ĐỀ SỐ 1
PHẦN I. TRẮC NGHIỆM KHÁCH QUAN
A. TRẮC NGHIỆM NHIỀU PHƯƠNG ÁN LỰA CHỌN. Thí sinh trả lời từ câu 1 đến câu 12.
Mỗi câu hỏi thí sinh chỉ chọn một phương án. 2
Câu 1. Cho a là một số thực dương, biểu thức 3
a a viết dưới dạng lũy thừa với số mũ hữu tỉ là 5 7 11 6 A. 6 a . B. 6 a . C. 6 a . D. 5 a .
Câu 2. Cho a 0,a 1, biểu thức D log a có giá trị bằng bao nhiêu? 3 a A. 3 . B. 3. C. 1 . D. 1 . 3 3
Câu 3. Nghiệm của phương trình log x 3 là 2 A. 9. B. 6 . C. 8. D. 3 . 2
Câu 4. Mệnh đề nào đúng trong các mệnh đề sau?
A. Góc giữa hai đường thẳng bằng góc giữa hai vectơ chỉ phương của hai đường thẳng đó.
B. Góc giữa hai đường thẳng là góc nhọn.
C. Góc giữa hai đường thẳng a và b bằng góc giữa hai đường thẳng a và c khi b song song với
c (hoặc b trùng với c ).
D. Góc giữa hai đường thẳng a và b bằng góc giữa hai đường thẳng a và c thì b song song với c .
Câu 5. Qua O cho trước, có bao nhiêu mặt phẳng vuông góc với đường thẳng cho trước? A. 1. B. Vô số. C. 3. D. 2 .
Câu 6. Mệnh đề nào sau đây là đúng?
A. Hai mặt phẳng vuông góc với nhau thì mọi đường thẳng nằm trong mặt phẳng này sẽ vuông góc với mặt phẳng kia.
B. Hai mặt phẳng phân biệt cùng vuông góc với một mặt phẳng thì vuông góc với nhau.
C. Hai mặt phẳng phân biệt cùng vuông góc với một mặt phẳng thì song song với nhau.
D. Hai mặt phẳng vuông góc với nhau thì mọi đường thẳng nằm trong mặt phẳng này và vuông góc
với giao tuyến của hai mặt phẳng sẽ vuông góc với mặt phẳng kia.
Câu 7. Cường độ một trận động đất M (richter) được cho bởi công thức M log A log A , với A là 0
biên độ rung chấn tối đa và A là một biên độ chuẩn (hằng số). Đầu thế kỷ 20, một trận động đất ở San 0
Francisco có cường độ 8 độ Richter. Trong cùng năm đó, trận động đất khác Nam Mỹ có biên độ mạnh
hơn gấp 4 lần. Cường độ của trận động đất ở Nam Mỹ gần với số nào sau đây nhất là A. 8,9 . B. 7,9 . C. 8,6. D. 8,4.
Câu 8. Cho đồ thị hai hàm số x
y a và y log x như hình vẽ b
A. a 1;b 1.
B. a 1;0 b 1.
C. 0 a 1;0 b 1. D. 0 a 1;b 1. x 1
Câu 9. Nghiệm của phương trình 1 2 125 x là 25 A. x 1. B. x 4 . C. 1 x . D. 1 x . 4 8
Câu 10. Cho hình chóp S.ABC có đáy ABC là tam giác vuông tại B, cạnh bên SA vuông góc với
đáy. Gọi H là chân đường cao kẻ từ A của tam giác SAB . Khẳng định nào dưới đây là sai?
A. SA BC .
B. AH BC .
C. AH AC .
D. AH SC .
Câu 11. Cho hình chóp S.ABC có SA ABC và đáy ABC là tam giác đều. Khẳng định nào sau đây sai?
A. SAB ABC .
B. Gọi H là trung điểm của cạnh BC . Khi đó AHS là góc giữa hai mặt phẳng SBC và ABC.
C. Góc giữa hai mặt phẳng SBC và SAC là ACB .
D. SAC ABC .
Câu 12. Cho hình chóp S.ABCD có đáy ABCD là hình chữ nhật, cạnh bên SA vuông góc với đáy.
Tính diện tích hình chiếu của SBC trên mặt phẳng SAC biết SA AB 2a; AD a . 2 2 A. 2 a 5 a 5 a 2 . B. . C. 2 a . D. . 2 5
B. TRẮC NGHIỆM ĐÚNG - SAI. Thí sinh trả lời từ câu 1 đến câu 2. Trong mỗi ý a), b), c), d) ở mỗi
câu, thí sinh chọn đúng hoặc sai.
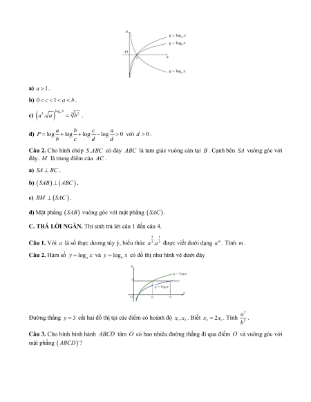
Câu 1. Cho các đồ thị hàm số y log x y x y x như hình vẽ. a ; logb ; logc a) a 1.
b) 0 c 1 a b . c) 3 log 3 2 . a b a a b .
d) log a log b log c log a P 0 với d 0 . b c d d
Câu 2. Cho hình chóp S.ABC có đáy ABC là tam giác vuông cân tại B . Cạnh bên SA vuông góc với
đáy. M là trung điểm của AC .
a) SA BC .
b) SAB ABC .
c) BM SAC .
d) Mặt phẳng SAB vuông góc với mặt phẳng SAC.
C. TRẢ LỜI NGẮN. Thí sinh trả lời câu 1 đến câu 4. 5 1
Câu 1. Với a là số thực dương tùy ý, biểu thức 3 3
a .a được viết dưới dạng m a . Tính m .
Câu 2. Hàm số y log x và y log x có đồ thị như hình vẽ dưới đây a b 3
Đường thẳng y 3 cắt hai đồ thị tại các điểm có hoành độ x , x . Biết x 2x . Tính a . 1 2 2 1 3 b
Câu 3. Cho hình bình hành ABCD tâm O có bao nhiêu đường thẳng đi qua điểm O và vuông góc với
mặt phẳng ABCD ?
Câu 4. Kim tự tháp Giza cao nguyên Tượng đài Butte Hệ sinh thái Badlands có dạng hình chóp tứ giác
đều. Giả sử cạnh đáy của kim tự tháp có chiều dài bằng 60 m và chiều cao của kim tự tháp bằng 10 3
m. Độ nghiêng của mặt bên kim tự tháp so với mặt đất là bao nhiêu độ? (xem mặt đất là mặt phẳng). PHẦN II. TỰ LUẬN
Câu 1. Trong một phòng thí nghiệm, người ta nuôi một loại vi khuẩn. Lúc đầu có 300 vi khuẩn. Sau
một giờ, số vi khuẩn là 705 con. Giả sử số vi khuẩn tăng lên theo công thức tăng trưởng mũ, số vi
khuẩn sau x giờ là . kx f x
C e . Tính số lượng vi khuẩn có được sau 5 giờ. (kết quả làm tròn đến hàng phần mười).
Câu 2. Giải bất phương trình log x 3. 2
Câu 3. Cho hình chóp S.ABCD có đáy ABCD là hình vuông. Hình chiếu vuông góc của S trên mặt
phẳng ABCD là trung điểm H của cạnh AB . Gọi M là trung điểm của cạnh AD . Chứng minh
CM vuông góc với mặt phẳng SHD .
5 đề thi Toán 11 Giữa kì 2 Chân trời sáng tạo cấu trúc mới
389
195 lượt tải
MUA NGAY ĐỂ XEM TOÀN BỘ TÀI LIỆU
CÁCH MUA:
- B1: Gửi phí vào TK:
1053587071
- NGUYEN VAN DOAN - Ngân hàng Vietcombank (QR) - B2: Nhắn tin tới Zalo VietJack Official ( nhấn vào đây ) để xác nhận thanh toán và tải tài liệu - giáo án
Liên hệ ngay Hotline hỗ trợ: 084 283 45 85
Chúng tôi đảm bảo đủ số lượng đề đã cam kết hoặc có thể nhiều hơn, tất cả có BẢN WORD, LỜI GIẢI CHI TIẾT và tải về dễ dàng.
Để tải tài liệu gốc về máy bạn click vào nút Tải Xuống ở trên!
Bộ tài liệu bao gồm: 5 tài liệu lẻ (mua theo bộ tiết kiệm đến 50%)
Thuộc bộ (mua theo bộ để tiết kiệm hơn):
- Tailieugiaovien.com.vn giới thiệu bộ 5 đề thi Toán 11 Giữa kì 2 Chân trời sáng tạo cấu trúc mới 2025 nhằm giúp Giáo viên có thêm tài liệu tham khảo ra đề thi Toán lớp 11.
- File word có lời giải chi tiết 100%.
- Mua trọn bộ sẽ tiết kiệm hơn tải lẻ 50%
Đánh giá
4.6 / 5(389 )5
4
3
2
1

Trọng Bình
Tài liệu hay
Giúp ích cho tôi rất nhiều

Duy Trần
Tài liệu chuẩn
Rất thích tài liệu bên VJ soạn (bám sát chương trình dạy)