SỞ GIÁO DỤC & ĐÀO TẠO …
KIỂM TRA GIỮA HỌC KÌ 1 TRƯỜNG …
MÔN: TOÁN – LỚP 11 MÃ ĐỀ MT104 Thời gian: 90 phút
(không kể thời gian giao đề)
PHẦN I. TRẮC NGHIỆM KHÁCH QUAN (7,0 điểm)
Hãy khoanh tròn vào phương án đúng duy nhất trong mỗi câu dưới đây:
Câu 1. Nếu một góc lượng giác có số đo là o 45
thì số đo radian của nó là A. ; B. ; C. ; D. . 2 4 4 2
Câu 2. Điểm cuối của góc lượng giác ở góc phần tư thứ mấy nếu sin , tan trái dấu? A. Thứ I; B. Thứ II hoặc IV; C. Thứ II hoặc III; D. Thứ I hoặc IV.
Câu 3. Giả sử các biểu thức đều có nghĩa. Công thức nào sau đây là đúng? 1 1 A. 2 1 cot x ; B. 2 1 tan x ; 2 cos x 2 sin x C. tan . x cot x 1 ; D. 2 2
sin x cos x 1 .
Câu 4. Trong mặt phẳng tọa độ Oxy, trên đường tròn lượng giác gọi điểm M là điểm
biểu diễn của góc
. Lấy điểm N đối xứng với M qua gốc tọa độ. Khi đó N là 3
điểm biểu diễn của góc có số đo bằng bao nhiêu? A. ; B. ; C. ; D. . 3 3 6 3
Câu 5. Cho góc thỏa mãn 5 sin cos
. Giá trị của P sin.cos là 4 9 9 9 1 A. P ; B. P ; C. P ; D. P . 16 32 8 8 4
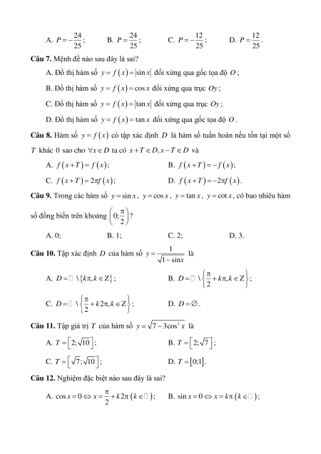
Câu 6. Cho góc thỏa mãn
và sin . Giá trị của biểu thức 2 5
P sin2 là 24 24 12 12 A. P ; B. P ; C. P ; D. P . 25 25 25 25
Câu 7. Mệnh đề nào sau đây là sai?
A. Đồ thị hàm số y f x sin x đối xứng qua gốc tọa độ O ;
B. Đồ thị hàm số y f x cos x đối xứng qua trục Oy ;
C. Đồ thị hàm số y f x tan x đối xứng qua trục Oy ;
D. Đồ thị hàm số y f x tan x đối xứng qua gốc tọa độ O .
Câu 8. Hàm số y f x có tập xác định D là hàm số tuần hoàn nếu tồn tại một số
T khác 0 sao cho x
D ta có x T D, x T D và
A. f x T f x ;
B. f x T f x;
C. f x T 2 f x;
D. f x T 2 f x .
Câu 9. Trong các hàm số y sin x , y cos x , y tan x , y cot x , có bao nhiêu hàm
số đồng biến trên khoảng 0; ? 2 A. 0; B. 1; C. 2; D. 3.
Câu 10. Tập xác định D của hàm số 1 y là 1 sinx A. D \ k , k Z; B. D \ k , k Z; 2 C. D \ k2 , k Z ; D. D . 2
Câu 11. Tập giá trị T của hàm số 2
y 7 3cos x là A. T 2; 10 ; B. T 2; 7 ; C. T 7; 10 ; D. T 0; 1 .
Câu 12. Nghiệm đặc biệt nào sau đây là sai?
A. cos x 0 x
k2 k ;
B. sin x 0 x k k ; 2
C. sin x 1 x
k2 k ; D. sin x 1
x k2 k . 2 2 3 3
Câu 13. Cho đồ thị hàm số y tan x trên ; như hình vẽ. 2 2
Có bao nhiêu giá trị của x ;
thỏa mãn tan x 0 ? 2 2 A. 0; B. 1; C. 2; D. 3.
Câu 14. Phương trình sin 2x sin 3x có nghiệm là 2 A. x k , k ; B. x k 2 , k ; 5 5 2
C. x k 2 và x k2 , k ;
D. x k 2 và x k , k . 5 5 5
Câu 15. Phương trình 3 cot 3x có nghiệm là 3 A. x k , k ; B. x k , k ; 3 9 C. x k2 , k ; D. x k ,k . 9 9 3 Câu 16. Với * n
, cho dãy số u các số tự nhiên chia hết cho 3 : 0, 3 , 6, 9 , … n
Số hạng đầu tiên của dãy số u là n A. u 6; B. u 0; C. u 3 ; D. u 9 . 1 1 1 1 Câu 17. Với * n
, trong các dãy số u cho bởi số hạng tổng quát u sau, dãy số n n nào là dãy số giảm ? 1 n A. u ; B. 2 u n ; C. u ; D. 2
u n 6n 3 . n 3 n n n n Câu 18. Với * n
, cho dãy số u gồm tất cả các số nguyên dương chia 3 dư 2 n
theo thứ tự tăng dần. Số hạng tổng quát của dãy số này là 3n 2 A. u ; B. u 1 ;
C. u 3n 2 ;
D. u 3n 2 . n 2 n n n n
Câu 19. Cho cấp số cộng u với u 2 và u 8. Công sai của cấp số cộng đã cho n 1 2 bằng A. 6 ; B. 4; C. 6; D. 10. 1
Câu 20. Cho cấp số cộng có u 3
và d . Khẳng định nào sau đây là đúng? 1 2 1 1 A. u 3 n ; B. u 3 n ; n 1 n 1 2 4 1 1 C. u 3 n ; D. u 3 n . n 1 n 1 2 4
Câu 21. Bà chủ quán trà sữa X muốn trang trí cho đẹp nên quyết định thuê nhân công
xây một bức tường bằng gạch với xi măng (như hình vẽ bên dưới), biết hàng dưới
cùng có 500 viên, mỗi hàng tiếp theo đều có ít hơn hàng trước 1 viên và hàng trên
cùng có 1 viên. Hỏi số gạch cần dùng để hoàn thành bức tường trên là bao nhiêu
viên? (hình ảnh dưới đây là hình ảnh minh họa hàng gạch dưới cùng có 5 viên) A. 25 250 ; B. 250 500 ; C. 12 550 ; D. 125 250 .
Câu 22. Trong các khẳng định sau, khẳng định nào đúng? A. Nếu 3 điểm , A ,
B C là 3 điểm chung của 2 mặt phẳng P và Q thì , A , B C thẳng hàng;
Đề thi giữa kì 1 Toán 11 Cánh diều (đề 4)
604
302 lượt tải
MUA NGAY ĐỂ XEM TOÀN BỘ TÀI LIỆU
CÁCH MUA:
- B1: Gửi phí vào TK:
1053587071
- NGUYEN VAN DOAN - Ngân hàng Vietcombank (QR) - B2: Nhắn tin tới Zalo VietJack Official ( nhấn vào đây ) để xác nhận thanh toán và tải tài liệu - giáo án
Liên hệ ngay Hotline hỗ trợ: 084 283 45 85
Chúng tôi đảm bảo đủ số lượng đề đã cam kết hoặc có thể nhiều hơn, tất cả có BẢN WORD, LỜI GIẢI CHI TIẾT và tải về dễ dàng.
Để tải tài liệu gốc về máy bạn click vào nút Tải Xuống ở trên!
Thuộc bộ (mua theo bộ để tiết kiệm hơn):
- Tailieugiaovien.com.vn giới thiệu bộ 10 đề giữa kì 1 môn Toán 11 Cánh diều mới nhất năm 2023 - 2024 nhằm giúp Giáo viên có thêm tài liệu tham khảo ra đề thi Toán lớp 11.
- File word có lời giải chi tiết 100%.
- Mua trọn bộ sẽ tiết kiệm hơn tải lẻ 50%.
Đánh giá
4.6 / 5(604 )5
4
3
2
1

Trọng Bình
Tài liệu hay
Giúp ích cho tôi rất nhiều

Duy Trần
Tài liệu chuẩn
Rất thích tài liệu bên VJ soạn (bám sát chương trình dạy)
TÀI LIỆU BỘ BÁN CHẠY MÔN Toán Học
Xem thêmTÀI LIỆU BỘ BÁN CHẠY Lớp 11
Xem thêmTài liệu bộ mới nhất

SỞ GIÁO DỤC & ĐÀO TẠO …
TRƯỜNG …
MÃ ĐỀ MT104
KIỂM TRA GIỮA HỌC KÌ 1
MÔN: TOÁN – LỚP 11
Thời gian: 90 phút
(không kể thời gian giao đề)
PHẦN I. TRẮC NGHIỆM KHÁCH QUAN (7,0 điểm)
Hãy khoanh tròn vào phương án đúng duy nhất trong mỗi câu dưới đây:
Câu 1. Nếu một góc lượng giác có số đo là
o
45
thì số đo radian của nó là
A.
2
; B.
4
; C.
4
; D.
2
.
Câu 2. Điểm cuối của góc lượng giác
ở góc phần tư thứ mấy nếu
sin ,tan
trái
dấu?
A. Thứ I; B. Thứ II hoặc IV;
C. Thứ II hoặc III; D. Thứ I hoặc IV.
Câu 3. Giả sử các biểu thức đều có nghĩa. Công thức nào sau đây là đúng?
A.
2
2
1
1 cot
cos
x
x
; B.
2
2
1
1 tan
sin
x
x
;
C.
tan .cot 1xx
; D.
22
sin cos 1xx
.
Câu 4. Trong mặt phẳng tọa độ
,Oxy
trên đường tròn lượng giác gọi điểm
M
là điểm
biểu diễn của góc
3
. Lấy điểm
N
đối xứng với
M
qua gốc tọa độ. Khi đó
N
là
điểm biểu diễn của góc có số đo bằng bao nhiêu?
A.
3
; B.
3
; C.
6
; D.
3
.
Câu 5. Cho góc
thỏa mãn
5
sin cos
4
. Giá trị của
sin .cosP
là
A.
9
16
P
; B.
9
32
P
; C.
9
8
P
; D.
1
8
P
.
Câu 6. Cho góc
thỏa mãn
2
và
4
sin
5
. Giá trị của biểu thức
sin2P
là

A.
24
25
P
; B.
24
25
P
; C.
12
25
P
; D.
12
25
P
.
Câu 7. Mệnh đề nào sau đây là sai?
A. Đồ thị hàm số
siny f x x
đối xứng qua gốc tọa độ
O
;
B. Đồ thị hàm số
cosy f x x
đối xứng qua trục
Oy
;
C. Đồ thị hàm số
tany f x x
đối xứng qua trục
Oy
;
D. Đồ thị hàm số
tany f x x
đối xứng qua gốc tọa độ
O
.
Câu 8. Hàm số
y f x
có tập xác định
D
là hàm số tuần hoàn nếu tồn tại một số
T
khác
0
sao cho
xD
ta có
,x T D x T D
và
A.
f x T f x
; B.
f x T f x
;
C.
2f x T f x
; D.
2f x T f x
.
Câu 9. Trong các hàm số
sinyx
,
cosyx
,
tanyx
,
cotyx
, có bao nhiêu hàm
số đồng biến trên khoảng
0;
2
?
A. 0; B. 1; C. 2; D. 3.
Câu 10. Tập xác định
D
của hàm số
1
1 sin
y
x
là
A.
\,D k k Z
; B.
\,
2
D k k
Z
;
C.
\ 2 ,
2
D k k
Z
; D.
D
.
Câu 11. Tập giá trị
T
của hàm số
2
7 3cosyx
là
A.
2; 10T
; B.
2; 7T
;
C.
7; 10T
; D.
0;1T
.
Câu 12. Nghiệm đặc biệt nào sau đây là sai?
A.
cos 0 2
2
x x k k
; B.
sin 0x x k k
;

C.
sin 1 2
2
x x k k
; D.
sin 1 2
2
x x k k
.
Câu 13. Cho đồ thị hàm số
tanyx
trên
33
;
22
như hình vẽ.
Có bao nhiêu giá trị của
;
22
x
thỏa mãn
tan 0x
?
A. 0; B. 1; C. 2; D. 3.
Câu 14. Phương trình
sin2 sin3xx
có nghiệm là
A.
2
,
55
x k k
; B.
2,x k k
;
C.
2xk
và
2,
5
x k k
; D.
2xk
và
2
,
55
x k k
.
Câu 15. Phương trình
3
cot3
3
x
có nghiệm là
A.
,
3
x k k
; B.
,
9
x k k
;
C.
2,
9
x k k
; D.
,
93
x k k
.
Câu 16. Với
*
n
, cho dãy số
n
u
các số tự nhiên chia hết cho
3
:
0
,
3
,
6
,
9
, …
Số hạng đầu tiên của dãy số
n
u
là
A.
1
6u
; B.
1
0u
; C.
1
3u
; D.
1
9u
.

Câu 17. Với
*
n
, trong các dãy số
n
u
cho bởi số hạng tổng quát
n
u
sau, dãy số
nào là dãy số giảm ?
A.
1
n
u
n
; B.
2
n
un
; C.
3
n
n
u
; D.
2
63
n
u n n
.
Câu 18. Với
*
n
, cho dãy số
n
u
gồm tất cả các số nguyên dương chia
3
dư
2
theo thứ tự tăng dần. Số hạng tổng quát của dãy số này là
A.
3
2
n
n
u
; B.
2
1
n
u
n
; C.
32
n
un
; D.
32
n
un
.
Câu 19. Cho cấp số cộng
n
u
với
1
2u
và
2
8u
. Công sai của cấp số cộng đã cho
bằng
A.
6
; B. 4; C. 6; D. 10.
Câu 20. Cho cấp số cộng có
1
3u
và
1
2
d
. Khẳng định nào sau đây là đúng?
A.
1
31
2
n
un
; B.
1
31
4
n
un
;
C.
1
31
2
n
un
; D.
1
31
4
n
un
.
Câu 21. Bà chủ quán trà sữa X muốn trang trí cho đẹp nên quyết định thuê nhân công
xây một bức tường bằng gạch với xi măng (như hình vẽ bên dưới), biết hàng dưới
cùng có 500 viên, mỗi hàng tiếp theo đều có ít hơn hàng trước 1 viên và hàng trên
cùng có 1 viên. Hỏi số gạch cần dùng để hoàn thành bức tường trên là bao nhiêu
viên? (hình ảnh dưới đây là hình ảnh minh họa hàng gạch dưới cùng có 5 viên)
A.
25 250
; B.
250 500
; C.
12 550
; D.
125 250
.
Câu 22. Trong các khẳng định sau, khẳng định nào đúng?
A. Nếu
3
điểm
,,A B C
là
3
điểm chung của 2 mặt phẳng
P
và
Q
thì
,,A B C
thẳng hàng;
B. Nếu
,,A B C
thẳng hàng và
P
,
Q
có điểm chung là
,A
thì
,BC
cũng là
2
điểm chung của
P
và
Q
;
C. Nếu
3
điểm
,,A B C
là
3
điểm chung của
2
mặt phẳng
P
và
Q
phân
biệt thì
,,A B C
không thẳng hàng;
D. Nếu
,,A B C
thẳng hàng và
,AB
là
2
điểm chung của
P
và
Q
thì
C
cũng là điểm chung của
P
và
Q
.
Câu 23. Cho bốn điểm
, , ,A B C D
không đồng phẳng. Giao tuyến của hai mặt phẳng
ABC
và
ACD
là
A.
AB
; B.
AC
; C.
BC
; D.
AD
.
Câu 24. Một hình chóp có đáy là ngũ giác thì số cạnh của hình chóp là
A. 5 cạnh; B. 6 cạnh; C. 9 cạnh; D. 10 cạnh.
Câu 25. Khẳng định nào sau đây là đúng về hình tứ diện đều?
A. Mặt đáy là hình thoi; B. Mặt đáy là hình vuông;
C. Mặt bên là tam giác cân; D. Mặt bên luôn là tam giác đều.
Câu 26. Cho tứ diện
.ABCD
Gọi
E
và
F
lần lượt là trung điểm của
AB
và
CD
;
G
là trọng tâm tam giác
.BCD
Giao điểm của đường thẳng
EG
và mặt phẳng
ACD
là
A. Điểm
F
;
B. Giao điểm của đường thẳng
EG
và
AF
;
C. Giao điểm của đường thẳng
EG
và
AC
;
D. Giao điểm của đường thẳng
EG
và
CD
.
Câu 27. Cho tứ diện
.ABCD
Gọi
, MN
lần lượt là trung điểm của
AB
và
.CD
Mặt
phẳng
qua
MN
cắt
, AD BC
lần lượt tại
P
và
.Q
Biết
MP
cắt
NQ
tại
.I
Ba
điểm nào sau đây thẳng hàng?
A.
, , I A C
; B.
, , I B D
; C.
, , I A B
; D.
, , I C D
.
Câu 28. Cho đường thẳng
a
chứa trong mặt phẳng
P
. Có bao nhiêu đường thẳng
chứa trong
P
và song song với đường thẳng
a
?
A. 0; B. 1; C. 2; D. Vô số.
Câu 29. Trong không gian cho các mệnh đề sau:
(I) Hai đường thẳng phân biệt cùng nằm trong một mặt phẳng thì song song với nhau.
(II) Hai mặt phẳng phân biệt chứa hai đường thẳng song song cắt nhau theo giao
tuyến song song với hai đường thẳng đó.
(III) Nếu ba mặt phẳng đôi một cắt nhau theo ba giao tuyến phân biệt thì ba giao
tuyến ấy song song với nhau.
(IV) Qua điểm
A
không thuộc đường thẳng
d
, kẻ được đúng một đường thẳng song
song với
d
.
Số mệnh đề đúng là
A. 0; B. 1; C. 2; D. 3.
Câu 30. Trong không gian, cho ba đường thẳng
,,abc
. Trong các mệnh đề sau mệnh
đề nào đúng?
A. Nếu
a
và
b
không cắt nhau thì
a
và
b
song song;
B. Nếu
b
và
c
chéo nhau thì
b
và
c
không cùng thuộc một mặt phẳng;
C. Nếu
a
và
b
cùng chéo nhau với
c
thì
a
song song với
b
;
D. Nếu
a
và
b
cắt nhau,
b
và
c
cắt nhau thì
a
và
c
cắt nhau.
Câu 31. Cho hình chóp
.S ABCD
. Gọi
,IJ
lần lượt là trung điểm của
AB
và
BC
.
Giao tuyến của hai mặt phẳng
SAC
và
SIJ
là một đường thẳng song song với
A. đường thẳng
AD
; B. đường thẳng
AB
;
C. đường thẳng
AC
; D. đường thẳng
BD
.
Câu 32. Cho đường thẳng
a
song song với mặt phẳng
. Nếu mặt phẳng
chứa
a
và cắt
theo giao tuyến
b
thì
b
và
a
là hai đường thẳng
A. cắt nhau; B. trùng nhau;
C. chéo nhau; D. song song với nhau.
Câu 33. Cho mặt phẳng
P
và hai đường thẳng song song
a
và
b
. Khẳng định nào
sau đây là đúng?
A. Nếu
P
song song với
a
thì
P
cũng song song với
b
;
B. Nếu
P
cắt
a
thì
P
cũng cắt
b
;

C. Nếu
P
chứa
a
thì
P
cũng chứa
b
;
D. Nếu
P
chứa
a
thì
P
song song với
b
.
Câu 34. Cho hình chóp
.S ABCD
có đáy là hình bình hành. Các điểm
,IJ
lần lượt là
trọng tâm các tam giác và
SAB
và
SAD
. Gọi
M
là trung điểm
CD
. Chọn mệnh đề
đúng trong các mệnh đề sau
A.
//IJ SCD
; B.
//IJ SBM
; C.
//IJ SBD
; D.
//IJ SBC
.
Câu 35. Cho hình chóp
.S ABCD
có đáy
ABCD
là hình bình hành. Gọi
G
là trọng
tâm tam giác
SAB
và
I
là trung điểm của
AB
. Lấy điểm
M
trên đoạn
AD
sao cho
3AD AM
. Đường thẳng qua
M
và song song với
AB
cắt
CI
tại
J
. Đường thẳng
GJ
không song song với mặt phẳng dưới đây?
A.
SCD
; B.
SBC
; C.
SAC
; D.
SAD
.
PHẦN II. TỰ LUẬN (3,0 điểm)
Bài 1. (1,0 điểm) Giải các phương trình lượng giác:
a)
sin 3cos 2xx
; b)
2
2
1
3cot 5
cos
x
x
.
Bài 2. (1,0 điểm) Cho hình chóp
.S ABCD
có đáy
ABCD
là hình bình hành. Gọi
là mặt phẳng đi qua trung điểm
M
của cạnh
SB
, song song với cạnh
AB
và cắt các
cạnh
SA
,
SD
,
SC
lần lượt tại các điểm
Q
,
P
,
N
. Chứng minh tứ giác
MNPQ
là
hình thang.
Bài 3. (1,0 điểm) Số giờ có ánh sáng mặt trời của một thành phố A trong ngày thứ
t
của năm 2023 (có 365 ngày) được cho bởi một hàm số
4sin 60 10
178
yt
,
với
t
và
0 365t
. Vào ngày nào trong năm thì thành phố A có nhiều giờ có
ánh sáng mặt trời nhất?
-----HẾT-----

SỞ GIÁO DỤC & ĐÀO TẠO …
TRƯỜNG …
MÃ ĐỀ MT104
HƯỚNG DẪN GIẢI
KIỂM TRA GIỮA HỌC KÌ 1
MÔN: TOÁN – LỚP 11
PHẦN I. TRẮC NGHIỆM KHÁCH QUAN (7,0 điểm)
Bảng đáp án trắc nghiệm:
Câu
Đáp án
Câu
Đáp án
Câu
Đáp án
Câu
Đáp án
Câu 1
B
Câu 11
B
Câu 21
D
Câu 31
C
Câu 2
C
Câu 12
A
Câu 22
D
Câu 32
D
Câu 3
D
Câu 13
B
Câu 23
B
Câu 33
B
Câu 4
D
Câu 14
D
Câu 24
D
Câu 34
C
Câu 5
B
Câu 15
D
Câu 25
D
Câu 35
D
Câu 6
A
Câu 16
B
Câu 26
B
Câu 7
A
Câu 17
A
Câu 27
B
Câu 8
A
Câu 18
D
Câu 28
D
Câu 9
C
Câu 19
C
Câu 29
B
Câu 10
C
Câu 20
C
Câu 30
B
Hướng dẫn giải chi tiết
Câu 1.
Đáp án đúng là: B
Ta có:
45
45
180 4
rad rad
.
Câu 2.
Đáp án đúng là: C
Nếu
sin ,tan
trái dấu thì điểm cuối của góc lượng giác
ở góc phần tư thứ II
hoặc III.
Câu 3.
Đáp án đúng là: D
Ta có:

2
2
1
1 cot
sin
x
x
nên phương án A sai.
2
2
1
1 tan
cos
x
x
nên phương án B sai.
tan .cot 1xx
nên phương án D sai.
Câu 4.
Đáp án đúng là: D
Điểm
N
là điểm biểu diễn của góc
trên đường tròn lượng giác, do điểm
N
đối
xứng với
M
qua gốc tọa độ nên
33
.
Câu 5.
Đáp án đúng là: B
Từ giả thiết, ta có
2
25 25
sin cos 1 2sin .cos
16 16
9
sin .cos
32
P
.
Câu 6.
Đáp án đúng là: A
Ta có
sin2 sin 2 2 sin2 2sin cosP
.
Từ hệ thức
22
sin cos 1
, suy ra
2
3
cos 1 sin
5
.
Do
2
nên ta chọn
3
cos
5
.

Thay
4
sin
5
và
3
cos
5
vào
P
, ta được
4 3 24
2. .
5 5 25
P
.
Câu 7.
Đáp án đúng là: A
x
thì
x
và
sin sin sinf x x x x f x
nên
sinf x x
là hàm số chẵn, có đồ thị đối xứng qua trục
Oy
.
Do đó phương án A là sai.
Câu 8.
Đáp án đúng là: A
Hàm số
y f x
có tập xác định
D
là hàm số tuần hoàn nếu tồn tại một số
T
khác
0
sao cho
xD
ta có
,x T D x T D
và
f x T f x
.
Câu 9.
Đáp án đúng là: C
Các hàm số
sinyx
,
tanyx
đồng biến trên khoảng
0;
2
.
Các hàm số
cosyx
,
cotyx
nghịch biến trên khoảng
0;
2
.
Câu 10.
Đáp án đúng là: C
Hàm số xác định khi và chỉ khi
1 sin 0 sin 1 *xx
Mà
1 sin 1x
nên
* sin 1 2 ,
2
x x k k
Z
.
Vậy tập xác định
\ 2 ,
2
D k k
Z
.
Câu 11.
Đáp án đúng là: B
Ta có
22
1 cos 1 0 cos 1 0 3cos 3x x x

22
4 7 3cos 7 2 7 3cos 7xx
.
Vậy tập giá trị của hàm số là
2; 7T
.
Câu 12.
Đáp án đúng là: A
Ta có:
cos 0
2
x x k k
.
Câu 13.
Đáp án đúng là: B
Quan sát đồ thị
tanyx
ta thấy
tan 0x
với
0;
22
x
.
Câu 14.
Đáp án đúng là: D
Ta có:
2
3 2 2
sin2 sin3
2
3 2 2
55
xk
x x k
xx
x x k
xk
với
k
.
Câu 15.
Đáp án đúng là: D
Ta có
3
cot3 3
3 3 9 3
x x k x k
với
k
.
Câu 16.
Đáp án đúng là: B
Dãy số
n
u
có số hạng đầu tiên là
1
0u
.
Câu 17.
Đáp án đúng là: A
Với
2
63
n
u n n
thì
1
2u
,
2
5u
,
3
6u
,
4
5u
suy ra
2 3 4
u u u
nên đây
là dãy số không tăng, không giảm.

Với
2
n
un
thì
2
2
1
1 2 1 0
nn
u u n n n
*
n
nên đây là dãy số tăng.
Với
3
n
n
u
thì
1
3u
,
2
9u
,
3
27u
suy ra
1 2 3
u u u
nên đây là dãy số
không tăng, không giảm
Với
1
n
u
n
thì
1
1
1 1 1
0
1 1 1
nn
nn
uu
n n n n n n
*
n
nên đây là
dãy số giảm.
Câu 18.
Đáp án đúng là: D
Các số nguyên dương chia
3
dư
2
theo thứ tự tăng dần là
5
,
8
,
11
,
14
,…
Ta có
5 3.1 2
,
8 3.2 2
,
11 3.3 2
,
14 3.4 2
, …
Vậy
32
n
un
.
Câu 19.
Đáp án đúng là: C
Vì
n
u
là cấp số cộng nên ta có
2 1 2 1
8 2 6u u d d u u
.
Câu 20.
Đáp án đúng là: C
Ta có
1
3u
và
1
2
d
nên
1
1
1 3 1
2
n
u u n d n
.
Câu 21.
Đáp án đúng là: D
Ta có số gạch ở mỗi hàng là các số hạng của 1 cấp số cộng:
500;499;498;...;2;1
.
Khi đó tổng số gạch cần dùng là tổng của cấp số cộng trên, bằng:
500
500 1 .500
501.250 125 250
2
S
(viên).
Câu 22.
Đáp án đúng là: D
Phương án A sai. Nếu
P
và
Q
trùng nhau thì
2
mặt phẳng có vô số điểm
chung. Khi đó, chưa đủ điều kiện để kết luận
,,A B C
thẳng hàng
.

Phương án B sai. Có vô số đường thẳng đi qua
A
, khi đó
,BC
chưa chắc đã thuộc
giao tuyến của
P
và
Q
.
Phương án C sai. Hai mặt phẳng
P
và
Q
phân biệt giao nhau tại
1
giao tuyến
duy nhất, nếu
1
điểm
,,A B C
là
3
điểm chung của
2
mặt phẳng thì
,,A B C
cùng
thuộc giao tuyến.
Câu 23.
Đáp án đúng là: B
Ta có:
A ABC ACD
và
C ABC ACD
nên
AC ABC ACD
.
Câu 24.
Đáp án đúng là: D
Một hình chóp có đáy là ngũ giác thì số cạnh đáy và số bên đều là 5.
Vậy có tất cả 10 cạnh.
Câu 25.
Đáp án đúng là: D
Tứ diện đều có tất cả các mặt đều là hình tam giác đều. Vậy ta chọn phương án D.
Câu 26.
Đáp án đúng là: B
M
G
E
F
D
C
A
B

Vì
G
là trọng tâm tam giác
,BCD F
là trung điểm của
CD
.G ABF
Ta có
E
là trung điểm của
AB
.E ABF
Gọi
M
là giao điểm của
EG
và
AF
mà
AF ACD
suy ra
.M ACD
Vậy giao điểm của
EG
và
mp ACD
là giao điểm
.M EG AF
Câu 27.
Đáp án đúng là: B
Ta có
ABD BCD BD
.
Lại có
I MP ABD
I
I NQ BCD
thuộc giao tuyến của
ABD
và
BCD
, , I BD I B D
thẳng hàng.
Câu 28.
Đáp án đúng là: D
Trong mặt phẳng
P
có vô số đường thẳng song song với
a
.
Câu 29.
Đáp án đúng là: B
Mệnh đề I sai vì hai đường thẳng có thể cắt nhau.
Mệnh đề II sai vì giao tuyến có thể trùng với một trong hai đường thẳng đó.
Q
I
N
M
B
D
C
A
P

Mệnh đề III sai vì ba giao tuyến ấy có thể cắt nhau.
Do đó có 1 mệnh đề đúng là mệnh đề IV.
Câu 30.
Đáp án đúng là: B
Nếu
b
và
c
chéo nhau thì
b
và
c
không cùng thuộc một mặt phẳng.
Câu 31.
Đáp án đúng là: C
Xét hai mặt phẳng
SAC
và
SIJ
ta có
S
là điểm chung
//IJ AC
(đường trung
bình trong tam giác). Suy ta giao tuyến của hai mặt phẳng
SAC
và
SIJ
là một
đường thẳng qua
S
song song với
AC
.
Câu 32.
Đáp án đúng là: D
// , ,a a b
suy ra
//ab
.
Câu 33.
Đáp án đúng là: B
Vì
//ab
nên nếu
P
cắt
a
thì
P
cũng cắt
b
.
Câu 34.
Đáp án đúng là: C

Gọi
,NP
lần lượt là trung điểm của
,AB AD
.
Ta có
1
= = //
3
SI SJ
IJ NP
SN SP
mà
//BDNP
suy ra
//IJ SBD
.
Câu 35.
Đáp án đúng là: D
Do
//JM AB
nên ta có
1
3
IJ AM
IC AD
mà
1
3
IG IG IJ
IS IS IC
hay
//GJ SC
(Định lí
Thalès đảo).
Vì
SC SCD
và
GJ SCD
nên
//GJ SCD
.
Vì
SC SAC
và
GJ SAC
nên
//GJ SAC
.
Vì
SC SBC
và
GJ SBC
nên
//GJ SBC
.
PHẦN II. TỰ LUẬN (3,0 điểm)
Bài 1. (1,0 điểm)
a)
sin 3cos 2xx
1 3 2
sin cos
2 2 2
xx
2
sin
32
x
M
I
A
D
B
C
S
P
N
J

2
34
2
34
xk
k
xk
2
12
2
12
xk
k
xk
Vậy phương trình có nghiệm là
22
12 12
x k x k k
.
b) Với
sin 0
sin2 0
cos 0
2
x
k
x x k
x
, ta có
2
2
1
3cot 5
cos
x
x
2
2
3
1 tan 5
tan
x
x
42
tan 4tan 3 0xx
2
2
tan 1
tan 1
tan 1
tan 3
tan 3
tan 3
x
x
x
x
x
x
4
3
xk
k
xk
(thỏa mãn)
Vậy phương trình đã cho có nghiệm
;
43
x k x k k
.
Bài 2. (1,0 điểm)

Ta có
//AB
,
M
và
AB SAB
SAB MQ
, với
//MQ AB
và
Q SA
Lại có
//CD AB
(do tứ giác
ABCD
là hình bình hành).
// CD MQ
(1)
Mà
MQ
// .CD
Mặt khác
SCD NP
// 2CD NP
Từ (1), (2), suy ra
// .MQ NP
Vậy tứ giác
MNPQ
là hình thang.
Bài 3. (1,0 điểm)
Ta có
sin t 60 1
178
4sin t 60 10 14
178
.
14 *y
Yêu cầu bài toán ⇔ Tìm
t
để
14y
, với
0 365t
.
Ta có dấu “=” của
*
xảy ra khi và chỉ khi
sin t 60 1
178
**
t 60 k2 k
178 2
– 60 89 356 t k k
)149 35 (6t k k
Vì
0 365t
nên
0 149 356 365k
149 54
k
356 89
.
Mà
k
nên
0k
149t
.
Vậy ngày 29 tháng 5 năm 2023 là ngày thành phố A có nhiều giờ có ánh sáng mặt
trời nhất.
-----HẾT-----