SỞ GIÁO DỤC VÀ ĐÀO TẠO
KỲ THI TUYỂN SINH LỚP 10 THPT ĐẮK LẮK
NĂM HỌC 2025 – 2026 ĐỀ MINH HỌA Môn thi: TOÁN
Thời gian làm bài: 120 phút (không kể thời gian phát đề) Bài 1. (2,0 điểm)
1) Giải bất phương trình: x 2 3.
2) Tính giá trị của biểu thức: 36 25. 3) Cho hàm số: 2
y 2x có đồ thị P. Tìm các điểm thuộc đồ thị P có hoành độ
x 0, x 2.
2x y 5
4) Giải hệ phương trình: .
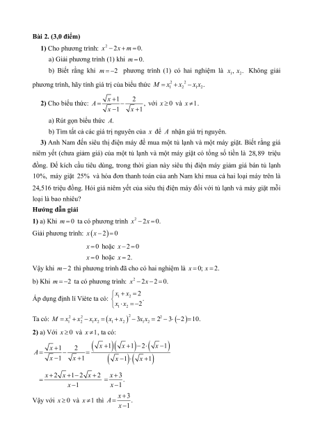
x y 2 Bài 2. (3,0 điểm)
1) Cho phương trình: 2
x 2x m 0.
a) Giải phương trình (1) khi m 0.
b) Biết rằng khi m 2 phương trình (1) có hai nghiệm là x , x . Không giải 1 2
phương trình, hãy tính giá trị của biểu thức 2 2
M x x x x . 1 2 1 2 2) Cho biểu thức: x 1 2 A
, với x 0 và x 1. x 1 x 1 a) Rút gọn biểu thức . A
b) Tìm tất cả các giá trị nguyên của x để A nhận giá trị nguyên.
3) Anh Nam đến siêu thị điện máy để mua một tủ lạnh và một máy giặt. Biết rằng giá
niêm yết (chưa giảm giá) của một tủ lạnh và một máy giặt có tổng số tiền là 28,89 triệu
đồng. Để kích cầu tiêu dùng, trong thời gian này siêu thị điện máy giảm giá bán tủ lạnh
10%, máy giặt 25% và hóa đơn thanh toán của anh Nam khi mua cả hai loại máy trên là
24,516 triệu đồng. Hỏi giá niêm yết của siêu thị điện máy đối với tủ lạnh và máy giặt mỗi loại là bao nhiêu? Bài 3. (1,5 điểm)
1) Biểu đồ (hình dưới) thống kê số lượng nhân viên trong một công ty theo số năm
kinh nghiệm làm việc của họ. Dựa vào biểu đồ sau, hãy cho biết tổng số nhân viên của công ty là bao nhiêu?
Số lượng nhân viên 7 năm 6 6 năm 9 5 năm 15 4 năm 10 3 năm 12 2 năm 8 1 năm 5
1 năm 2 năm 3 năm 4 năm 5 năm 6 năm 7 năm Số lượng nhân viên 5 8 12 10 15 9 6
2) Một nhóm gồm 10 học sinh, trong đó có 5 bạn học trường THCS Quang Trung, 3
bạn học trường THCS Tân Lợi và 2 bạn học trường THCS Hùng Vương. Chọn ngẫu
nhiên 1 học sinh trong 10 học sinh đó.
a) Hỏi không gian mẫu của phép thử có bao nhiêu phần tử?
b) Tính xác suất của biến cố “Bạn học sinh được chọn học trường THCS Quang Trung”. Bài 4. (3,0 điểm)
1) Trong giờ ra chơi, bạn An nhìn thấy bóng của
cột cờ trên sân trường và đo được bóng cột cờ dài 12
mét, sau đó bạn ngắm nhìn và đo được các tia nắng
tạo với bóng cột cờ một góc xấp xỉ bằng 35 (Mô tả
bởi hình vẽ bên). Em hãy tính giúp bạn An chiều cao
của cột cờ (kết quả làm tròn đến chữ số thập phân thứ nhất).
2) Cho nửa đường tròn tâm O đường kính AB 2 .
R Từ A và B lần lượt kẻ hai tiếp
tuyến Ax và By với nửa đường tròn. Qua điểm M thuộc nửa đường tròn (M khác A
và B) kẻ tiếp tuyến thứ ba cắt các tiếp tuyến Ax và By lần lượt tại C và D .
a) Chứng minh tứ giác AOMC nội tiếp đường tròn. b) Chứng minh 2
AC BD R .
c) Khi BAM 60 . Tính diện tích của hình quạt tròn giới hạn bởi cung MB của
nửa đường tròn đã cho theo . R
3) Một chiếc thùng hình trụ không có nắp đậy (hình bên) có chiều
cao 0,6 mét, đường kính đáy 0,2 mét.
a) Tính bán kính đáy của chiếc thùng đó.
b) Giả sử trong thùng có chứa nước, mực nước chiếm hai phần
ba chiều cao của thùng. Tính thể tích nước có trong chiếc thùng đó.
Bài 5. (0,5 điểm) Từ một tấm bìa hình bán nguyệt (hình
bên) có bán kính R 20 cm, người ta muốn cắt ra một hình
chữ nhật ABCD (hình vẽ). Tính độ dài đoạn AB sao cho
hình chữ nhật ABCD có diện tích lớn nhất.
----------HẾT----------
Cán bộ coi thi không giải thích gì thêm.
SỞ GIÁO DỤC VÀ ĐÀO TẠO
KỲ THI TUYỂN SINH LỚP 10 THPT ĐẮK LẮK
NĂM HỌC 2025 – 2026 ĐỀ MINH HỌA Môn thi: TOÁN
Hướng dẫn giải chi tiết Bài 1. (2,0 điểm)
1) Giải bất phương trình: x 2 3.
2) Tính giá trị của biểu thức: 36 25. 3) Cho hàm số: 2
y 2x có đồ thị P. Tìm các điểm thuộc đồ thị P có hoành độ
x 0, x 2.
2x y 5
4) Giải hệ phương trình: .
x y 2 Hướng dẫn giải
1) Giải bất phương trình: x 2 3 x 3 2 x 5.
Vậy bất phương trình có nghiệm là x 5.
2) Ta có: 36 25 65 1.
3) ⦁ Thay x 0 vào hàm số 2
y 2x , ta được: 2 y 20 0.
Suy ra điểm 0;0 thuộc đồ thị P.
⦁ Thay x 2 vào hàm số 2
y 2x , ta được: 2 y 22 8.
Suy ra điểm 2;8 thuộc đồ thị P.
2x y 5
4) Xét hệ phương trình: .
x y 2
Cộng từng vế hai phương trình của hệ phương trình đã cho, ta có: 3x 3, suy ra x 1.
Thay x 1 vào phương trình x y 2, ta được: 1 y 2
, suy ra y 3.
Vậy hệ phương trình có nghiệm duy nhất x; y 1; 3 .
Bộ 24 Đề minh họa thi vào 10 Toán năm 2025 - 2026 (có lời giải)
2.9 K
1.4 K lượt tải
350.000 ₫
MUA NGAY ĐỂ XEM TOÀN BỘ TÀI LIỆU
CÁCH MUA:
- B1: Gửi phí vào TK:
1133836868- CT TNHH DAU TU VA DV GD VIETJACK - Ngân hàng MB (QR) - B2: Nhắn tin tới Zalo VietJack Official ( nhấn vào đây ) để xác nhận thanh toán và tải tài liệu - giáo án
Liên hệ ngay Hotline hỗ trợ: 084 283 45 85
Chúng tôi đảm bảo đủ số lượng đề đã cam kết hoặc có thể nhiều hơn, tất cả có BẢN WORD, LỜI GIẢI CHI TIẾT và tải về dễ dàng.
Để tải tài liệu gốc về máy bạn click vào nút Tải Xuống ở trên!
Bộ tài liệu bao gồm: 15 tài liệu lẻ (mua theo bộ tiết kiệm đến 50%)
- Tailieugiaovien.com.vn giới thiệu Bộ 24 đề ôn thi gồm 4 đề minh họa vào 10 Toán năm 2025-2026 và 23 đề minh họa vào 10 Toán năm 2024-2025 từ các Sở/ Trường trên cả nước có lời giải chi tiết giúp Giáo viên có thêm tài liệu ôn thi Toán vào 10.
- File word có lời giải chi tiết 100%.
- Mua trọn bộ sẽ tiết kiệm hơn tải lẻ 50%.
Đánh giá
4.6 / 5(2875 )5
4
3
2
1
Trọng Bình
Tài liệu hay
Giúp ích cho tôi rất nhiều
Duy Trần
Tài liệu chuẩn
Rất thích tài liệu bên VJ soạn (bám sát chương trình dạy)
