B. Đề kiểm tra giữa học kì 1 ĐỀ SỐ 3
I. Trắc nghiệm (7 điểm)
Câu 1. Cho góc lượng giác Oa,Ob có số đo là 50 .
Hỏi số đo của góc lượng giác
nào trong bốn đáp án A, B, C, D bên dưới cũng có tia đầu là Oa và tia cuối là Ob? A. 140 . B. 410 . C. 320 . D. 230 . 1 2 3 4
Câu 2. Đổi số đo của góc sang độ. 3 A. 90 . B. 30 . C. 60 . D. 45 .
Câu 3. Chọn khẳng định đúng.
A. sin x y sin xcos y cos xsin y .
B. cos x y cos x cos y sin xsin y .
C. cos x y cos x cos y sin xsin y .
D. sin x y sin xcos y cos xsin y .
Câu 4. Khẳng định nào dưới đây sai? A. 2
2sin a 1 cos 2a .
B. cos2a 2cosa 1.
C. sin 2a 2sin acosa . D. 2 2
cos 2a cos a sin a .
Câu 5. Mệnh đề nào dưới đây là sai?
A. Hàm số y sin x tuần hoàn với chu kì 2 .
B. Hàm số y cos x tuần hoàn với chu kì 2 .
C. Hàm số y tan x tuần hoàn với chu kì 2 .
D. Hàm số y cot x tuần hoàn với chu kì .
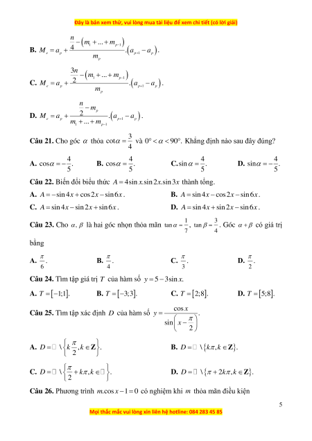
Câu 6. Đường cong trong hình dưới đây là đồ thị của một hàm số trong bốn hàm số
được liệt kê ở bốn phương án A, B, C, D. 1
Hỏi hàm số đó là hàm số nào? x x
A. y sin .
B. y cos . 2 2 x x
C. y cos . D. y sin . 4 2
Câu 7. Trong các hàm số sau, hàm số nào là hàm số chẵn? A. y sin . x B. y cos . x C. y tan . x D. y cot . x
Câu 8. Hai phương trình được gọi là tương đương khi
A. chúng có cùng số nghiệm.
B. chúng có cùng tập nghiệm.
C. chúng cùng có nghiệm.
D. chúng cùng có duy nhất một nghiệm.
Câu 9. Nghiệm của phương trình: 1 tan x 0 . A. x
k k . B. x
k k . 4 4 C. x
k2 k . D. x
k2 k . 4 4
Câu 10. Phương trình 1 sin x có nghiệm thỏa mãn x là 2 2 2 5 A. x
k2 ,k . B. x . 6 6 C. x
k2 ,k . D. x . 3 3 2 an
Câu 11. Cho dãy số u với u
( a là hằng số), u n n
là số hạng nào sau đây? n 1 n 1 2
. a n 2 1 . a n 2 1 A. u . B. u . n 1 n 2 n 1 n 1 2 . a n 1 2 an C. u . D. u . n 1 n 1 n 1 n 2 n
Câu 12. Cho dãy số u với u n n
3n . Ba số hạng đầu tiên của dãy số lần lượt là 1 1 1 3 1 1 3 1 1 3 1 1 3 A. ; ; . B. ; ; . C. ; ; . D. ; ; . 2 4 27 2 4 26 2 4 25 2 4 28
Câu 13. Khẳng định nào sau đây là sai? 1 u 1 1 3 1 2
A. Dãy số ;0; ;1; ;..... là một cấp số cộng: . 2 2 2 1 d 2 1 u 1 1 1 1 2 B. Dãy số ; ;
;..... là một cấp số cộng: . 2 3 2 2 2 1 d 2 u 2
C. Dãy số : – 2; – 2; – 2; – 2; là cấp số cộng 1 . d 0
D. Dãy số: 0,1; 0,01; 0,001; 0,0001; không phải là một cấp số cộng.
Câu 14. Cho cấp số cộng u có u 5
và d 3. Mệnh đề nào sau đây đúng? n 1
A. u 34.
B. u 45.
C. u 31. D. u 35. 15 15 13 10
Câu 15. Cho dãy số: –1; 1; –1; 1; –1; … Khẳng định nào sau đây là đúng?
A. Dãy số này không phải là cấp số nhân.
B. Số hạng tổng quát u 1n 1. n
C. Dãy số này là cấp số nhân có u 1 ,q 1 . 1 n
D. Số hạng tổng quát u . n 2 1
Câu 16. Cho cấp số nhân u với u 3 và u 6
. Công bội q của cấp số nhân đó n 1 2 là 3
A. 2 . B. 2 . C. 9 . D. 9 .
Câu 17. Điều tra về chiều cao của 100 học sinh lớp 11 trường THPT Nguyễn Xuân
Ôn, ta được kết quả:
Chiều cao 150;152 152;154 154;156 156;158 158;160 160;162 162;168 (cm) Số học 5 10 45 20 16 3 1 sinh
Mẫu số liệu trên có bao nhiêu nhóm? A. 7. B. 6. C. 5. D. 8.
Câu 18. Cho mẫu số liệu ghép nhóm trong đó có một nhóm là 200;235 . Độ dài của nhóm này là A. 200. B. 235. C. 5. D. 35.
Câu 19. Khảo sát thời gian sử dụng điện thoại di động trong ngày của một số học
sinh khối 11 thu được mẫu số liệu ghép nhóm sau:
Thời gian sử dụng điện 1;2 2;3 3;4 4;5 thoại (giờ) Số học sinh 10 30 7 3
Mẫu số liệu này có số mốt là A. 0. B. 1. C. 2. D. 3.
Câu 20. Cho mẫu số liệu ghép nhóm có cỡ mẫu n như sau:
Giả sử nhóm chứa trung vị là nhóm thứ p : a ;a
, m là tần số nhóm p . Công p p 1 p
thức tính trung vị của mẫu số liệu ghép nhóm này là
n m ... m 1 p 1 A. 2 M a . a a . e p p 1 p mp 4
Đề thi giữa kì 1 Toán 11 Kết nối tri thức (đề 3)
808
404 lượt tải
MUA NGAY ĐỂ XEM TOÀN BỘ TÀI LIỆU
CÁCH MUA:
- B1: Gửi phí vào TK:
1053587071
- NGUYEN VAN DOAN - Ngân hàng Vietcombank (QR) - B2: Nhắn tin tới Zalo VietJack Official ( nhấn vào đây ) để xác nhận thanh toán và tải tài liệu - giáo án
Liên hệ ngay Hotline hỗ trợ: 084 283 45 85
Chúng tôi đảm bảo đủ số lượng đề đã cam kết hoặc có thể nhiều hơn, tất cả có BẢN WORD, LỜI GIẢI CHI TIẾT và tải về dễ dàng.
Để tải tài liệu gốc về máy bạn click vào nút Tải Xuống ở trên!
Thuộc bộ (mua theo bộ để tiết kiệm hơn):
- Tailieugiaovien.com.vn giới thiệu bộ 10 đề giữa kì 1 gồm đầy đủ ma trận và lời giải chi tiết môn Toán 11 bộ Kết nối tri thức mới nhất năm 2023 - 2024 nhằm giúp Giáo viên có thêm tài liệu tham khảo ra đề thi Toán lớp 11.
- File word có lời giải chi tiết 100%.
- Mua trọn bộ sẽ tiết kiệm hơn tải lẻ 50%.
Đánh giá
4.6 / 5(808 )5
4
3
2
1

Trọng Bình
Tài liệu hay
Giúp ích cho tôi rất nhiều

Duy Trần
Tài liệu chuẩn
Rất thích tài liệu bên VJ soạn (bám sát chương trình dạy)
TÀI LIỆU BỘ BÁN CHẠY MÔN Toán Học
Xem thêmTÀI LIỆU BỘ BÁN CHẠY Lớp 11
Xem thêmTài liệu bộ mới nhất

Đây là bản xem thử, vui lòng mua tài liệu để xem chi tiết (có lời giải)
1
Mọi thắc mắc vui lòng xin liên hệ hotline: 084 283 45 85
B. Đề kiểm tra giữa học kì 1
ĐỀ SỐ 3
I. Trắc nghiệm (7 điểm)
Câu 1. Cho góc lượng giác
,Oa Ob
có số đo là
50 .
Hỏi số đo của góc lượng giác
nào trong bốn đáp án A, B, C, D bên dưới cũng có tia đầu là
Oa
và tia cuối là
?Ob
A.
1
140 .
B.
2
410 .
C.
3
320 .
D.
4
230 .
Câu 2. Đổi số đo của góc
3
sang độ.
A.
90 .
B.
30 .
C.
60 .
D.
45 .
Câu 3. Chọn khẳng định đúng.
A.
sin sin cos cos sinx y x y x y
.
B.
cos cos cos sin sinx y x y x y
.
C.
cos cos cos sin sinx y x y x y
.
D.
sin sin cos cos sinx y x y x y
.
Câu 4. Khẳng định nào dưới đây sai?
A.
2
2sin 1 cos2aa
. B.
cos2 2cos 1aa
.
C.
sin2 2sin cosa a a
. D.
22
cos2 cos sina a a
.
Câu 5. Mệnh đề nào dưới đây là sai?
A. Hàm số
sinyx
tuần hoàn với chu kì
2.
B. Hàm số
cosyx
tuần hoàn với chu kì
2.
C. Hàm số
tanyx
tuần hoàn với chu kì
2.
D. Hàm số
cotyx
tuần hoàn với chu kì
.
Câu 6. Đường cong trong hình dưới đây là đồ thị của một hàm số trong bốn hàm số
được liệt kê ở bốn phương án A, B, C, D.

Đây là bản xem thử, vui lòng mua tài liệu để xem chi tiết (có lời giải)
2
Mọi thắc mắc vui lòng xin liên hệ hotline: 084 283 45 85
Hỏi hàm số đó là hàm số nào?
A.
sin .
2
x
y
B.
cos .
2
x
y
C.
cos .
4
x
y
D.
sin .
2
x
y
Câu 7. Trong các hàm số sau, hàm số nào là hàm số chẵn?
A.
sin .yx
B.
cos .yx
C.
tan .yx
D.
cot .yx
Câu 8. Hai phương trình được gọi là tương đương khi
A. chúng có cùng số nghiệm.
B. chúng có cùng tập nghiệm.
C. chúng cùng có nghiệm.
D. chúng cùng có duy nhất một nghiệm.
Câu 9. Nghiệm của phương trình:
1 tan 0x
.
A.
4
x k k
. B.
4
x k k
.
C.
2
4
x k k
. D.
2
4
x k k
.
Câu 10. Phương trình
1
sin
2
x
có nghiệm thỏa mãn
22
x
là
A.
5
2,
6
x k k
. B.
6
x
.
C.
2,
3
x k k
. D.
3
x
.
Câu 11. Cho dãy số
n
u
với
2
1
n
an
u
n
(
a
là hằng số),
1n
u
là số hạng nào sau đây?

Đây là bản xem thử, vui lòng mua tài liệu để xem chi tiết (có lời giải)
3
Mọi thắc mắc vui lòng xin liên hệ hotline: 084 283 45 85
A.
2
1
.1
2
n
an
u
n
. B.
2
1
.1
1
n
an
u
n
.
C.
2
1
.1
1
n
an
u
n
. D.
2
1
2
n
an
u
n
.
Câu 12. Cho dãy số
n
u
với
31
n
n
n
u
. Ba số hạng đầu tiên của dãy số lần lượt là
A.
1 1 3
;;
2 4 27
. B.
1 1 3
;;
2 4 26
. C.
1 1 3
;;
2 4 25
. D.
1 1 3
;;
2 4 28
.
Câu 13. Khẳng định nào sau đây là sai?
A. Dãy số
1 1 3
;0; ;1; ;.....
2 2 2
là một cấp số cộng:
1
1
2
1
2
u
d
.
B. Dãy số
23
1 1 1
; ; ;.....
2 2 2
là một cấp số cộng:
1
1
2
1
2
u
d
.
C. Dãy số :
– 2; – 2; – 2; – 2;
là cấp số cộng
1
2
0
u
d
.
D. Dãy số:
0,1; 0,01; 0,001; 0,0001;
không phải là một cấp số cộng.
Câu 14. Cho cấp số cộng
n
u
có
1
5u
và
3.d
Mệnh đề nào sau đây đúng?
A.
15
34.u
B.
15
45.u
C.
13
31.u
D.
10
35.u
Câu 15. Cho dãy số: –1; 1; –1; 1; –1; … Khẳng định nào sau đây là đúng?
A. Dãy số này không phải là cấp số nhân.
B. Số hạng tổng quát
11
n
n
u
.
C. Dãy số này là cấp số nhân có
1
1, 1uq
.
D. Số hạng tổng quát
2
1
n
n
u
.
Câu 16. Cho cấp số nhân
n
u
với
1
3u
và
2
6u
. Công bội
q
của cấp số nhân đó
là

Đây là bản xem thử, vui lòng mua tài liệu để xem chi tiết (có lời giải)
4
Mọi thắc mắc vui lòng xin liên hệ hotline: 084 283 45 85
A.
2
. B.
2
. C.
9
. D.
9
.
Câu 17. Điều tra về chiều cao của 100 học sinh lớp 11 trường THPT Nguyễn Xuân
Ôn, ta được kết quả:
Chiều cao
(cm)
150;152
152;154
154;156
156;158
158;160
160;162
162;168
Số học
sinh
5
10
45
20
16
3
1
Mẫu số liệu trên có bao nhiêu nhóm?
A. 7. B. 6. C. 5. D. 8.
Câu 18. Cho mẫu số liệu ghép nhóm trong đó có một nhóm là
200;235
. Độ dài của
nhóm này là
A. 200. B. 235. C. 5. D. 35.
Câu 19. Khảo sát thời gian sử dụng điện thoại di động trong ngày của một số học
sinh khối 11 thu được mẫu số liệu ghép nhóm sau:
Thời gian sử dụng điện
thoại (giờ)
1;2
2;3
3;4
4;5
Số học sinh
10
30
7
3
Mẫu số liệu này có số mốt là
A. 0. B. 1. C. 2. D. 3.
Câu 20. Cho mẫu số liệu ghép nhóm có cỡ mẫu
n
như sau:
Giả sử nhóm chứa trung vị là nhóm thứ
p
:
1
;
pp
aa
,
p
m
là tần số nhóm
p
. Công
thức tính trung vị của mẫu số liệu ghép nhóm này là
A.
11
1
...
2
.
p
e p p p
p
n
mm
M a a a
m
.

Đây là bản xem thử, vui lòng mua tài liệu để xem chi tiết (có lời giải)
5
Mọi thắc mắc vui lòng xin liên hệ hotline: 084 283 45 85
B.
11
1
...
4
.
p
e p p p
p
n
mm
M a a a
m
.
C.
11
1
3
...
2
.
p
e p p p
p
n
mm
M a a a
m
.
D.
1
11
2
.
...
p
e p p p
p
n
m
M a a a
mm
.
Câu 21. Cho góc
thỏa
3
cot
4
và
0 90 .
Khẳng định nào sau đây đúng?
A.
4
cos .
5
B.
4
cos .
5
C.
4
sin .
5
D.
4
sin .
5
Câu 22. Biến đổi biểu thức
4sin .sin2 .sin3A x x x
thành tổng.
A.
sin4 cos2 sin6A x x x
. B.
sin4 cos2 sin6A x x x
.
C.
sin4 sin2 sin6A x x x
. D.
sin4 sin2 sin6A x x x
.
Câu 23. Cho
,
là hai góc nhọn thỏa mãn
1
tan
7
,
3
tan
4
. Góc
có giá trị
bằng
A.
6
. B.
4
. C.
3
. D.
2
.
Câu 24. Tìm tập giá trị
T
của hàm số
5 3sin .yx
A.
1;1 .T
B.
3;3 .T
C.
2;8 .T
D.
5;8 .T
Câu 25. Tìm tập xác định
D
của hàm số
cos
.
sin
2
x
y
x
A.
\ , .
2
D k k
Z
B.
\ , .D k k
Z
C.
\ , .
2
D k k
D.
\ 2 , .D k k
Z
Câu 26. Phương trình
.cos 1 0mx
có nghiệm khi
m
thỏa mãn điều kiện

Đây là bản xem thử, vui lòng mua tài liệu để xem chi tiết (có lời giải)
6
Mọi thắc mắc vui lòng xin liên hệ hotline: 084 283 45 85
A.
1
1
m
m
. B.
1m
C.
1m
. D.
1
1
m
m
.
Câu 27. Phương trình
3cot 3 0x
có nghiệm là
A.
6
xk
,
k
. B.
3
xk
,
k
.
C.
2
3
xk
,
k
. D. Vô nghiệm.
Câu 28. Trong các dãy số sau, dãy số nào không là dãy số bị chặn?
A.
n
a
với
3
n
n
a
. B.
n
u
với
sin
2
n
un
.
C.
:2,4,6,8,10
n
b
. D.
n
v
với
1
1
n
v
n
.
Câu 29. Xét dãy số :
1 1 1 1
1, , , , ...
2 4 8 16
. Tìm công thức số hạng tổng quát của dãy số trên.
A.
1
2
n
n
a
. B.
1
1
2
n
n
b
.
C.
13
22
n
cn
. D.
2
1 7 7
8 8 4
n
d n n
.
Câu 30. Cho dãy số
n
u
có:
1
1
3;
2
ud
. Khẳng định nào sau đây là đúng?
A.
1
31
2
n
un
. B.
1
31
2
n
un
.
C.
1
31
2
n
un
. D.
1
31
4
n
u n n
.
Câu 31. Một rạp hát có 30 dãy ghế, dãy đầu tiên có 25 ghế. Mỗi dãy sau có hơn dãy
trước 3 ghế. Hỏi rạp hát có tất cả bao nhiêu ghế?
A.
1635.
B.
1792
. C.
2055
. D.
3125
.
Câu 32. Cho cấp số nhân
n
u
có
1
3u
yà
2q
. Tống
n
số hạng đầu tiên của cấp
số nhân đã cho bằng
1533
. Tìm
.n
A.
9n
. B.
10n
. C.
11n
. D.
12n
.

Đây là bản xem thử, vui lòng mua tài liệu để xem chi tiết (có lời giải)
7
Mọi thắc mắc vui lòng xin liên hệ hotline: 084 283 45 85
Câu 33. Cho cấp số nhân
n
u
có các số hạng khác không, tìm
1
u
biết:
1 2 3 4
2222
1 2 3 4
15
85
u u u u
uuuu
.
A.
11
1, 2uu
. B.
11
1, 8uu
. C.
11
1, 5uu
. D.
11
1, 9.uu
Câu 34. Tìm hiểu thời gian chạy cự li 1000 m (đơn vị: giây) của các bạn học sinh
trong một lớp thu được kết quả sau:
Mốt của mẫu số liệu ghép nhóm này là
A.
131,02
o
M
. B.
130,23
o
M
.
C.
129,02
o
M
. D.
132,04
o
M
.
Câu 35. Cho mẫu số liệu ghép nhóm về khối lượng (đơn vị: gram) của
30
củ khoai
từ như sau:
Tứ phân vị thứ nhất của mẫu số liệu ghép nhóm này là
A.
1
85,5Q
. B.
1
87,5Q
. C.
1
86,5Q
. D.
1
86,75Q
.
II. Tự luận (3 điểm)
Bài 1. (1 điểm) Giải các phương trình lượng giác sau:
a)
22
sin 5sin cos 6cos 6x x x x
.
b)
cos3 sin2 cos 0x x x
.
Bài 2. (1 điểm) Nhiệt độ ngoài trời ở một thành phố vào các thời điểm khác nhau
trong ngày có thể được mô phỏng bởi công thức
29 3sin 9
12
h t t
với
h
tính
bằng độ
C
và
t
là thời gian trong ngày tính bằng giờ. Nhiệt độ thấp nhất trong ngày
là bao nhiêu độ
C
và vào lúc mấy giờ?

Đây là bản xem thử, vui lòng mua tài liệu để xem chi tiết (có lời giải)
8
Mọi thắc mắc vui lòng xin liên hệ hotline: 084 283 45 85
Bài 3. (1 điểm) Biết rằng tồn tại đúng ba giá trị
1 2 3
,,m m m
của tham số
m
để phương
trình
3 2 3 2
9 23 4 9 0x x x m m m
có ba nghiệm phân biệt lập thành một cấp
số cộng. Tính giá trị của biểu thức
333
1 2 3
P m m m
.
-----HẾT-----

Đây là bản xem thử, vui lòng mua tài liệu để xem chi tiết (có lời giải)
9
Mọi thắc mắc vui lòng xin liên hệ hotline: 084 283 45 85
C. Đáp án và hướng dẫn giải đề kiểm tra giữa học kì 1
ĐÁP ÁN ĐỀ SỐ 3
I. Bảng đáp án trắc nghiệm
1. B
2. C
3. A
4. B
5. C
6. D
7. B
8. B
9. B
10. B
11. A
12. B
13. B
14. C
15. C
16. D
17. A
18. D
19. B
20. A
21. C
22. D
23. B
24. C
25. C
26. A
27. B
28. A
29. B
30. C
31. C
32. A
33. B
34. B
35. B
II. Hướng dẫn giải chi tiết trắc nghiệm
Câu 1. Cho góc lượng giác
,Oa Ob
có số đo là
50 .
Hỏi số đo của góc lượng giác
nào trong bốn đáp án A, B, C, D bên dưới cũng có tia đầu là
Oa
và tia cuối là
?Ob
A.
1
140 .
B.
2
410 .
C.
3
320 .
D.
4
230 .
Đáp án đúng là: B
Theo SGK, góc lượng giác có cùng tia đầu và tia cuối sai khác nhau một bội nguyên
của
360 .
Mà
410 50 360 .
Câu 2. Đổi số đo của góc
3
sang độ.
A.
90 .
B.
30 .
C.
60 .
D.
45 .
Đáp án đúng là: C
Ta có:
180
. 60 .
33
Câu 3. Chọn khẳng định đúng.
A.
sin sin cos cos sinx y x y x y
.
B.
cos cos cos sin sinx y x y x y
.
C.
cos cos cos sin sinx y x y x y
.
D.
sin sin cos cos sinx y x y x y
.

Đây là bản xem thử, vui lòng mua tài liệu để xem chi tiết (có lời giải)
10
Mọi thắc mắc vui lòng xin liên hệ hotline: 084 283 45 85
Đáp án đúng là: A
Chọn A vì đúng theo công thức cộng.
Câu 4. Khẳng định nào dưới đây sai?
A.
2
2sin 1 cos2aa
. B.
cos2 2cos 1aa
.
C.
sin2 2sin cosa a a
. D.
22
cos2 cos sina a a
.
Đáp án đúng là: B
Có
2 2 2 2
cos2 cos sin 2cos 1 1 2sina a a a a
nên đáp án B sai.
Câu 5. Mệnh đề nào dưới đây là sai?
A. Hàm số
sinyx
tuần hoàn với chu kì
2.
B. Hàm số
cosyx
tuần hoàn với chu kì
2.
C. Hàm số
tanyx
tuần hoàn với chu kì
2.
D. Hàm số
cotyx
tuần hoàn với chu kì
.
Đáp án đúng là: C
Hàm số
tanyx
tuần hoàn với chu kì
.
Câu 6. Đường cong trong hình dưới đây là đồ thị của một hàm số trong bốn hàm số
được liệt kê ở bốn phương án A, B, C, D.
Hỏi hàm số đó là hàm số nào?
A.
sin .
2
x
y
B.
cos .
2
x
y
C.
cos .
4
x
y
D.
sin .
2
x
y
Đáp án đúng là: D
Ta thấy:
Tại
0x
thì
0y
. Do đó loại B và C.

Đây là bản xem thử, vui lòng mua tài liệu để xem chi tiết (có lời giải)
11
Mọi thắc mắc vui lòng xin liên hệ hotline: 084 283 45 85
Tại
x
thì
1y
. Thay vào hai đáp án còn lại chỉ có D thỏa mãn.
Câu 7. Trong các hàm số sau, hàm số nào là hàm số chẵn?
A.
sin .yx
B.
cos .yx
C.
tan .yx
D.
cot .yx
Đáp án đúng là: B
Nhắc lại kiến thức cơ bản:
- Hàm số
sinyx
là hàm số lẻ.
- Hàm số
cosyx
là hàm số chẵn.
- Hàm số
tanyx
là hàm số lẻ.
- Hàm số
cotyx
là hàm số lẻ.
Vậy B là đáp án đúng.
Câu 8. Hai phương trình được gọi là tương đương khi
A. chúng có cùng số nghiệm. B. chúng có cùng tập nghiệm.
C. chúng cùng có nghiệm. D. chúng cùng có duy nhất một
nghiệm.
Đáp án đúng là: B
Hai phương trình được gọi là tương đương khi chúng có cùng tập nghiệm.
Câu 9. Nghiệm của phương trình:
1 tan 0x
.
A.
4
x k k
. B.
4
x k k
.
C.
2
4
x k k
. D.
2
4
x k k
.
Đáp án đúng là: B
1 tan 0 tan 1xx
4
x k k
.
Câu 10. Phương trình
1
sin
2
x
có nghiệm thỏa mãn
22
x
là
A.
5
2,
6
x k k
. B.
6
x
.

Đây là bản xem thử, vui lòng mua tài liệu để xem chi tiết (có lời giải)
12
Mọi thắc mắc vui lòng xin liên hệ hotline: 084 283 45 85
C.
2,
3
x k k
. D.
3
x
.
Đáp án đúng là: B
Phương trình
1
sin
2
x
có nghĩa
xD
.
Do
1
sin
62
nên
22
1
66
sin sin sin
5
26
22
66
x k x k
xx
x k x k
k
.
Vì
22
x
nên
6
x
.
Câu 11. Cho dãy số
n
u
với
2
1
n
an
u
n
(
a
là hằng số),
1n
u
là số hạng nào sau đây?
A.
2
1
.1
2
n
an
u
n
. B.
2
1
.1
1
n
an
u
n
.
C.
2
1
.1
1
n
an
u
n
. D.
2
1
2
n
an
u
n
.
Đáp án đúng là: A
Ta có
22
1
. 1 1
1 1 2
n
a n a n
u
nn
.
Câu 12. Cho dãy số
n
u
với
31
n
n
n
u
. Ba số hạng đầu tiên của dãy số lần lượt là
A.
1 1 3
;;
2 4 27
. B.
1 1 3
;;
2 4 26
. C.
1 1 3
;;
2 4 25
. D.
1 1 3
;;
2 4 28
.
Đáp án đúng là: B
Thay lần lượt
1; 2; 3n n n
vào công thức số hạng tổng quát ta được đáp án B.
Câu 13. Khẳng định nào sau đây là sai?

Đây là bản xem thử, vui lòng mua tài liệu để xem chi tiết (có lời giải)
13
Mọi thắc mắc vui lòng xin liên hệ hotline: 084 283 45 85
A. Dãy số
1 1 3
;0; ;1; ;.....
2 2 2
là một cấp số cộng:
1
1
2
1
2
u
d
.
B. Dãy số
23
1 1 1
; ; ;.....
2 2 2
là một cấp số cộng:
1
1
2
1
2
u
d
.
C. Dãy số :
– 2; – 2; – 2; – 2;
là cấp số cộng
1
2
0
u
d
.
D. Dãy số:
0,1; 0,01; 0,001; 0,0001;
không phải là một cấp số cộng.
Đáp án đúng là: B
Dãy số
23
1 1 1
; ; ;.....
2 2 2
không phải cấp số cộng do
1
2
1
11
2
1
1
22
2
u
u
d
.
Câu 14. Cho cấp số cộng
n
u
có
1
5u
và
3.d
Mệnh đề nào sau đây đúng?
A.
15
34.u
B.
15
45.u
C.
13
31.u
D.
10
35.u
Đáp án đúng là: C
Ta có
1
13 1
5
13 1 5 3. 13 1 31
3
CTTQ
u
u u d
d
.
Câu 15. Cho dãy số: –1; 1; –1; 1; –1; … Khẳng định nào sau đây là đúng?
A. Dãy số này không phải là cấp số nhân.
B. Số hạng tổng quát
11
n
n
u
.
C. Dãy số này là cấp số nhân có
1
1, 1uq
.
D. Số hạng tổng quát
2
1
n
n
u
.
Đáp án đúng là: C
Ta có
1 1. 1 ; 1 1. 1
.
Vậy dãy số trên là cấp số nhân với
1
1; q= 1u
.

Đây là bản xem thử, vui lòng mua tài liệu để xem chi tiết (có lời giải)
14
Mọi thắc mắc vui lòng xin liên hệ hotline: 084 283 45 85
Câu 16. Cho cấp số nhân
n
u
với
1
3u
và
2
6u
. Công bội
q
của cấp số nhân đó
là
A.
2
. B.
2
. C.
9
. D.
9
.
Đáp án đúng là: D
Vì
n
u
là cấp số nhân nên
2
1
6
2
3
u
q
u
.
Câu 17. Điều tra về chiều cao của 100 học sinh lớp 11 trường THPT Nguyễn Xuân
Ôn, ta được kết quả:
Chiều cao
(cm)
150;152
152;154
154;156
156;158
158;160
160;162
162;168
Số học
sinh
5
10
45
20
16
3
1
Mẫu số liệu trên có bao nhiêu nhóm?
A. 7. B. 6. C. 5. D. 8.
Đáp án đúng là: A
Mẫu số liệu trên có 7 nhóm.
Câu 18. Cho mẫu số liệu ghép nhóm trong đó có một nhóm là
200;235
. Độ dài của
nhóm này là
A. 200. B. 235. C. 5. D. 35.
Đáp án đúng là: D
Độ dài của nhóm
200;235
là 235 – 200 = 35.
Câu 19. Khảo sát thời gian sử dụng điện thoại di động trong ngày của một số học
sinh khối 11 thu được mẫu số liệu ghép nhóm sau:
Thời gian sử dụng điện
thoại (giờ)
1;2
2;3
3;4
4;5
Số học sinh
10
30
7
3
Mẫu số liệu này có số mốt là
A. 0. B. 1. C. 2. D. 3.

Đây là bản xem thử, vui lòng mua tài liệu để xem chi tiết (có lời giải)
15
Mọi thắc mắc vui lòng xin liên hệ hotline: 084 283 45 85
Đáp án đúng là: B
Mẫu số liệu đã cho có một nhóm có số học sinh là lớn nhất nên mẫu số liệu này có 1
mốt.
Câu 20. Cho mẫu số liệu ghép nhóm có cỡ mẫu
n
như sau:
Giả sử nhóm chứa trung vị là nhóm thứ
p
:
1
;
pp
aa
,
p
m
là tần số nhóm
p
. Công
thức tính trung vị của mẫu số liệu ghép nhóm này là
A.
11
1
...
2
.
p
e p p p
p
n
mm
M a a a
m
.
B.
11
1
...
4
.
p
e p p p
p
n
mm
M a a a
m
.
C.
11
1
3
...
2
.
p
e p p p
p
n
mm
M a a a
m
.
D.
1
11
2
.
...
p
e p p p
p
n
m
M a a a
mm
.
Đáp án đúng là: A
Công thức tính trung vị của mẫu số liệu ghép nhóm đã cho là
11
1
...
2
.
p
e p p p
p
n
mm
M a a a
m
.
Câu 21. Cho góc
thỏa
3
cot
4
và
0 90 .
Khẳng định nào sau đây đúng?
A.
4
cos .
5
B.
4
cos .
5
C.
4
sin .
5
D.
4
sin .
5
Đáp án đúng là: C

Đây là bản xem thử, vui lòng mua tài liệu để xem chi tiết (có lời giải)
16
Mọi thắc mắc vui lòng xin liên hệ hotline: 084 283 45 85
Ta có
2
2
2
1 3 25
1 cot 1
4
sin .
sin 4 16
5
0 90 sin 0
Câu 22. Biến đổi biểu thức
4sin .sin2 .sin3A x x x
thành tổng.
A.
sin4 cos2 sin6A x x x
. B.
sin4 cos2 sin6A x x x
.
C.
sin4 sin2 sin6A x x x
. D.
sin4 sin2 sin6A x x x
.
Đáp án đúng là: D
Áp dụng quy tắc từ tích sang tổng, ta được:
4sin .sin2 .sin3A x x x
1
4. cos 2 cos 2 sin3
2
x x x x x
2 cos cos3 sin3x x x
2sin3 cos 2sin3 cos3x x x x
1
2. sin 3 sin 3 sin6
2
x x x x x
sin4 sin2 sin6x x x
.
Câu 23. Cho
,
là hai góc nhọn thỏa mãn
1
tan
7
,
3
tan
4
. Góc
có giá trị
bằng
A.
6
. B.
4
. C.
3
. D.
2
.
Đáp án đúng là: B
Ta có:
13
tan tan
74
tan 1
13
1 tan tan 4
1.
74
kk
Mà
,
là hai góc nhọn
4
.
Câu 24. Tìm tập giá trị
T
của hàm số
5 3sin .yx
A.
1;1 .T
B.
3;3 .T
C.
2;8 .T
D.
5;8 .T

Đây là bản xem thử, vui lòng mua tài liệu để xem chi tiết (có lời giải)
17
Mọi thắc mắc vui lòng xin liên hệ hotline: 084 283 45 85
Đáp án đúng là: C
Ta có
1 sin 1 1 sin 1 3 3sin 3x x x
8 5 3sin 2 2 8 2;8 .x y T
Câu 25. Tìm tập xác định
D
của hàm số
cos
.
sin
2
x
y
x
A.
\ , .
2
D k k
Z
B.
\ , .D k k
Z
C.
\ , .
2
D k k
D.
\ 2 , .D k k
Z
Đáp án đúng là: C
Hàm số đã cho xác định
sin 0 , .
2 2 2
x x k x k k
Vậy tập xác định
\ , .
2
D k k
Câu 26. Phương trình
.cos 1 0mx
có nghiệm khi
m
thỏa mãn điều kiện
A.
1
1
m
m
. B.
1m
C.
1m
. D.
1
1
m
m
.
Đáp án đúng là: A
Dễ thấy với
0m
thì phương trình đã cho vô nghiệm.
Với
0m
, ta có:
1
.cos 1 0 cos 1m x x
m
.
Phương trình đã cho có nghiệm
phương trình
1
có nghiệm
1
11
1 1 1
1
m
m
m
mm
(thỏa mãn điều kiện
0m
).
Câu 27. Phương trình
3cot 3 0x
có nghiệm là
A.
6
xk
,
k
. B.
3
xk
,
k
.

Đây là bản xem thử, vui lòng mua tài liệu để xem chi tiết (có lời giải)
18
Mọi thắc mắc vui lòng xin liên hệ hotline: 084 283 45 85
C.
2
3
xk
,
k
. D. Vô nghiệm.
Đáp án đúng là: B
Phương trình
3cot 3 0x
có nghĩa
sin 0 \x x k D k
k
.
Ta có
3
3cot 3 0 cot cot cot
3 3 3
x x x x k
k
.
Câu 28. Trong các dãy số sau, dãy số nào không là dãy số bị chặn?
A.
n
a
với
3
n
n
a
. B.
n
u
với
sin
2
n
un
.
C.
:2,4,6,8,10
n
b
. D.
n
v
với
1
1
n
v
n
.
Đáp án đúng là: A
Ta có:
*
1
0,
2
n
vn
. Suy ra dãy số
n
v
là dãy số bị chặn.
*
1 1,
n
un
. Suy ra dãy số
n
u
là dãy số bị chặn.
2 10, 1;2;3;4;5
n
bn
. Suy ra dãy số
n
b
là dãy số bị chặn.
Lấy số tự nhiên
N
bất kỳ, tồn tại
1nN
sao cho
1
1
3
N
nN
a a N
. Suy ra
dãy số
n
a
không là dãy số bị chặn trên.
Câu 29. Xét dãy số :
1 1 1 1
1, , , , ...
2 4 8 16
. Tìm công thức số hạng tổng quát của dãy số trên.
A.
1
2
n
n
a
. B.
1
1
2
n
n
b
.
C.
13
22
n
cn
. D.
2
1 7 7
8 8 4
n
d n n
.
Đáp án đúng là: B
Ta có:
1
1
2
a
. Loại A.
3
0c
. Loại C.

Đây là bản xem thử, vui lòng mua tài liệu để xem chi tiết (có lời giải)
19
Mọi thắc mắc vui lòng xin liên hệ hotline: 084 283 45 85
4
1
4
d
. Loại D.
Câu 30. Cho dãy số
n
u
có:
1
1
3;
2
ud
. Khẳng định nào sau đây là đúng?
A.
1
31
2
n
un
. B.
1
31
2
n
un
.
C.
1
31
2
n
un
. D.
1
31
4
n
u n n
.
Đáp án đúng là: C
Sử dụng công thức SHTQ
1
1 2 .
n
u u n d n
Ta có:
1
31
2
n
un
.
Câu 31. Một rạp hát có 30 dãy ghế, dãy đầu tiên có 25 ghế. Mỗi dãy sau có hơn dãy
trước 3 ghế. Hỏi rạp hát có tất cả bao nhiêu ghế?
A.
1635.
B.
1792
. C.
2055
. D.
3125
.
Đáp án đúng là: C
Số ghế của mỗi dãy (bắt đầu từ dãy đầu tiên) theo thứ tự đó lập thành một cấp số
cộng có 30 số hạng có công sai
3d
và
1
25.u
Tổng số ghế là
30 3 1012
30.29
30 2055
2
S u u u du
.
Câu 32. Cho cấp số nhân
n
u
có
1
3u
yà
2q
. Tống
n
số hạng đầu tiên của cấp
số nhân đã cho bằng
1533
. Tìm
.n
A.
9n
. B.
10n
. C.
11n
. D.
12n
.
Đáp án đúng là: A
Ta có
1
1
1533
1
n
n
q
Su
q
12
3
12
n
3 2 1
n
9
2 512 2 9
n
n
.

Đây là bản xem thử, vui lòng mua tài liệu để xem chi tiết (có lời giải)
20
Mọi thắc mắc vui lòng xin liên hệ hotline: 084 283 45 85
Câu 33. Cho cấp số nhân
n
u
có các số hạng khác không, tìm
1
u
biết:
1 2 3 4
2222
1 2 3 4
15
85
u u u u
uuuu
.
A.
11
1, 2uu
. B.
11
1, 8uu
. C.
11
1, 5uu
. D.
11
1, 9.uu
Đáp án đúng là: B
Ta có:
4
23
1
1
2 2 4 6
8
2
1
1
2
1
15
(1 ) 15
1
1 85
1
85
1
q
u
u q q q
q
u q q q
q
u
q
2
42
8
1 1 45
.
1 1 17
qq
qq
4
4
2
11
45
1
1 1 17
2
q
qq
qq
q
Từ đó ta tìm được
11
1, 8uu
.
Câu 34. Tìm hiểu thời gian chạy cự li 1000 m (đơn vị: giây) của các bạn học sinh
trong một lớp thu được kết quả sau:
Mốt của mẫu số liệu ghép nhóm này là
A.
131,02
o
M
. B.
130,23
o
M
.
C.
129,02
o
M
. D.
132,04
o
M
.
Đáp án đúng là: B
Tần số lớn nhất của mẫu số liệu trên là 15 nên nhóm chứa mốt là
129;131
.
Ta có:
3j
,
3
129a
,
3
15m
,
24
7, 10mm
,
2h
. Do đó:

Đây là bản xem thử, vui lòng mua tài liệu để xem chi tiết (có lời giải)
21
Mọi thắc mắc vui lòng xin liên hệ hotline: 084 283 45 85
15 7
129 .2 130,23
15 7 15 10
o
M
.
Câu 35. Cho mẫu số liệu ghép nhóm về khối lượng (đơn vị: gram) của
30
củ khoai
từ như sau:
Tứ phân vị thứ nhất của mẫu số liệu ghép nhóm này là
A.
1
85,5Q
. B.
1
87,5Q
. C.
1
86,5Q
. D.
1
86,75Q
.
Đáp án đúng là: B
Cỡ mẫu:
3 6 12 6 3 30n
.
Tứ phân vị thứ nhất
1
Q
là
8
x
. Do
8
x
thuộc nhóm
80;90
nên nhóm này chứa
1
Q
.
Do đó:
2p
,
2
80a
,
2
6m
,
1
3m
,
32
10aa
. Ta có:
1
30
3
4
80 .10 87,5
6
Q
.
III. Hướng dẫn giải tự luận
Bài 1. (1 điểm) Giải các phương trình lượng giác sau:
a)
22
sin 5sin cos 6cos 6x x x x
.
b)
cos3 sin2 cos 0x x x
.
Lời giải:
a)
22
sin 5sin cos 6cos 6x x x x
TH1:
2
cos 0 sin 1,xx
khi đó phương trình trở thành
16
(vô nghiệm).
TH2:
cos 0.x
Chia cả 2 vế của phương trình cho
2
cos x
, ta được:
2 2 2
tan 5tan 6 6 1 tan 5tan 5tan 0x x x x x
tan 0
5tan tan 1 0
tan 1
4
xk
x
x x k
x
xk

Đây là bản xem thử, vui lòng mua tài liệu để xem chi tiết (có lời giải)
22
Mọi thắc mắc vui lòng xin liên hệ hotline: 084 283 45 85
Vậy nghiệm của hệ phương trình là
;.
4
S k k k
b)
cos3 sin2 cos 0x x x
cos3 cos sin2 0x x x
2sin2 sin sin2 0
sin2 2sin 1 0
x x x
xx
2
2
sin2 0
22
1
66
sin
2
77
22
66
k
x
xk
x
x k x k k
x
x k x k
Vậy tập nghiệm của phương trình là:
7
; 2 ; 2 .
2 6 6
k
S k k k
Bài 2. (1 điểm) Nhiệt độ ngoài trời ở một thành phố vào các thời điểm khác nhau
trong ngày có thể được mô phỏng bởi công thức
29 3sin 9
12
h t t
với
h
tính
bằng độ
C
và
t
là thời gian trong ngày tính bằng giờ. Nhiệt độ thấp nhất trong ngày
là bao nhiêu độ
C
và vào lúc mấy giờ?
Lời giải
Vì 1 sin 9 1 nên 29 3. 1 29 3sin 9 29 3.1
12 12
tt
26 29 3sin 9 32
12
26 32
t
ht
Nhiệt độ thấp nhất trong ngày là
26 C
khi:

Đây là bản xem thử, vui lòng mua tài liệu để xem chi tiết (có lời giải)
23
Mọi thắc mắc vui lòng xin liên hệ hotline: 084 283 45 85
29 3sin 9 26 sin 9 1
12 12
sin 9 sin
12 2
9 2 ,
12 2
3 24 ,
tt
t
t k k
t k k
Z
Z
Vì vậy vào thời điểm
3
giờ trong ngày thì nhiều độ thấp nhất của thành phố là
26 C
.
Bài 3. (1 điểm) Biết rằng tồn tại đúng ba giá trị
1 2 3
,,m m m
của tham số
m
để phương
trình
3 2 3 2
9 23 4 9 0x x x m m m
có ba nghiệm phân biệt lập thành một cấp
số cộng. Tính giá trị của biểu thức
333
1 2 3
P m m m
.
Lời giải:
Phương trình đã cho có 3 nghiệm phân biệt thì điều kiện cần là:
9
3
33
b
a
là
nghiệm của phương trình.
Suy ra
3 2 3 2
3 9.3 23.3 4 9 0m m m
32
4 6 0m m m
1
2
3
m
m
m
Với
1, 2, 3m m m
thì
32
4 6 0m m m
nên
32
4 9 15m m m
.
Do vậy, với
1, 2, 3m m m
ta có phương trình
3 2 2
9 23 15 0 3 6 5 0x x x x x x
1, 3, 5x x x
.
Ba số 1, 3, 5 lập thành cấp số cộng.
Vậy
1, 2, 3m m m
là các giá trị cần tìm.
Do đó
3
33
1 2 3 34
.