,44 gam 1 muối và hỗn hợp gồm 2 ancol cùng dãy đồng đẳng kế 
tiếp. Mặt khác đốt cháy toàn bộ lượng ancol trên cần dùng 0,285 mol O2. Phần 
trăm khối lượng của Y trong E là? A. 25,03% B. 46,78% C. 35,15% D. 40,50% Định hướng tu duy giải Ta có:    Ancol cháy   dồn chất cho ancol  Dồn chất cho      Giải thích tư duy
Từ công thức của muối suy ra este và axit có 
. Ta bơm thêm 0,07 mol H2 vào để  axit và este còn 
 sau đó nhấc COO ra khoie este và axit phần còn lại là CH2. Với 
ancol nhấc H2O ra phần còn lại cũng là CH2 do vậy ta dồn được E như lời giải bên  cạnh.
Ví dụ 5: [BGD – 2017] Đốt cháy hòa tan 9,84 gam hỗn hợp X gồm một ancol và 
một este (đều đơn chức, mạch hở) thu được 7,168 lít khí CO2 (đktc) và 7,92 gam 
H2O. Mặt khác, cho 9,84 gam X tác dụng hoàn toàn với 96 ml dung dịch NaOH 
2M, cô cạn dung dịch thu được m gam chất rắn khan. Giá trị của m là: A. 13,12 B. 6,80 C. 14,24 D. 10,48
Định hướng tư duy giải Dồn chất cho      Giải thích tư duy
Trong X ta thấy mol C bằng số mol O mà các chất đều đơn chức nên các chất trong 
X phải là CH3OH và HCOOCH3. Dùng CTĐC để suy nhanh ra số mol ancol và  este
Ví dụ 6: [BGD – 2017] Cho 0,3 mol hỗn hợp X gồm hai este đơn chức tác dụng 
vừa đủ với 250 ml dung dịch KOH 2M, thu được chất hữu cơ Y (no, đơn chức, 
mạch hở, có tham gia phản ứng tráng bạc) và 53 gam hỗn hợp muối. Đốt cháy toàn 
bộ Y cần vừa đủ 5,6 lít khí O2 (đktc). Khối lượng của 0,3 mol X là: A. 29,4 gam B. 31,0 gam C. 33,0 gam D. 41,0 gam
Định hướng tư duy giải Ta có:    Y là andehit ta dồn thành      Giải thích tư duy
Vì các chất trong X là đơn chức và số mol KOH > số mol X nên trong X phải có  este của phenol   phản ứng có sinh ra H2O.
Ví dụ 7: [BGD – 2017] Hỗn hợp E gồm este đơn chức X và este hai chức Y (X, Y 
đều no, mạch hở). Xà phòng hóa hoàn toàn 40,48 gam E cần vừa đủ 560 ml dung 
dịch NaOH 1M, thu được hai muối có tổng khối lượng a gam và hỗn hợp T gồm 
hai ancol có cùng số nguyên tử cacsbon. Đốt cháy toàn bộ T, thu được 16,128 lít 
khí CO2 (đktc) và 19,44 gam H2O. Giá trị của a gần nhất với giá trị nào sau đây? A. 43,0 B. 37,0 C. 40,5 D. 13,5
Định hướng tư duy
 
Tư duy Hóa học NAP 4.0 hữu cơ 8,9,10
                                                                
                                    
                                    
                                        
                                        
                                        
                                        
                                        
                                    
                                    602 
                                
                                
                                 301 lượt tải
                            
                            
                            
                        
                            MUA NGAY ĐỂ XEM TOÀN BỘ TÀI LIỆU
                        
                        CÁCH MUA:
- B1: Gửi phí vào TK: 1053587071- NGUYEN VAN DOAN - Ngân hàng Vietcombank (QR)
- B2: Nhắn tin tới Zalo VietJack Official ( nhấn vào đây ) để xác nhận thanh toán và tải tài liệu - giáo án
Liên hệ ngay Hotline hỗ trợ: 084 283 45 85
Bộ đề được cập nhật liên tục trong gói này từ nay đến hết tháng 3/2024. Chúng tôi đảm bảo đủ số lượng đề đã cam kết hoặc có thể nhiều hơn, tất cả có BẢN WORD, LỜI GIẢI CHI TIẾT và tải về dễ dàng.
Để tải tài liệu gốc về máy bạn click vào nút Tải Xuống ở trên!
Thuộc bộ (mua theo bộ để tiết kiệm hơn):
- Tailieugiaovien.com.vn giới thiệu Tư duy Hóa học NAP 4.0 hữu cơ 8,9,10 mới nhất năm 2023 nhằm giúp Giáo viên có thêm tài liệu tham khảo Hóa học lớp 6,7,8.
- File word có lời giải chi tiết 100%.
- Mua trọn bộ sẽ tiết kiệm hơn tải lẻ 50%.
Đánh giá
4.6 / 5(602 )5
                                            4
                                            3
                                            2
                                            1
                                             
                                        Trọng Bình
                                                
                                                
                                                
                                                
                                                
                                                Tài liệu hay
                                            
                                            
                                            Giúp ích cho tôi rất nhiều
 
                                        Duy Trần
                                                
                                                
                                                
                                                
                                                
                                                Tài liệu chuẩn
                                            
                                            
                                            Rất thích tài liệu bên VJ soạn (bám sát chương trình dạy)
TÀI LIỆU BỘ BÁN CHẠY MÔN Hóa Học
Xem thêmTÀI LIỆU BỘ BÁN CHẠY Lớp 9
Xem thêmTài liệu bộ mới nhất

Đây là bản xem thử, vui lòng mua tài liệu để xem chi tiết (có lời giải)
 CHỦ ĐỀ 1
BẢN SẮC TƯ DUY NAP 4.0 DỒN CHẤT XẾP HÌNH
1.1. Vẻ đẹp điềm đạm của tư duy dồn chất và xếp hình trong bài toán este và 
các hợp chất chứa C-H-O.
A. Định hướng tư duy
+ Tư duy dồn chất bản chất là biến một hỗn hợp nhiều chất phức tạp (X, Y, Z, T) 
thành những cụm nguyên tố đơn giản     kỹ thuật này rất linh 
hoạt và ảo diệu với 3 hướng chính là
Kỹ thuật bơm: Bơm thêm thành phần khác vào hỗn hợp đầu.
Kỹ thuật hút: Hút thành phần nào đó trong hỗn hợp ra
Kỹ thuật dồn dịch (hoán đổi): Chia cắt, lắp ghép, hoán đổi lại các nguyên tố 
và nhóm nguyên tố trong hỗn hợp. Do đó khi vận dụng phải linh hoạt sáng tạo, tùy 
cơ mà ứng biến.
+ Với tư duy xếp hình sẽ giúp các bạn tìm ra công thức của các chất nhanh nhất có 
trong hỗn hợp. Bản chất là lắp ghép phần thừa vào trong các chất.
Lưu ý: Tư duy áp dụng “dồn chất và xếp hình” qua các bài toán đơn lẻ tôi đã trình 
bày ở cuốn “Tư duy hóa học NAP 4.0 – giải bài toán điểm 6, 7, 8 hữu cơ” các bạn 
cần học cuốn đó trước khi học cuốn này. Ở cuốn này tôi sẽ chỉ đưa ra hướng áp 
dụng mang tính tổng hợp thông qua các bài toán vận dụng cao.
B. Ví dụ minh họa
Ví dụ 1: Đốt cháy hoàn toàn 0,1 mol hỗn hợp X gồm một axit, một este (đều no, 
đơn chức, mạch hở) và 2 hidrocacbon mạch hở cần vừa đủ 0,28 mol O
2
 tạo ra 0,2 
mol H
2
O. Nếu cho 0,1 mol X vào dung dịch  Br
2
 dư thì số mol Br
2
 phản ứng tối đa 
là:
A. 0,04 B. 0,06 C. 0,03 D. 0,08
Định hướng tư duy giải
Mọi thắc mắc vui lòng xin liên hệ hotline: 084 283 45 85

Đây là bản xem thử, vui lòng mua tài liệu để xem chi tiết (có lời giải)
Ta dồn X về 
Giải thích tư duy
Khi bơm H
2
vào sẽ được hỗn hợp các chất là no. Nhấc COO ra phần còn lại là 
ankan có số mol là 0,1 mol. Ta lại nhấc H
2
 ra phần còn lại là anken ta đẩy về CH
2
. 
Lưu ý tổng mol H
2
 trong hỗn hợp sau bơm là 0,2+a. 
Ví dụ 2: Đốt cháy hoàn toạn 7,2 gam hỗn hợp X chứa ba este đều đơn chức, mạch 
hở bằng lượng oxi vừa đủ, thu được 7,168 lít khí CO
2
 (đktc). Mặt khác, hidro hóa 
hoàn toàn 7,2 gam X cần dùng 0,08 mol H2 thu được hỗn hợp Y. Đun nóng toàn 
bộ X dung dịch NaOH (vừa đủ), cô cạn dung dịch sau phản ứng thu được một 
ancol no Z duy nhất và m gam chất rắn khan. Nếu đốt toàn bộ lượng Z trên cần vừa 
đủ 0,135 mol O
2
. Giá trị của m là?
A. 6,94 B. 7,92 C. 8,12 D. 7,24
Định hướng tư duy giải
Dồn chất   
Giải thích tư duy
Khi bơm H
2
 vào sẽ được các este no nên ta dồn thành CH
2
 và OO. Với ancol ta dồn 
thành H
2
O và CH
2
 vậy có ngay 0,135 mol O
2
 dùng để đốt cháy CH
2
 trong ancol 
nên ta có số mol CH
2
 trong ancol là 0,135.2/3=0,09.
Ví dụ 3: Hỗn hợp E chứa 1 axit cacboxylic X, 1 ancol no Y và 1 este Z (X, Y, Z 
đều đơn chức mạch hở). Đun nóng 11,28 gam E với 100 ml dung dịch NaOH 1M 
vừa đủ thu được 9,4 gam 1 muối và hỗn hợp gồm 2 ancol cùng dãy đồng đẳng kế 
tiếp. Mặt khác đốt cháy 11,28 gam E cần dùng 0,06 mol O
2
. Phần trăm số mol của 
Y có trong E là?
A. 22,91% B. 14,04% C. 16,67% D. 28,57%
Định hướng tu duy giải
Ta có:   
Mọi thắc mắc vui lòng xin liên hệ hotline: 084 283 45 85

Đây là bản xem thử, vui lòng mua tài liệu để xem chi tiết (có lời giải)
Dồn chất cho   
Giải thích tư duy
Từ công thức của muối suy ra este và axit có  . Nhấc COO khỏi este và axit phần 
còn lại là CH
2
. Với ancol nhấc H
2
O ra phần còn lại cũng là CH
2
 do vậy ta dồn được 
E như lời giải bên cạnh.
Ví dụ 4: Hỗn hợp E chứa 1 axit cacboxylic X, 1 ancol no Y và 1 este Z (X, Y, Z 
đều đơn chức, mạch hở). Đun nóng 10,26 gam E với 700ml dung dịch NaOH 0,1M 
vừa đủ thu được 6,44 gam 1 muối và hỗn hợp gồm 2 ancol cùng dãy đồng đẳng kế 
tiếp. Mặt khác đốt cháy toàn bộ lượng ancol trên cần dùng 0,285 mol O
2
. Phần 
trăm khối lượng của Y trong E là?
A. 25,03% B. 46,78% C. 35,15% D. 40,50%
Định hướng tu duy giải
Ta có:   
Ancol cháy   dồn chất cho ancol 
Dồn chất cho   
Giải thích tư duy
Từ công thức của muối suy ra este và axit có  . Ta bơm thêm 0,07 mol H
2
 vào để 
axit và este còn   sau đó nhấc COO ra khoie este và axit phần còn lại là CH
2
. Với 
ancol nhấc H
2
O ra phần còn lại cũng là CH
2
 do vậy ta dồn được E như lời giải bên 
cạnh.
Ví dụ 5: [BGD – 2017] Đốt cháy hòa tan 9,84 gam hỗn hợp X gồm một ancol và 
một este (đều đơn chức, mạch hở) thu được 7,168 lít khí CO
2
 (đktc) và 7,92 gam 
H
2
O. Mặt khác, cho 9,84 gam X tác dụng hoàn toàn với 96 ml dung dịch NaOH 
2M, cô cạn dung dịch thu được m gam chất rắn khan. Giá trị của m là:
A. 13,12 B. 6,80 C. 14,24 D. 10,48
Mọi thắc mắc vui lòng xin liên hệ hotline: 084 283 45 85

Đây là bản xem thử, vui lòng mua tài liệu để xem chi tiết (có lời giải)
Định hướng tư duy giải
Dồn chất cho   
Giải thích tư duy
Trong X ta thấy mol C bằng số mol O mà các chất đều đơn chức nên các chất trong 
X phải là CH
3
OH và HCOOCH
3
. Dùng CTĐC để suy nhanh ra số mol ancol và 
este
Ví dụ 6: [BGD – 2017] Cho 0,3 mol hỗn hợp X gồm hai este đơn chức tác dụng 
vừa đủ với 250 ml dung dịch KOH 2M, thu được chất hữu cơ Y (no, đơn chức, 
mạch hở, có tham gia phản ứng tráng bạc) và 53 gam hỗn hợp muối. Đốt cháy toàn 
bộ Y cần vừa đủ 5,6 lít khí O
2
 (đktc). Khối lượng của 0,3 mol X là:
A. 29,4 gam B. 31,0 gam C. 33,0 gam D. 41,0 gam
Định hướng tư duy giải
Ta có:   
Y là andehit ta dồn thành   
Giải thích tư duy
Vì các chất trong X là đơn chức và số mol KOH > số mol X nên trong X phải có 
este của phenol   phản ứng có sinh ra H
2
O.
Ví dụ 7: [BGD – 2017] Hỗn hợp E gồm este đơn chức X và este hai chức Y (X, Y 
đều no, mạch hở). Xà phòng hóa hoàn toàn 40,48 gam E cần vừa đủ 560 ml dung 
dịch NaOH 1M, thu được hai muối có tổng khối lượng a gam và hỗn hợp T gồm 
hai ancol có cùng số nguyên tử cacsbon. Đốt cháy toàn bộ T, thu được 16,128 lít 
khí CO
2
 (đktc) và 19,44 gam H
2
O. Giá trị của a gần nhất với giá trị nào sau đây?
A. 43,0 B. 37,0 C. 40,5 D. 13,5
Định hướng tư duy
Mọi thắc mắc vui lòng xin liên hệ hotline: 084 283 45 85

Đây là bản xem thử, vui lòng mua tài liệu để xem chi tiết (có lời giải)
Giải thích tư duy
Vì các chất trong E là no nên toàn bộ OH trong NaOH chạy hết vào các ancol 
trong T. Do đó, ta chỉ dồn chất cho hỗn hợp T về (C, H
2
, O)
Ví dụ 8: [BGD – 2017] Hỗn hợp E gồm este đơn chức X; este hai chức Y và chất 
béo Z (X, Y, Z đều no, mạch hở). Xà phòng hóa hoàn toàn 23,14 gam E cần vừa đủ 
190 ml dung dịch NaOH 1M, thu được hỗn hợp muối có tổng khối lượng a gam và 
hỗn hợp ancol T. Đốt cháy toàn bộ T cần dùng vừa đủ 0,425 mol O
2
, thu được H
2
O 
và 0,31 mol CO
2
. Giá trị của a là:
A. 33,08 B. 23,14 C. 28,94 D. 22,07
Định hướng tư duy
Giải thích tư duy
Bài toán này về cơ bản là giống bài toán trên chúng ta cũng nhìn ancol dưới dạng 
(C, H
2
 và O). Tuy nhiên, cần lưu ý áp dụng BTNT.O linh hoạt để tìm ra số mol H
2.
Ví dụ 9: Hỗn hợp X chứa nhiều ancol đều đơn chức, mạch hở. Đốt cháy hoàn toàn 
0,1 mol X cần vừa đủ 0,31 mol O
2
 thu được CO
2
 và m gam H
2
O. Mặt khác, lượng 
X trên có thể làm mất màu tối đa 100ml dung dịch nước Br
2
 1M. Giá trị của m là?
A. 4,32 B. 4,50 C. 4,68 D. 5,40
Định hướng tư duy giải
Bơm thêm 0,1 mol H
2
 vào X rồi đốt cháy.   
Giải thích tư duy
Mọi thắc mắc vui lòng xin liên hệ hotline: 084 283 45 85
 
                                             
                                             
                                             
                                             
                                            
 
                        
 Nhắn tin Zalo
 Nhắn tin Zalo