Đề cương cuối học kì II
Môn Toán lớp 11 – Chân trời sáng tạo I. NỘI DUNG ÔN TẬP
1. Hàm số mũ và hàm số lôgarit
Bài 1: Phép tính lũy thừa
- Lũy thừa với số mũ nguyên. - Căn bậc n.
- Lũy thừa với số mũ hữu tỉ.
- Lũy thừa với số mũ thực.
- Tính chất của phép tính lũy thừa.
Bài 2: Phép tính Lôgarit
- Khái niệm về lôgarit.
- Tính lôgarit bằng máy tính cầm tay.
- Các tính chất của lôgarit.
- Công thức đổi cơ số.
Bài 3: Hàm số mũ và hàm số lôgarit - Hàm số mũ. - Hàm số lôgarit.
Bài 4: Phương trình và bất phương trình mũ và lôgarit
- Phương trình mũ, phương trình lôgarit.
- Bất phương trình mũ, bất phương trình lôgarit. 2. Đạo hàm Bài 1: Đạo hàm - Đạo hàm.
- Ý nghĩa hình học của đạo hàm. - Số e.
Bài 2: Các quy tắc tính đạo hàm
- Đạo hàm của hàm số y = xn.
- Đạo hàm của hàm số y x .
- Đạo hàm của hàm số lượng giác.
- Đạo hàm của hàm số mũ và hàm số lôgarit.
- Đạo hàm của tổng, hiệu, tích, thương của hai hàm số.
- Đạo hàm của hàm hợp. - Đạo hàm cấp hai.
3. Quan hệ vuông góc trong không gian
Bài 1: Hai đường thẳng vuông góc
- Góc giữa hai đường thẳng.
- Hai đường thẳng vuông góc.
Bài 2: Đường thẳng vuông góc với mặt phẳng
- Đường thẳng vuông góc với mặt phẳng.
- Liên hệ giữa tính song song và tính vuông góc của đường thẳng và mặt phẳng. - Phép chiếu vuông góc.
Bài 3: Hai mặt phẳng vuông góc
- Góc giữa hai mặt phẳng.
- Hai mặt phẳng vuông góc.
- Tính chất cơ bản về hai mặt phẳng vuông góc.
- Hình lăng trụ đứng, hình hộp chữ nhật, hình lập phương.
- Hình chóp đều, hình chóp cụt đều.
Bài 4: Khoảng cách trong không gian
- Khoảng cách từ một điểm đến một đường thẳng, một mặt phẳng.
- Khoảng cách giữa các đường thẳng và mặt phẳng song song, giữa hai mặt phẳng song song.
- Khoảng cách giữa hai đường thẳng chéo nhau.
- Công thức tính thể tích của khối chóp, khối lăng trụ, khối hộp.
Bài 5: Góc giữa đường thẳng và mặt phẳng. Góc nhị diện
- Góc giữa đường thẳng và mặt phẳng.
- Góc nhị diện và góc phẳng nhị diện. 4. Xác suất
Bài 1: Biến cố giao và quy tắc nhân xác suất - Biến cố giao. - Hai biến cố xung khắc. - Biến cố độc lập.
- Quy tắc nhân xác suất của hai biến cố độc lập.
Bài 2: Biến cố hợp và quy tắc cộng xác suất - Biến cố hợp.
- Quy tắc cộng xác suất. II. BÀI TẬP ÔN LUYỆN
PHẦN I. TRẮC NGHIỆM KHÁCH QUAN
A. TRẮC NGHIỆM NHIỀU LỰA CHỌN
1. Hàm số mũ và hàm số lôgarit
Bài 1: Phép tính lũy thừa Bài 1. Biết rằng 3 2 . . n x x
x x với x 0 . Tìm n. A. n 2 . B. 2 n . C. 4 n . D. n 3. 3 3
a .a 1 3 2 3 1 3
Bài 2. Cho biểu thức P
, với a 0 . Mệnh đề nào sau đây là đúng? 1 3 a A. 3 P a . B. 1 P 1 . C. P a . D. P . a 3 a
Bài 3. Cho 2x 5. Giá trị của biểu thức x 1 2 4 2 x T bằng: A. 504 . B. 104 . C. 104 . D. 504 . 5 5 25 25
Bài 4. Một khu rừng có trữ lượng gỗ 5
4.10 mét khối. Biết tốc độ sinh trưởng của các cây trong rừng
đó là 4% mỗi năm. Hỏi sau 10 năm khu rừng đó có số mét khối gỗ gần nhất với số nào? A. 5 5,9.10 . B. 5 5,92.10 . C. 5 5,93.10 . D. 5 5,94.10 .
Bài 5. Chị Phương Anh vay trả góp ngân hàng MSB số tiền 500 triệu đồng với lãi suất
10,8 %/năm, mỗi tháng trả 15 triệu đồng. Sau ít nhất bao nhiêu tháng thì chị Phương Anh trả hết nợ? A. 39 tháng. B. 41 tháng. C. 40 tháng. D. 42 tháng.
Bài 2: Phép tính Lôgarit
Bài 1. Cho a 0;a 1. Tìm mệnh đề đúng trong các mệnh đề sau? A. log n x n x.
B. log x có nghĩa x . a loga a C. log a . D. log x y x y x . a . loga .loga ; 0 a 0
Bài 2. Cho a là số thực dương bất kì. Tìm khẳng định đúng trong các khẳng định sau: A. 3 1
log a log a .
B. log 3a 3log a . 3 C. a 1 log 3 log a . D. 3
log a 3log a . 3
Bài 3. Cho a,b 0 , a 1 thỏa log b . Tính 3 P log b . a 3 2 a A. P 18. B. P 2 . C. 9 P . D. 1 P . 2 2
Bài 4. Nếu log 4 a thì log 4000 bằng A. 3 a . B. 4 b . C. 3 2a . D. 4 2a .
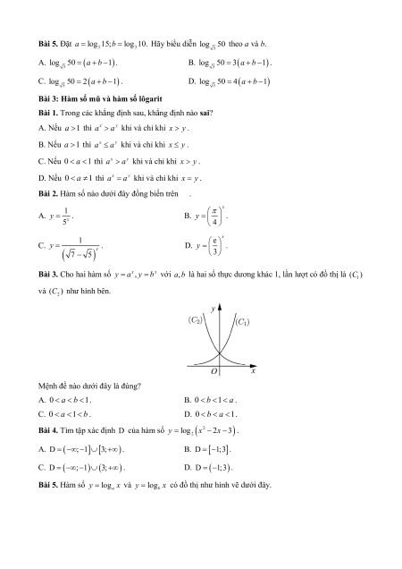
Bài 5. Đặt a log 15;b log 10. Hãy biểu diễn log 50 theo a và b. 3 3 3
A. log 50 a b 1 .
B. log 50 3a b 1 . 3 3
C. log 50 2a b 1 .
D. log 50 4a b 1 3 3
Bài 3: Hàm số mũ và hàm số lôgarit
Bài 1. Trong các khẳng định sau, khẳng định nào sai?
A. Nếu a 1 thì x y
a a khi và chỉ khi x y .
B. Nếu a 1 thì x y
a a khi và chỉ khi x y .
C. Nếu 0 a 1 thì x y
a a khi và chỉ khi x y .
D. Nếu 0 a 1 thì x y
a a khi và chỉ khi x y .
Bài 2. Hàm số nào dưới đây đồng biến trên . x A. 1 y . B. y . 5x 4 x C. 1 y . D. e y . x 7 5 3
Bài 3. Cho hai hàm số x , x
y a y b với a,b là hai số thực dương khác 1, lần lượt có đồ thị là (C ) 1
và (C ) như hình bên. 2
Mệnh đề nào dưới đây là đúng?
A. 0 a b 1.
B. 0 b 1 a .
C. 0 a 1 b .
D. 0 b a 1.
Bài 4. Tìm tập xác định D của hàm số y log 2 x 2x 3 . 2 A. D ; 1 3;. B. D 1; 3 . C. D ; 1 3; . D. D 1 ;3 .
Bài 5. Hàm số y log x và y log x có đồ thị như hình vẽ dưới đây. a b
Đề cương ôn tập cuối học kì 2 Toán 11 Chân trời sáng tạo
676
338 lượt tải
80.000 ₫
MUA NGAY ĐỂ XEM TOÀN BỘ TÀI LIỆU
CÁCH MUA:
- B1: Gửi phí vào TK:
1053587071
- NGUYEN VAN DOAN - Ngân hàng Vietcombank (QR) - B2: Nhắn tin tới Zalo VietJack Official ( nhấn vào đây ) để xác nhận thanh toán và tải tài liệu - giáo án
Liên hệ ngay Hotline hỗ trợ: 084 283 45 85
Chúng tôi đảm bảo đủ số lượng đề đã cam kết hoặc có thể nhiều hơn, tất cả có BẢN WORD, LỜI GIẢI CHI TIẾT và tải về dễ dàng.
Để tải tài liệu gốc về máy bạn click vào nút Tải Xuống ở trên!
- Tailieugiaovien.com.vn giới thiệu bộ đề cương cuối kì 2 có đúng sai, trả lời ngắn Toán 11 Chân trời sáng tạo mới nhất nhằm giúp Giáo viên có thêm tài liệu tham khảo ra đề thi Toán 11.
- File word có lời giải chi tiết 100%.
- Mua trọn bộ sẽ tiết kiệm hơn tải lẻ 50%.
Đánh giá
4.6 / 5(676 )5
4
3
2
1

Trọng Bình
Tài liệu hay
Giúp ích cho tôi rất nhiều

Duy Trần
Tài liệu chuẩn
Rất thích tài liệu bên VJ soạn (bám sát chương trình dạy)