PHẦN II. MỘT SỐ SAI LẦM HỌC SINH THƯỜNG MẮC PHẢI KHI GIẢI TOÁN VÀ CÁCH KHẮC PHỤC
I. 5 LỖI THƯỜNG GẶP KHI LÀM BÀI CẦN TRÁNH
1. Kĩ năng trình bày
Một số lỗi trình bày thường gặp:
Viết chữ xấu, cẩu thả, viết không rõ ràng dễ gây nhầm lẫn các con số, ký hiệu…
Trình bày bài lộn xộn, không mạch lạc, ý tưởng không rõ ràng gây khó hiểu cho giám khảo. Cách khắc phục:
Viết rõ ràng, cẩn thận và sạch sẽ, tránh tẩy xóa.
Giải nháp ngoài các bước chính và sắp xếp các bước thực hiện cẩn thận.
Trình bày các nội dụng rõ ràng, vẽ hình rõ ràng.
2. Không đọc kĩ đề
Nhiều học sinh đọc thấy đề cảm thấy đề dễ dàng nên không đọc lại đề kỹ và dẫn đến nhầm lẫn các
giả thiết, không nắm đầy đủ các yêu cầu của đề bài, chưa hết ý hay thiếu kết luận dẫn đến việc bị
trừ điểm thành phần 0,25 hoặc sai đề, lạc hướng.
Cách khắc phục: Hãy ghi nhớ, cho dù bạn có kiến thức tốt và đề thi có dễ dàng so với bạn thì hãy
đọc kỹ đề, làm cẩn thận nhằm:
Xác định chính xác giả thiết của đề bài, đặt các điều kiện cần thiết.
Thực hiện đầy đủ các yêu cầu của đề bài.
Nên làm phần kết luận cho từng câu để có thể kiểm tra lại xem mình đã thực hiện hết các yêu cầu của câu hỏi chưa.
So sánh các nghiệm với các điều kiện đặt ra.
3. Chép dữ kiện của đề bài vào giấy thi sai
Đôi khi những lỗi do chủ quan như việc chép lại đề bài vào giấy thi bị sai cũng khiến cho bạn có
một bài làm sai lệch và không đúng với đề thi và chắc chắn rằng điểm thi của bạn sẽ bị mất trắng. Cách khắc phục:
Dành lại chút thời gian và rà soát lại đề thi đã chép trong tờ giấy thi trước khi sử dụng chúng.
Không quên kiểm tra lại kết quả các bước quan trọng nếu như kết quả đó được sử dụng cho nhiều phần khác của bài làm.
4. Lỗi gạch xóa thiếu khoa học Lỗi thường gặp:
Làm quá sát câu sau với câu trước.
Gạch bỏ và xóa một cách cẩu thả.
Viết chen phần sửa với phần gạch bỏ dẫn tới dễ bị chấm sót.
Trang 1
Không đánh số thứ tự câu khi làm bài.
Bỏ trống nhiều chỗ trên giấy thi, làm một câu kéo dài nhiều nơi trong bài làm. Những điều này có
thể gây mấy tính thẩm mỹ của bài thi, mất cảm tình của giám khảo, dễ dẫn tới bị chấm sai, chấm
sót và cộng điểm thiếu. Cách khắc phục:
Hãy cố gắng tránh gạch xóa trong bài, nếu muốn xóa thì không dùng bút xóa hay gạch bỏ cẩu thả.
Hãy dùng thước gạch chéo phần cần bỏ và viết lại phần đúng vào phía dưới bài thi.
Không nên viết kế bên và chèn lên trên phần vừa gạch bỏ.
Tránh bỏ trống giấy thi quá nhiều (làm từ câu dễ đến khó để tránh việc bỏ đoạn trắng).
5. Sử dụng ký hiệu tùy tiện, không giới thiệu Lỗi thường gặp:
Sử dụng các ký hiệu mà không phải giải thích trước là ký hiệu gì.
Làm bài quá vắn tắt, không giải thích, thiếu lập luận.
Làm bài quá dài dòng, viết cả những biến đổi lặt vặt vào bài dẫn tới bài làm bị rối và phức tạp. Cách khắc phục:
Cần đảm bảo yêu cầu là một bài làm toán cũng cần có những lời giải ngắn, đơn giản, dễ hiểu để
người đọc có thể hiểu là bạn đang làm như thế nào.
Chọn phương pháp giải đơn giản hơn tránh phức tạp và cầu kỳ, mất thời gian.
Nên đặt ký hiệu và diễn giải ký hiệu đó ở lần đầu tiên sử dụng.
II. MỘT SỐ LỖI SAI TRONG CÁC DẠNG BÀI CẦN TRÁNH
DẠNG 1: Tìm x để biểu thức hoặc Ví dụ 1: Cho với
Tìm x để biểu thức Sai sót 1: Sai sót 2: Cách giải đúng:
Trang 2
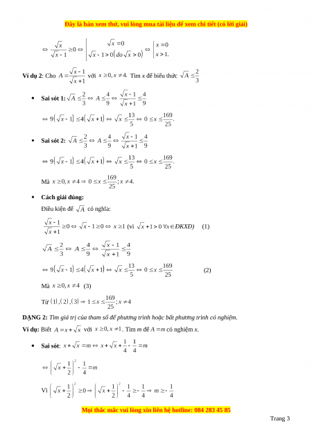
Ví dụ 2: Cho với
Tìm x để biểu thức Sai sót 1: Sai sót 2: Mà Cách giải đúng: Điều kiện để có nghĩa: (vì ĐKXĐ) (1) (2) Mà (3) Từ
DẠNG 2: Tìm giá trị của tham số để phương trình hoặc bất phương trình có nghiệm. Ví dụ: Biết với . Tìm m để có nghiệm x. Sai sót: Vì
Trang 3
Cách giải đúng: Vì Vì Vậy
DẠNG 3: Quan hệ giữa đường thẳng và parabol.
Ví dụ: Cho đường thẳng và parabol
(với m là tham số) trong mặt phẳng tọa độ Oxy. a) Tìm m để
cắt (P) tại hai điểm phân biệt A, B.
b) Gọi H và K lần lượt là hình chiếu vuông góc của A, B trên trục hoành. Tìm m để độ dài đoạn HK bằng 3 (đơn vị độ dài). Giải: Dễ dàng tìm được thì cắt
tại hai điểm phân biệt A, B. Gọi
lần lượt là hoành độ của A,B Sai sót 1: Sai sót 2:
Phương trình có hai nghiệm: Cách giải đúng: a) Cách 1:
Không mất tính tổng quát ta giả sử phương trình có hai nghiệm:
b) Cách 2: Theo hệ thức Vi-ét:
Trang 4
Bộ đề công phá 8+ thi vào 10 môn Toán năm 2023 Phần 2: Một số sai lầm thường mắc phải khi giải toán và cách khắc phục
526
263 lượt tải
MUA NGAY ĐỂ XEM TOÀN BỘ TÀI LIỆU
CÁCH MUA:
- B1: Gửi phí vào TK:
1053587071
- NGUYEN VAN DOAN - Ngân hàng Vietcombank (QR) - B2: Nhắn tin tới Zalo VietJack Official ( nhấn vào đây ) để xác nhận thanh toán và tải tài liệu - giáo án
Liên hệ ngay Hotline hỗ trợ: 084 283 45 85
Đề thi được cập nhật liên tục trong gói này từ nay đến hết tháng 6/2023. Chúng tôi đảm bảo đủ số lượng đề đã cam kết hoặc có thể nhiều hơn, tất cả có BẢN WORD, LỜI GIẢI CHI TIẾT và tải về dễ dàng.
Để tải tài liệu gốc về máy bạn click vào nút Tải Xuống ở trên!
Thuộc bộ (mua theo bộ để tiết kiệm hơn):
- Tailieugiaovien.com.vn giới thiệu bộ tài liệu công phá 8+ thi vào 10 môn Toán Phần 2: Một số sai lầm khi học sinh thường mắc phải khi giải toán và cách khắc phục năm 2022 - 2023 nhằm giúp Giáo viên có thêm tài liệu tham khảo đề luyện thi Toán ôn luyện vào 10.
- File word có lời giải chi tiết 100%.
- Mua trọn bộ sẽ tiết kiệm hơn tải lẻ 50%.
Đánh giá
4.6 / 5(526 )5
4
3
2
1

Trọng Bình
Tài liệu hay
Giúp ích cho tôi rất nhiều

Duy Trần
Tài liệu chuẩn
Rất thích tài liệu bên VJ soạn (bám sát chương trình dạy)
TÀI LIỆU BỘ BÁN CHẠY MÔN Toán Học
Xem thêmTÀI LIỆU BỘ BÁN CHẠY Ôn vào 10
Xem thêmTài liệu bộ mới nhất

Đây là bản xem thử, vui lòng mua tài liệu để xem chi tiết (có lời giải)
PHẦN II. MỘT SỐ SAI LẦM HỌC SINH THƯỜNG MẮC PHẢI KHI GIẢI TOÁN VÀ CÁCH
KHẮC PHỤC
I. 5 LỖI THƯỜNG GẶP KHI LÀM BÀI CẦN TRÁNH
1. Kĩ năng trình bày
Một số lỗi trình bày thường gặp:
Viết chữ xấu, cẩu thả, viết không rõ ràng dễ gây nhầm lẫn các con số, ký hiệu…
Trình bày bài lộn xộn, không mạch lạc, ý tưởng không rõ ràng gây khó hiểu cho giám khảo.
Cách khắc phục:
Viết rõ ràng, cẩn thận và sạch sẽ, tránh tẩy xóa.
Giải nháp ngoài các bước chính và sắp xếp các bước thực hiện cẩn thận.
Trình bày các nội dụng rõ ràng, vẽ hình rõ ràng.
2. Không đọc kĩ đề
Nhiều học sinh đọc thấy đề cảm thấy đề dễ dàng nên không đọc lại đề kỹ và dẫn đến nhầm lẫn các
giả thiết, không nắm đầy đủ các yêu cầu của đề bài, chưa hết ý hay thiếu kết luận dẫn đến việc bị
trừ điểm thành phần 0,25 hoặc sai đề, lạc hướng.
Cách khắc phục: Hãy ghi nhớ, cho dù bạn có kiến thức tốt và đề thi có dễ dàng so với bạn thì hãy
đọc kỹ đề, làm cẩn thận nhằm:
Xác định chính xác giả thiết của đề bài, đặt các điều kiện cần thiết.
Thực hiện đầy đủ các yêu cầu của đề bài.
Nên làm phần kết luận cho từng câu để có thể kiểm tra lại xem mình đã thực hiện hết các yêu cầu
của câu hỏi chưa.
So sánh các nghiệm với các điều kiện đặt ra.
3. Chép dữ kiện của đề bài vào giấy thi sai
Đôi khi những lỗi do chủ quan như việc chép lại đề bài vào giấy thi bị sai cũng khiến cho bạn có
một bài làm sai lệch và không đúng với đề thi và chắc chắn rằng điểm thi của bạn sẽ bị mất trắng.
Cách khắc phục:
Dành lại chút thời gian và rà soát lại đề thi đã chép trong tờ giấy thi trước khi sử dụng chúng.
Không quên kiểm tra lại kết quả các bước quan trọng nếu như kết quả đó được sử dụng cho nhiều
phần khác của bài làm.
4. Lỗi gạch xóa thiếu khoa học
Lỗi thường gặp:
Làm quá sát câu sau với câu trước.
Gạch bỏ và xóa một cách cẩu thả.
Viết chen phần sửa với phần gạch bỏ dẫn tới dễ bị chấm sót.
Mọi thắc mắc vui lòng xin liên hệ hotline: 084 283 45 85
Trang 1

Đây là bản xem thử, vui lòng mua tài liệu để xem chi tiết (có lời giải)
Không đánh số thứ tự câu khi làm bài.
Bỏ trống nhiều chỗ trên giấy thi, làm một câu kéo dài nhiều nơi trong bài làm. Những điều này có
thể gây mấy tính thẩm mỹ của bài thi, mất cảm tình của giám khảo, dễ dẫn tới bị chấm sai, chấm
sót và cộng điểm thiếu.
Cách khắc phục:
Hãy cố gắng tránh gạch xóa trong bài, nếu muốn xóa thì không dùng bút xóa hay gạch bỏ cẩu thả.
Hãy dùng thước gạch chéo phần cần bỏ và viết lại phần đúng vào phía dưới bài thi.
Không nên viết kế bên và chèn lên trên phần vừa gạch bỏ.
Tránh bỏ trống giấy thi quá nhiều (làm từ câu dễ đến khó để tránh việc bỏ đoạn trắng).
5. Sử dụng ký hiệu tùy tiện, không giới thiệu
Lỗi thường gặp:
Sử dụng các ký hiệu mà không phải giải thích trước là ký hiệu gì.
Làm bài quá vắn tắt, không giải thích, thiếu lập luận.
Làm bài quá dài dòng, viết cả những biến đổi lặt vặt vào bài dẫn tới bài làm bị rối và phức tạp.
Cách khắc phục:
Cần đảm bảo yêu cầu là một bài làm toán cũng cần có những lời giải ngắn, đơn giản, dễ hiểu để
người đọc có thể hiểu là bạn đang làm như thế nào.
Chọn phương pháp giải đơn giản hơn tránh phức tạp và cầu kỳ, mất thời gian.
Nên đặt ký hiệu và diễn giải ký hiệu đó ở lần đầu tiên sử dụng.
II. MỘT SỐ LỖI SAI TRONG CÁC DẠNG BÀI CẦN TRÁNH
DẠNG 1: Tìm x để biểu thức hoặc
Ví dụ 1: Cho với Tìm x để biểu thức
Sai sót 1:
Sai sót 2:
Cách giải đúng:
Mọi thắc mắc vui lòng xin liên hệ hotline: 084 283 45 85
Trang 2

Đây là bản xem thử, vui lòng mua tài liệu để xem chi tiết (có lời giải)
Ví dụ 2: Cho với Tìm x để biểu thức
Sai sót 1:
Sai sót 2:
Mà
Cách giải đúng:
Điều kiện để có nghĩa:
(vì ĐKXĐ) (1)
(2)
Mà (3)
Từ
DẠNG 2: Tìm giá trị của tham số để phương trình hoặc bất phương trình có nghiệm.
Ví dụ: Biết với . Tìm m để có nghiệm x.
Sai sót:
Vì
Mọi thắc mắc vui lòng xin liên hệ hotline: 084 283 45 85
Trang 3

Đây là bản xem thử, vui lòng mua tài liệu để xem chi tiết (có lời giải)
Cách giải đúng:
Vì
Vì
Vậy
DẠNG 3: Quan hệ giữa đường thẳng và parabol.
Ví dụ: Cho đường thẳng và parabol (với m là tham số) trong mặt phẳng
tọa độ Oxy.
a) Tìm m để cắt (P) tại hai điểm phân biệt A, B.
b) Gọi H và K lần lượt là hình chiếu vuông góc của A, B trên trục hoành. Tìm m để độ dài đoạn HK bằng
3 (đơn vị độ dài).
Giải:
Dễ dàng tìm được thì cắt tại hai điểm phân biệt A, B.
Gọi lần lượt là hoành độ của A,B
Sai sót 1:
Sai sót 2: Phương trình có hai nghiệm:
Cách giải đúng:
a) Cách 1: Không mất tính tổng quát ta giả sử phương trình có hai nghiệm:
b) Cách 2: Theo hệ thức Vi-ét:
Mọi thắc mắc vui lòng xin liên hệ hotline: 084 283 45 85
Trang 4

Đây là bản xem thử, vui lòng mua tài liệu để xem chi tiết (có lời giải)
Ví dụ 2: Biết với . Tìm m để có nghiệm x.
Giải:
(1)
Đặt
(2)
Sai sót 1: (1) có nghiệm khi (2) có nghiệm
Sai sót 2: (1) có nghiệm khi (2) có nghiệm không âm.
Cách giải đúng:
Vì (2) luôn là phương trình bậc 2.
Mọi thắc mắc vui lòng xin liên hệ hotline: 084 283 45 85
Trang 5