CHƯƠNG 5: ĐẠO HÀM
BÀI 1. ĐỊNH NGHĨA VÀ Ý NGHĨA CỦA ĐẠO HÀM Mục tiêu Kiến thức
+ Hiểu khái niệm đạo hàm, đạo hàm bên trái, đạo hàm bên phải, đạo hàm trên khoảng, trên đoạn.
+ Nắm được quan hệ giữa sự tồn tại của đạo hàm và tính liên tục của hàm số.
+ Biết cách tìm hệ số góc của tiếp tuyến và viết phương trình tiếp tuyến của đồ thị hàm số tại một điểm.
+ Trình bày được ứng dụng đạo hàm vào giải bài toán vật lý. Kĩ năng
+ Tính được đạo hàm của hàm số tại một điểm, trên một khoảng bằng cách dùng định nghĩa.
+ Biết cách tìm hệ số góc của tiếp tuyến và viết phương trình tiếp tuyến của đồ thị hàm số tại một điểm.
+ Vận dụng được đạo hàm vào giải bài toán vật lí. Trang 1
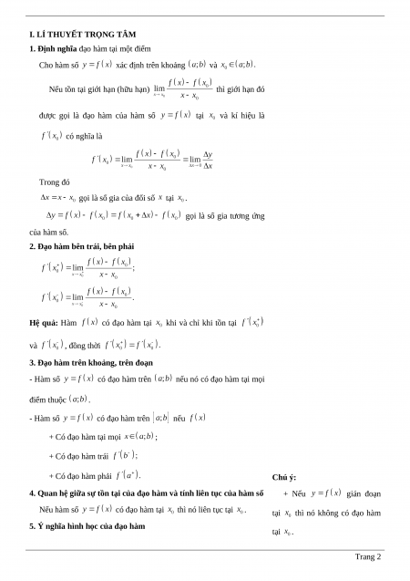
I. LÍ THUYẾT TRỌNG TÂM
1. Định nghĩa đạo hàm tại một điểm Cho hàm số xác định trên khoảng và
Nếu tồn tại giới hạn (hữu hạn) thì giới hạn đó
được gọi là đạo hàm của hàm số tại và kí hiệu là có nghĩa là Trong đó
gọi là số gia của đối số tại .
gọi là số gia tương ứng của hàm số.
2. Đạo hàm bên trái, bên phải Hệ quả: Hàm
có đạo hàm tại khi và chỉ khi tồn tại và , đồng thời
3. Đạo hàm trên khoảng, trên đoạn - Hàm số có đạo hàm trên
nếu nó có đạo hàm tại mọi điểm thuộc . - Hàm số có đạo hàm trên nếu + Có đạo hàm tại mọi ; + Có đạo hàm trái + Có đạo hàm phải Chú ý:
4. Quan hệ giữa sự tồn tại của đạo hàm và tính liên tục của hàm số + Nếu gián đoạn Nếu hàm số
có đạo hàm tại thì nó liên tục tại .
tại thì nó không có đạo hàm
5. Ý nghĩa hình học của đạo hàm tại . Trang 2 Đạo hàm của hàm số
tại điểm là hệ số góc của tiếp + Nếu liên tục tại tuyến
của đồ thị hàm số tại điểm
có thể không có đạo hàm tại
Phương trình tiếp tuyến .
Phương trình tiếp tuyến của đồ thị hàm số tại điểm là trong đó
6. Ý nghĩa vật lí của đạo hàm + Vận tốc tức thời : + Gia tốc:
+ Cường độ dòng điện tức thời:
SƠ ĐỒ HỆ THỐNG HÓA Đạo hàm tại một điểm ĐẠO Đạo hàm trái HÀM Đạo hàm một bên
Đạo hàm trên một khoảng
Hàm số có đạo hàm trên Đạo hàm phải
nếu nó có đạo hàm tại mọi điểm thuộc
Đạo hàm trên một đoạn
Hàm số có đạo hàm trên nếu Trang 3
Phương trình tiếp tuyến của đồ thị hàm số tại điểm là Ý nghĩa hình học
là hệ số góc của tiếp tuyến Ý NGHĨA CỦA
Vận tốc tức thời ĐẠO HÀM Ý nghĩa vật lí Gia tốc tức thời
Cường độ tức thời
II. CÁC DẠNG BÀI TẬP
Dạng 1. Dùng định nghĩa tính đạo hàm
Bài toán 1. Dùng định nghĩa tính đạo hàm hàm số tại một điểm Phương pháp giải
Ví dụ. Dùng định nghĩa tính đạo hàm của hàm số tại . Bước 1: Giả sử
là số gia của đối số Hướng dẫn giải tại điểm . Tính Giả sử
là số gia của đối số tại . Ta có:
Bước 2: Lập tỉ số Bước 3: Tìm Tỉ số . Trang 4
Chuyên đề Đại số và giải tích Toán 11 năm 2023 - Chương 5: Đạo hàm
459
230 lượt tải
MUA NGAY ĐỂ XEM TOÀN BỘ TÀI LIỆU
CÁCH MUA:
- B1: Gửi phí vào TK:
1053587071
- NGUYEN VAN DOAN - Ngân hàng Vietcombank (QR) - B2: Nhắn tin tới Zalo VietJack Official ( nhấn vào đây ) để xác nhận thanh toán và tải tài liệu - giáo án
Liên hệ ngay Hotline hỗ trợ: 084 283 45 85
Tài liệu được cập nhật liên tục trong gói này từ nay đến hết tháng 6/2023. Chúng tôi đảm bảo đủ số lượng đề đã cam kết hoặc có thể nhiều hơn, tất cả có BẢN WORD, LỜI GIẢI CHI TIẾT và tải về dễ dàng.
Để tải tài liệu gốc về máy bạn click vào nút Tải Xuống ở trên!
Thuộc bộ (mua theo bộ để tiết kiệm hơn):
- Tailieugiaovien.com.vn giới thiệu bộ chuyên đề Đại số và giải tích môn Toán 11 năm 2023 - Chương 5: Đạo bao gồm: Bài 1: Định nghĩa và ý nghĩa của đạo hàm; Bài 2: Quy tắc đạo ; Bài 3: Vi phân - Đạo hàm cấp cao cơ bản mới nhất năm 2022 - 2023 nhằm giúp Giáo viên có thêm tài liệu tham khảo chuyên đề luyện thi Toán lớp 11.
- File word có lời giải chi tiết 100%.
- Mua trọn bộ sẽ tiết kiệm hơn tải lẻ 50%.
Đánh giá
4.6 / 5(459 )5
4
3
2
1

Trọng Bình
Tài liệu hay
Giúp ích cho tôi rất nhiều

Duy Trần
Tài liệu chuẩn
Rất thích tài liệu bên VJ soạn (bám sát chương trình dạy)
TÀI LIỆU BỘ BÁN CHẠY MÔN Toán Học
Xem thêmTÀI LIỆU BỘ BÁN CHẠY Lớp 11
Xem thêmTài liệu bộ mới nhất

CHƯƠNG 5: ĐẠO HÀM
BÀI 1. ĐỊNH NGHĨA VÀ Ý NGHĨA CỦA ĐẠO HÀM
Mục tiêu
Kiến thức
+ Hiểu khái niệm đạo hàm, đạo hàm bên trái, đạo hàm bên phải, đạo hàm trên khoảng, trên đoạn.
+ Nắm được quan hệ giữa sự tồn tại của đạo hàm và tính liên tục của hàm số.
+ Biết cách tìm hệ số góc của tiếp tuyến và viết phương trình tiếp tuyến của đồ thị hàm số tại một
điểm.
+ Trình bày được ứng dụng đạo hàm vào giải bài toán vật lý.
Kĩ năng
+ Tính được đạo hàm của hàm số tại một điểm, trên một khoảng bằng cách dùng định nghĩa.
+ Biết cách tìm hệ số góc của tiếp tuyến và viết phương trình tiếp tuyến của đồ thị hàm số tại
một điểm.
+ Vận dụng được đạo hàm vào giải bài toán vật lí.
Trang 1

I. LÍ THUYẾT TRỌNG TÂM
1. Định nghĩa đạo hàm tại một điểm
Cho hàm số xác định trên khoảng và
Nếu tồn tại giới hạn (hữu hạn) thì giới hạn đó
được gọi là đạo hàm của hàm số tại và kí hiệu là
có nghĩa là
Trong đó
gọi là số gia của đối số tại .
gọi là số gia tương ứng
của hàm số.
2. Đạo hàm bên trái, bên phải
Hệ quả: Hàm có đạo hàm tại khi và chỉ khi tồn tại
và , đồng thời
3. Đạo hàm trên khoảng, trên đoạn
- Hàm số có đạo hàm trên nếu nó có đạo hàm tại mọi
điểm thuộc .
- Hàm số có đạo hàm trên nếu
+ Có đạo hàm tại mọi ;
+ Có đạo hàm trái
+ Có đạo hàm phải
4. Quan hệ giữa sự tồn tại của đạo hàm và tính liên tục của hàm số
Nếu hàm số có đạo hàm tại thì nó liên tục tại .
5. Ý nghĩa hình học của đạo hàm
Chú ý:
+ Nếu gián đoạn
tại thì nó không có đạo hàm
tại .
Trang 2

Đạo hàm của hàm số tại điểm là hệ số góc của tiếp
tuyến của đồ thị hàm số tại điểm
Phương trình tiếp tuyến
Phương trình tiếp tuyến của đồ thị hàm số tại điểm
là trong đó
6. Ý nghĩa vật lí của đạo hàm
+ Vận tốc tức thời :
+ Gia tốc:
+ Cường độ dòng điện tức thời:
+ Nếu liên tục tại
có thể không có đạo hàm tại
.
SƠ ĐỒ HỆ THỐNG HÓA
Trang 3
Đạo hàm trên một đoạn
Hàm số có đạo hàm trên nếu
Đạo hàm trên một khoảng
Hàm số có đạo hàm trên
nếu nó có đạo hàm tại mọi
điểm thuộc
ĐẠO
HÀM
Đạo hàm tại
một điểm
Đạo hàm một bên
Đạo hàm phải
Đạo hàm trái

II. CÁC DẠNG BÀI TẬP
Dạng 1. Dùng định nghĩa tính đạo hàm
Bài toán 1. Dùng định nghĩa tính đạo hàm hàm số tại một điểm
Phương pháp giải
Bước 1: Giả sử là số gia của đối số
tại điểm . Tính
Bước 2: Lập tỉ số
Bước 3: Tìm
Ví dụ. Dùng định nghĩa tính đạo hàm của hàm số
tại .
Hướng dẫn giải
Giả sử là số gia của đối số tại .
Ta có:
Tỉ số .
Trang 4
Ý NGHĨA
CỦA
ĐẠO
HÀM
Ý nghĩa hình học
Ý nghĩa vật lí
Phương trình tiếp tuyến của đồ thị hàm
số tại điểm là
là hệ số góc của tiếp tuyến
Vận tốc tức thời
Gia tốc tức thời
Cường độ tức thời

Vậy
+ Nếu tồn tại hữu hạn thì tại hàm
số có đạo hàm
+ Nếu không tồn tại hữu hạn thì tại
hàm số không có đạo hàm.
Ví dụ mẫu
Ví dụ 1. Dùng định nghĩa tính đạo hàm của hàm số tại .
Hướng dẫn giải
Giả sử là số gia của đối số tại .
Ta có:
Do đó
Vậy
Ví dụ 2. Dùng định nghĩa tính đạo hàm của hàm số tại
Hướng dẫn giải
Giả sử là số gia của đối số tại
Ta có:
.
Vậy
Trang 5