CHỦ ĐỀ 6. VECTƠ VÀ PHƯƠNG PHÁP TỌA ĐỘ TRONG KHÔNG GIAN I. KIẾN THỨC CƠ BẢN 1. Vectơ trong không gian 1.1. Định nghĩa
Vectơ trong không gian là một đoạn thẳng có hướng. 1.2. Các khái niệm
Tương tự như vectơ trong mặt phẳng, đối với vectơ trong không gian, ta cũng có các kí hiệu và các khái niệm sau:
– Với vectơ AB , ta có:
+ Điểm A là điểm đầu; điểm B là điểm cuối.
+ Hướng của vectơ AB : Từ A đến B .
+ Đường thẳng d đi qua hai điểm A và B gọi là giá của vectơ AB .
+ Độ dài của vectơ AB , kí hiệu AB , là độ dài của đoạn thẳng AB .
– Khi không cần chỉ rõ điểm đầu và điểm cuối của vectơ thì vectơ còn được kí hiệu là a, , b x, y,. .
– Hai vectơ được gọi là cùng phương nếu chúng có giá song song hoặc trùng nhau.
– Nếu hai vectơ cùng phương thì chúng có cùng hướng hoặc ngược hướng.
– Hai vectơ a và b được gọi là bằng nhau, kí hiệu a b , nếu chúng cùng hướng và cùng độ dài.
2. Các phép toán vectơ trong không gian
2.1. Tổng của hai vectơ
Trong không gian, cho hai vectơ a , b .
Lấy một điểm A tùy ý, vẽ AB a, BC b . Vectơ AC được gọi là tổng của hai vectơ a và b , kí hiệu là
AC a b . Quy tắc cộng Với ba điểm ,
A B,C bất kì, ta có AB BC AC .
Quy tắc hình bình hành
Cho hình bình hành ABCD, ta có AB AD AC . Quy tắc hình hộp
Cho hình hộp ABC . D A B C D .
Ta có AB AD AA AC .
2.2. Hiệu của hai vectơ
Vectơ có cùng độ dài và ngược hướng với vectơ a gọi là vectơ đối của vectơ a , kí hiệu là a .
Vectơ BA là một vectơ đối của vectơ AB , được viết là BA AB .
Vectơ a b được gọi là hiệu của hai vectơ a và b , kí hiệu là a b. Quy tắc trừ Với ba điểm O, ,
A B bất kì, ta có: OA OB BA.
2.3. Tích của một số với một vectơ
Trong không gian, cho số thực k 0 và vectơ a 0 . Tích của một số k với vectơ a là một vectơ, kí
hiệu là ka , được xác định như sau:
– Cùng hướng với vectơ a nếu k 0, ngược hướng với vectơ a nếu k 0 ;
– Có độ dài bằng k a . Nhận xét:
– Ta có ka 0 khi và chỉ khi k 0 hoặc a 0 .
– Hai vectơ a, b khác 0 là cùng phương khi và chỉ khi có một số thực k 0 sao cho a kb .
– Điều kiện cần và đủ để ba điểm phân biệt ,
A B, C thẳng hàng là tồn tại số thực k 0 sao cho AB k AC .
Tính chất: Với hai vectơ a, b và hai số thực , h k , ta có:
k a b ka kb ;
k a b ka kb ;
h k a ha ka ;
hka hka ; 1a a ;
1a a . Chú ý:
Quy tắc trung điểm
Nếu I là trung điểm của đoạn thẳng AB thì IA IB 0 .
Với mọi điểm M thì MA MB 2MI .
Quy tắc trọng tâm của tam giác
Nếu G là trọng tâm của tam giác ABC thì GA GB GC 0 .
Với mọi điểm M thì MA MB MC 3MG .
Quy tắc trọng tâm của tứ diện
Nếu G là trọng tâm của tứ diện ABCD thì GA GB GC GD 0 .
Với mọi điểm M thì MA MB MC MD 4MG .
Mở rộng: Trong không gian, cho ba điểm ,
A B,C và bộ số m,n, p m n p 0 .
– Tồn tại duy nhất điểm I sao cho mIA nIB pIC 0 .
– Với mọi điểm M thì mMA nMB pMC m n p MI .
2.4. Tích vô hướng của hai vectơ a) Góc giữa hai vectơ
Trong không gian, cho hai vectơ a và b đều khác 0 . Lấy một điểm A bất kì, gọi B và C là hai điểm
sao cho AB a, AC b. Khi đó, ta gọi BAC là góc giữa hai vectơ a và b , kí hiệu là a,b.
b) Tích vô hướng của hai vectơ
Trong không gian, cho hai vectơ a và b đều khác 0 . Tích vô hướng của hai vectơ a và b , kí hiệu là a b ,
là một số thực được xác định bởi công thức: ab a b cosa,b, ở đó a,b là góc giữa hai vectơ a , b . Chú ý:
– Quy ước nếu a 0 hoặc b 0 thì a b 0 .
– Với hai vectơ a và b đều khác 0 , ta có a b a b 0
– Với hai vectơ a và b đều khác 0 , ta có cos , ab a b . a b
Tính chất: Với các vectơ a , b , c và số thực k tùy ý, ta có:
a b ba ;
a b c ab ac ;
kab k ab akb; 2 a 0 , trong đó 2
a aa . Ngoài ra, 2
a 0 a 0.
3. Tọa độ của vectơ và biểu thức tọa độ của các phép toán vectơ
3.1. Hệ trục tọa độ trong không gian
Trong không gian, hệ gồm ba trục Ox,Oy,Oz đôi một vuông góc với
nhau và các vectơ đơn vị i, j,k lần lượt trên các trục Ox,Oy,Oz được
gọi là hệ trục tọa độ Descartes vuông góc Oxyz hay đơn giản là hệ tọa độ Oxyz .
– Điểm O được gọi là gốc tọa độ.
– Các trục Ox,Oy,Oz được gọi là các trục tọa độ.
– Các mặt phẳng Oxy,Oyz,Oxz được gọi là các mặt phẳng tọa độ.
– Không gian với hệ tọa độ Oxyz còn được gọi là không gian Oxyz .
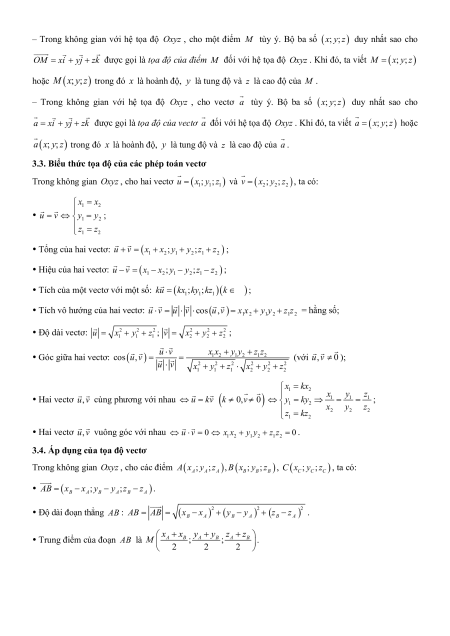
3.2. Tọa độ của điểm, tọa độ của vectơ trong không gian
– Trong không gian với hệ tọa độ Oxyz , cho một điểm M tùy ý. Bộ ba số ;
x y; z duy nhất sao cho
OM xi yj zk được gọi là tọa độ của điểm M đối với hệ tọa độ Oxyz . Khi đó, ta viết M ; x y; z hoặc M ; x ;
y z trong đó x là hoành độ, y là tung độ và z là cao độ của M .
– Trong không gian với hệ tọa độ Oxyz , cho vectơ a tùy ý. Bộ ba số ;
x y; z duy nhất sao cho
a xi yj zk được gọi là tọa độ của vectơ a đối với hệ tọa độ Oxyz . Khi đó, ta viết a x; y; z hoặc a ; x ;
y z trong đó x là hoành độ, y là tung độ và z là cao độ của a .
3.3. Biểu thức tọa độ của các phép toán vectơ
Trong không gian Oxyz , cho hai vectơ u x ; y ; z và v x ; y ; z , ta có: 2 2 2 1 1 1 x x 1 2
u v y y ; 1 2 z z 1 2
Tổng của hai vectơ: u v x x ; y y ;z z ; 1 2 1 2 1 2
Hiệu của hai vectơ: u v x x ; y y ;z z ; 1 2 1 2 1 2
Tích của một vectơ với một số: ku kx ;ky ;kz k ; 1 1 1
Tích vô hướng của hai vectơ: u v u v cos u,v x x y y z z = hằng số; 1 2 1 2 1 2 Độ dài vectơ: 2 2 2 2 2 2
u x y z ; v x y z ; 1 1 1 2 2 2 u v
x x y y z z
Góc giữa hai vectơ: cos u,v 1 2 1 2 1 2
(với u,v 0 ); 2 2 2 2 2 2 u v
x y z x y z 1 1 1 2 2 2 x kx 1 2 x y z
Hai vectơ u,v cùng phương với nhau u kv k 0,v 0 1 1 1
y ky ; 1 2 x y z 2 2 2 z kz 1 2
Hai vectơ u,v vuông góc với nhau u v 0 x x y y z z 0 . 1 2 1 2 1 2
3.4. Áp dụng của tọa độ vectơ
Trong không gian Oxyz , cho các điểm Ax y z B x y z , C x y z , ta có:
C ; C ; C
A; A; A ,
B; B; B
AB x x y y z z . B A ; B A ; B A
Độ dài đoạn thẳng AB : AB AB x x 2 y y 2 z z 2 . B A B A B A
x x y y z z
Trung điểm của đoạn AB là A B M ; A B ; A B . 2 2 2
Chuyên đề Vectơ và phương pháp tọa độ trong không gian (Ôn thi Tốt nghiệp Toán 2025)
103
52 lượt tải
MUA NGAY ĐỂ XEM TOÀN BỘ TÀI LIỆU
CÁCH MUA:
- B1: Gửi phí vào TK:
1053587071
- NGUYEN VAN DOAN - Ngân hàng Vietcombank (QR) - B2: Nhắn tin tới Zalo VietJack Official ( nhấn vào đây ) để xác nhận thanh toán và tải tài liệu - giáo án
Liên hệ ngay Hotline hỗ trợ: 084 283 45 85
Đề thi được cập nhật thêm mới liên tục hàng năm sau mỗi kì thi trên cả nước. Chúng tôi đảm bảo đủ số lượng đề đã cam kết hoặc có thể nhiều hơn, tất cả có BẢN WORD, LỜI GIẢI CHI TIẾT và tải về dễ dàng.
Để tải tài liệu gốc về máy bạn click vào nút Tải Xuống ở trên!
Thuộc bộ (mua theo bộ để tiết kiệm hơn):
- Tailieugiaovien.com.vn giới thiệu Chuyên đề Vectơ và phương pháp tọa độ trong không gian ôn thi Toán tốt nghiệp THPT năm 2025 theo cấu trúc mới có hướng dẫn giải chi tiết nhằm giúp Giáo viên có thêm tài liệu tham khảo ra đề thi.
- File word có lời giải chi tiết 100%.
- Mua trọn bộ sẽ tiết kiệm hơn tải lẻ 50%.
Đánh giá
4.6 / 5(103 )5
4
3
2
1

Trọng Bình
Tài liệu hay
Giúp ích cho tôi rất nhiều

Duy Trần
Tài liệu chuẩn
Rất thích tài liệu bên VJ soạn (bám sát chương trình dạy)