ĐỀ THI THAM KHẢO
KÌ THI ĐÁNH GIÁ NĂNG LỰC ĐHQG TP.HCM PHẦN 2: TOÁN HỌC ĐỀ SỐ 1
Câu 61. Trong một cuộc khảo sát người tiêu dùng, trong 100 người uống cà phê được khảo sát,
có 55 người thêm đường, 65 người thêm sữa và 30 người thêm cả đường và sữa. Trong số 100
người đó, số người không thêm đường hoặc sữa là: A. 10. B. 30 . C. 60 . D. 90 .
Câu 62. Cho a, b là các số thực dương khác 1 và thỏa mãn log b log a 1 . Mệnh đề nào 2 2 a b dưới đây là đúng? A. 1 a . B. a b . C. 1 a . D. 2 a b . b 2 b
Câu 63. Cho giới hạn x 1 5x 1 a lim
(với a là phân số tối giản). Khi đó, giá trị của x3 x 4x 3 b b
biểu thức T 2a b bằng: A. 1 . B. 1. C. 10. D. 9 . 9 8
Câu 64. Cho hàm số 2
f x x 3 . Giá trị của biểu thức S f 1 4f 1 là: A. S 2 . B. S 4 . C. S 6 . D. S 8 .
Câu 65. Cho hàm số f x có đạo hàm 3 f x x x 1 x 4 , x
. Số điểm cực đại của hàm số đã cho là: A. 3. B. 4 . C. 2 . D. 1.
Câu 66. Đồ thị của hàm số x 1 y
có số đường tiệm cận là: 2 x 2x 3 A. 3. B. 2. C. 1. D. 0.
Dựa vào thông tin dưới đây để trả lời các câu từ 67 đến 69 Cho hàm số 3 2 f x
2x 3 2m 1 x 6m m 1x 1 , với m là tham số thực.
Câu 67. Với m 0 , giá trị nhỏ nhất của hàm số y f x trên đoạn 1;2 là: A. 4 . B. 0 . C. 1. D. 5.
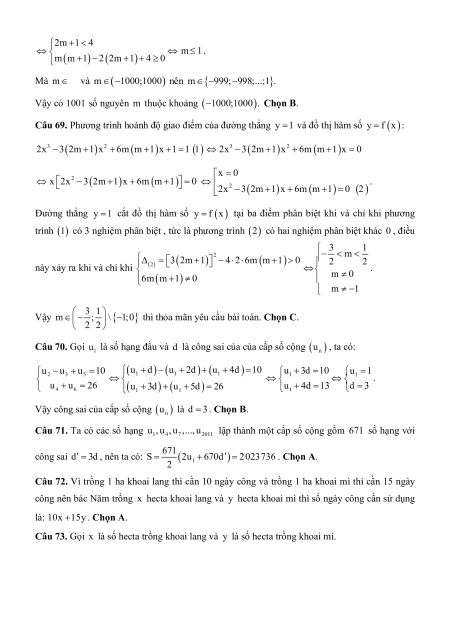
Câu 68. Có bao nhiêu giá trị nguyên của tham số thực m thuộc khoảng 1000;1000 để hàm
số y f x đồng biến trên khoảng 2; ? A. 999. B. 1001. C. 998. D. 1998.
Câu 69. Đường thẳng y 1 cắt đồ thị hàm số y f x tại ba điểm phân biệt khi và chỉ khi A. 3 1 m ; 3 1 . B. m ; \ 0 . 2 2 2 2 C. 3 1 m ; \ 1 3 1 ;0 . D. m ; \ 1 . 2 2 2 2
Dựa vào thông tin dưới đây để trả lời các câu từ 70 đến 71 u u u 10
Cho cấp số cộng u xác định bởi 2 3 5 n u u 26. 4 6
Câu 70. Công sai của cấp số cộng u là: n A. d 1. B. d 3. C. d 1 . D. d 3 .
Câu 71. Tổng S u u u . . u bằng: 1 4 7 2011 A. 2023736 . B. 673015 . C. 623015 . D. 2032763 .
Dựa vào thông tin dưới đây để trả lời các câu từ 72 đến 73
Bác Năm dự định trồng khoai lang và khoai mì trên mảnh đất có diện tích 8 ha và sử dụng tối
đa 90 ngày công. Nếu trồng 1 ha khoai lang thì cần 10 ngày công và thu được 20 triệu đồng.
Nếu trồng 1 ha khoai mì thì cần 15 ngày công và thu được 25 triệu đồng.
Câu 72. Nếu bác Năm trồng x hecta khoai lang và y hecta khoai mì thì số ngày công cần sử dụng là: A. 10x 15y . B. x y . C. 15x 10y . D. 20x 25y .
Câu 73. Để thu được nhiều tiền nhất, bác Năm đã trồng x hecta khoai lang và y hecta khoai
mì. Khi đó, giá trị của y là: A. 6 . B. 2 . C. 8 . D. 4 .
Dựa vào thông tin dưới đây để trả lời các câu từ 74 đến 75 Cho phương trình x 1 x2
4 2 m 0, với m là tham số thực.
Câu 74. Khi m 1, nghiệm của phương trình đã cho là: A. x 1 . B. x 0. C. x 1. D. x 2.
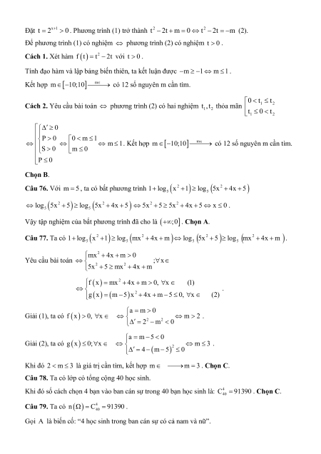
Câu 75. Có bao nhiêu giá trị nguyên của tham số m thuộc 10;10 để phương trình đã cho có nghiệm? A. 3. B. 12. C. 7. D. 15.
Dựa vào thông tin dưới đây để trả lời các câu từ 76 đến 77
Cho bất phương trình 1 log 2 x 1 log 2
mx 4x m , với m là tham số thực. 5 5
Câu 76. Khi m 5 , tập nghiệm của bất phương là: A. ;0 . B. ;0. C. ; 1 . D. ; 1 .
Câu 77. Số giá trị nguyên của tham số m để bất phương trình đã cho luôn đúng với mọi x là: A. 3. B. 0. C. 1. D. 2.
Dựa vào thông tin dưới đây để trả lời các câu từ 78 đến 80
Một lớp học có 30 học sinh nam và 10 học sinh nữ. Giáo viên chủ nhiệm cần chọn một ban cán
sự lớp gồm có 4 học sinh.
Câu 78. Số cách chọn 4 bạn vào ban cán sự lớp là: A. 27 405. B. 210. C. 91 390. D. 4 845.
Câu 79. Xác suất để ban cán sự lớp có cả nam và nữ là: A. 63775 . B. 57990 . C. 12695 . D. 13055 . 91390 91390 18278 18278
Câu 80. Xác suất để ban cán sự lớp có ít nhất một học sinh nữ gần nhất với giá trị nào trong các giá trị dưới đây? A. 0,68. B. 0,74. C. 0,81. D. 0,7.
Dựa vào thông tin dưới đây để trả lời các câu từ 81 đến 82
Một vật chuyển động với gia tốc 2 a t
2cost m/s . Tại thời điểm bắt đầu chuyển động, vật có vận tốc bằng 0.
Câu 81. Vận tốc của vật được biểu diễn bằng hàm số nào sau đây? A. vt 2sint . B. vt 2 sint . C. vt 2cost . D. vt 2 cost .
Câu 82. Quãng đường vật đi được từ thời điểm t giây đến thời điểm 3 t giây là: 2 4 A. 3 m . B. 4m . C. 2 m . D. 2m .
Dựa vào thông tin dưới đây để trả lời các câu từ 83 đến 84
Trong mặt phẳng tọa độ Oxy , cho ba điểm A 1 ;2,B2; 2 ,C 3;1 .
Câu 83. Phương trình tham số của đường thẳng đi qua hai điểm A,B là: x 3t 1 x 3t 1 x t 3 x 3t 1 A. , t . B. , t . C. , t . D. , t . y 4 t 2 y 4t 2 y 2 t 4 y 4t 2
Câu 84. Tọa độ điểm D sao cho tứ giác ABCD là hình bình hành là: A. D0; 1 . B. D5;0 . C. D0;5 . D. D1;0.
Dựa vào thông tin dưới đây để trả lời các câu từ 85 đến 87
Cho hình chóp S.ABCD có đáy là hình thoi cạnh bằng 3a , SA SB SD a 6 và tam giác ABD đều.
Câu 85. Thể tích của khối chóp S.ABCD là: 3 3 A. 3 3a . B. 9a . C. 10 3 a . D. 9 3a . 2 3 2
Câu 86. Khoảng cách từ điểm A đến mặt phẳng SCD là: A. 3 6a . B. 3 3a . C. 3 2a . D. a . 4 4 4
Câu 87. Giả sử P là mặt phẳng thay đổi, luôn đi qua B và vuông góc với mặt phẳng SCD .
Gọi là góc giữa đường thẳng BD và mặt phẳng P . Giá trị lớn nhất của sin là: A. 4 3 . B. 5 2 . C. 2 2 . D. 10 . 10 9 5 4
Dựa vào thông tin dưới đây để trả lời các câu từ 88 đến 90
Trong mặt phẳng Oxyz , cho ba điểm A1;2;0,B2;1;2,C 1 ;3;1 .
Câu 88. Phương trình mặt cầu đường kính BC là: 2 2 A. 1 x
y 12 z 22 1 2 2 7 7 . B. x
y 1 z 2 . 2 2 2 2 2 2 2 C. 1 1 2 3 2 3 7 x y 2 z . D. x y 2 z 7 . 2 2 2 2 2
Câu 89. Tọa độ điểm M thỏa mãn MA 2MB MC 0 là: A. 3 M 3;1; . B. 1 3 M 3; ; . C. 1 M 3; ;0 . D. 1 1 3 M ; ; . 2 2 2 2 2 2 2
Câu 90. Bán kính đường tròn ngoại tiếp tam giác ABC bằng: A. 3 10 . B. 2 5 . C. 2 10 . D. 3 5 . 5 5 5 5
30+ Đề thi ĐGNL ĐHQG TP.HCM VACT phần Toán học
198
99 lượt tải
250.000 ₫
MUA NGAY ĐỂ XEM TOÀN BỘ TÀI LIỆU
CÁCH MUA:
- B1: Gửi phí vào TK:
1053587071
- NGUYEN VAN DOAN - Ngân hàng Vietcombank (QR) - B2: Nhắn tin tới Zalo VietJack Official ( nhấn vào đây ) để xác nhận thanh toán và tải tài liệu - giáo án
Liên hệ ngay Hotline hỗ trợ: 084 283 45 85
Đề thi được cập nhật thêm mới liên tục hàng năm sau mỗi kì thi trên cả nước. Chúng tôi đảm bảo đủ số lượng đề đã cam kết hoặc có thể nhiều hơn, tất cả có BẢN WORD, LỜI GIẢI CHI TIẾT và tải về dễ dàng.
Để tải tài liệu gốc về máy bạn click vào nút Tải Xuống ở trên!
- Tailieugiaovien.com.vn giới thiệu 30+ Đề thi ĐGNL ĐHQG TP.HCM VACT phần Toán học nhằm giúp Giáo viên có thêm tài liệu tham khảo đề thi đánh giá năng lực.
- File word có lời giải chi tiết 100%.
- Mua trọn bộ sẽ tiết kiệm hơn tải lẻ 50%.
Đánh giá
4.6 / 5(198 )5
4
3
2
1

Trọng Bình
Tài liệu hay
Giúp ích cho tôi rất nhiều

Duy Trần
Tài liệu chuẩn
Rất thích tài liệu bên VJ soạn (bám sát chương trình dạy)