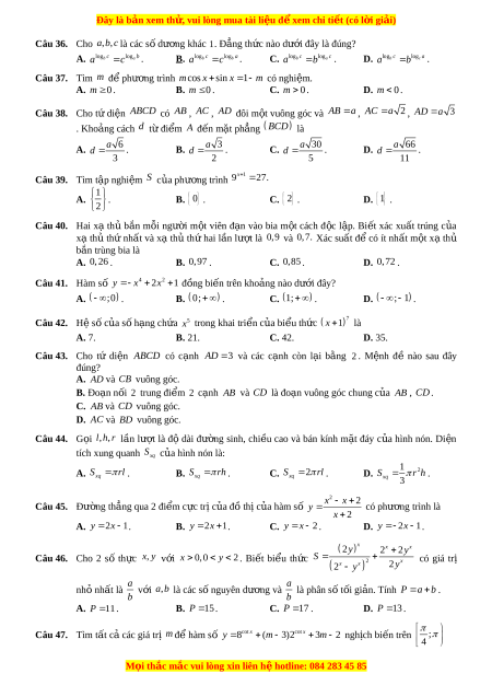
Đây là bản xem th , vu ử i lòng mua tài li u ệ đ xe ể m chi ti t ế (có l i ờ gi i ả ) S G Ở IÁO D C Ụ VÀ ĐÀO T O Ạ QU N Ả G NAM THI TH Ử THPT QU C Ố GIA L N Ầ 1
THPT CHUYÊN LÊ THÁNH TÔNG NĂM H C Ọ 2020 – 2021 MÔN THI: TOÁN Th i
ờ gian: 90 phút (Không k t ể h i ờ gian phát đ ) ề Câu 1. Hàm s nà ố o dư i ớ đây đ ng bi ồ n ế trên kho ng ả 0; ? y l og x A. y l og x y x y l og x 3 . B. log e . C. 2 . D. 2 2 . e 3 Câu 2. V i ớ giá trị nào c a
ủ tham số m thì phư ng ơ trình x x 1 4 (m 1).2 3m 4 0 có hai nghi m ệ x , x x x 3 1 2 th a ỏ mãn 1 2 ? 1 7 A. m 3 . B. m 4 . C. m . D. m . 2 3 Câu 3.
Cho hình chóp S.ABCD có đáy là hình thoi c nh ạ a , ABC 6 0 , SB S D S
A , H là hình chiếu c a
ủ S trên mặt phẳng ABCD . Tính khoảng cách gi a ữ hai đư ng
ờ thẳng SH và AB . a 7 a 3 a 3 a 3 A. . B. . C. . D. . 7 7 2 4 5 Câu 4. T nh ị ti n ế liên ti p
ế đồ thị hàm số y theo tr c ụ Oy lên trên 2 đ n
ơ vị và theo Ox sang x 2 trái 3 đ n ơ vị ta đư c ợ đ ồ th ịhàm s
ố y g x . Có bao nhiêu đi m ể trên đ
ồ th ị y g x có các t a ọ đ đ ộ u l ề à s nguyê ố n? A. 4. B. 2. C. 1. D. 0. Câu 5. Tính di n
ệ tích xung quanh hình trụ bi t ế hình trụ có đư ng
ờ kính đáy là 2a và đư ng ờ cao là a 3 . A. 2 a 3. B. 2 2 a 3. C. 2 2 a . D. 2 4 a 3. Câu 6. Cho mặt cầu có di n t ệ ích b ng ằ 2 16 (cm ). Đư ng kí ờ nh mặt cầu đó là A. 2 3 c . m B. 4 3 c . m C. 4 c . m D. 2 . cm Câu 7. Cho cấp s c ố ng ộ u u 2 u . n có s h
ố ạng đầu 1 , công sai d 3 . Tính 3 A. 10 . B. 18 . C. 8 . D. 5 . 2
x 5x m 6 Câu 8.
Có bao nhiêu số nguyên không âm m để hàm số f (x) đ ng ồ bi n ế trên x 2 1; ? A. 10. B. 9. C. 1. D. 5. Câu 9.
Cho hình chóp S.ABC có đáy ABC là tam giác đ u, ề AB a , SA 2
a và SA tạo v i ớ m t ặ đáy góc 0 60 . Tính thể tích kh i ố chóp S.ABC. 3 a 3 a 3 a 3 3 a A. . B. . C. . D. . 8 4 12 16 Câu 10. G i ọ , m n lần lư t ợ là giá trị l n ớ nh t ấ , giá trị nhỏ nh t ấ c a
ủ hàm số y x 2 trên 2; 1 . Tính m . n A. 8 . B. 5 . C. 7 . D. 6 . M i ọ thắc m c
ắ vui lòng xin liên h h
ệ otline: 084 283 45 85
Đây là bản xem th , vu ử i lòng mua tài li u ệ đ xe ể m chi ti t ế (có l i ờ gi i ả ) e
Câu 11. Tập xác đ nh c ị a ủ hàm số y 2
3x x là 1 A. ; 0 3; . B. 0; . C. 0;3 . D. 0; 3 . 3 Câu 12. Tìm t ng ổ các nghi m ệ c a ủ phư ng ơ trình log x log x 1 1 . 12 12 A. 3 . B. 1. C. 1. D. 4 . Câu 13. V i ớ a 0, a 1 , ch n m ọ ệnh đ đúng. ề x a A. x x a a x . B. x x a a log a . C. a . D. x x a a .ln a . ln a Câu 14. Cho hàm số 3
y x x có đồ thị C . G i
ọ M , N là hai đi m ể phân bi t
ệ trên C và các ti p ế
tuyến tại M , N song song v i
ớ nhau. Tính x x M N . A. 1. B. 2 . C. 0 . D. 2 . Câu 15. Đư ng c ờ ong trong hình v bê ẽ n là đồ th c ị a ủ hàm s c ố ó dạng 3 2 y a
x bx cx d a 0 Hàm s đ ố ng bi ồ n t ế rên khoảng nào dư i ớ đây? A. 3; 1 . B. 1; 1 . C. 1; .
D. 1; . x m
Câu 16. Tìm m để hàm s ố y đ ng ồ bi n t ế rên t ng ừ kho ng xá ả c đ nh ị c a ủ nó. x 1
A. m 1; .
B. m ; 1 .
C. m 1; .
D. m ; 1 . Câu 17. Cho tứ di n ệ ABCD . G i ọ G là tr ng
ọ tâm ACD và M là đi m ể trên c nh ạ AC sao cho AM 4 AC 5 . V Tính ABMG . VABCD 1 2 1 4 A. . B. . C. . D. . 3 5 4 15 1 1 3 2 2 2 Câu 18. G i ọ x , x x x . 1 2 là hai điểm c c ự tr c ị a ủ hàm s ố y x x 4x 10 3 2 . Tính 1 2 A. 8 . B. 9 . C. 7 . D. 6 . Câu 19. Đ t ồ hị nào dư i ớ đây là đ t ồ hị c a ủ hàm s ố 4 2
y x 2x ? M i ọ thắc m c
ắ vui lòng xin liên h h
ệ otline: 084 283 45 85
Đây là bản xem th , vu ử i lòng mua tài li u ệ đ xe ể m chi ti t ế (có l i ờ gi i ả ) Hình 1. Hình 2. Hình 3. Hình 4. A. Hình 4. B. Hình 1. C. Hình 2. D. Hình 3.
Câu 20. Xếp ngẫu nhiên 6 h c ọ sinh nam và 3 h c ọ sinh n ữ thành m t
ộ hàng ngang. Tính xác su t ấ đ ể có đúng 2 h c ọ sinh nam đ ng ứ xen k v ẽ i ớ 3 h c ọ sinh n . ữ 5 2 12 5 A. . B. . C. . D. . 12 17 37 84
Câu 21. Trong các hàm s s ố au, hàm s nà ố o có giá trị nh nh ỏ ất trên t p xá ậ c đ nh ị c a ủ nó. 1 A. 2 y 1 x x . B. 2 y 1
x x .
C. y x . D. 3
y x 20x 21. x
Câu 22. Tìm tất cả các giá trị th c ự c a
ủ tham số m để phư ng ơ trình 2
log x m 2 log x 3m 1 0 2 2 có hai nghi m ệ x ; x x .x 8 1 2 sao cho 1 2 . 4 A. m 6 . B. m 1 . C. m 3 . D. m . 3
Câu 23. Cho các hàm s ố x y a ; y l og x y x b ; logc có đ t ồ hị nh hì ư nh vẽ Ch n ọ m nh đ ệ đúng? ề
A. b c a .
B. a c b .
C. c b a .
D. c a b . Câu 24. Hàm s ố y s in x đ ng bi ồ ến trên khoảng nào? 3 A. ;0 . B. ; . C. ; . D. 0; . 2 2 2 x Câu 25. Đ t ồ hị hàm s ố f (x) có tiệm cận đ ng l ứ à đư ng t ờ hẳng x 2 M i ọ thắc m c
ắ vui lòng xin liên h h
ệ otline: 084 283 45 85
Đây là bản xem th , vu ử i lòng mua tài li u ệ đ xe ể m chi ti t ế (có l i ờ gi i ả ) A. y 1 . B. x 2 . C. x 2 . D. y 2 .
Câu 26. Cho hình nón đ nh
ỉ S đáy là đư ng
ờ tròn tâm O bán kính R 5 , góc ở đ nh ỉ b ng ằ 60o . M t ộ mặt phẳng đi qua đ nh ỉ S cắt đư ng ờ tròn đáy t i ạ hai đi m
ể A và B sao cho AB 8 . Tính khoảng cách t
ừ O đến SAB . 3 13 15 7 15 13 15 34 A. . B. . C. . D. . 4 14 26 34 2 x 3x 1 Câu 27. Đ t ồ hị hàm s ố f (x) có bao nhiêu đư ng ờ ti m ệ cận? 2 x 3x A. 1. B. 3. C. 4. D. 2.
Câu 28. Cho hàm số y 2 3
f (x) có đạo hàm trên R và f ( x)
x 19 x 20 x
21 . Hàm số f (x) có bao nhiêu điểm c c ự tr ? ị A. 3. B. 1. C. 4. D. 2.
Câu 29. Cho đồ th hà ị
m bậc ba y f x như hình v bê ẽ n. Phư ng t ơ
rình f x 3
2 2 có bao nhiêu nghi m ệ ? A. 2 nghiệm. B. 3 nghi m ệ . C. 0 nghi m ệ . D. 1 nghiệm. Câu 30. Phư ng ơ trình ti p ế tuy n c ế a ủ đ t ồ h hà ị m s ố 3
y x 2x 3 tại đi m ể có hoành đ ộ x 2 là A. y 7 x 7 .
B. y x 5 . C. y 1 0x 27 . D. y 1 0x 13 . Câu 31. Bi t
ế f x là tam th c ứ b c ậ hai có các nghi m ệ là 2, 1. Tính t n ổ g các nghi m ệ c a
ủ f x 2 . A. 3 . B. 3 . C. 5 . D. 1.
Câu 32. Có bao nhiêu mặt phẳng cách đ u t ề ất cả các đ nh ỉ c a ủ m t ộ hình lăng tr t ụ am giác? A. 1. B. 2 . C. 4 . D. 3 .
Câu 33. Trong không gian cho hình chữ nh t
ậ ABCD có AB 1 và AD 2 . G i
ọ M và N lần lư c ợ là trung đi m ể c a
ủ AD và BC . Cho hình chữ nh t ậ và ph n ầ trong c a ủ nó quay quanh tr c ụ MN . Tính th t ể ích kh i ố tr t ụ o t ạ hành. A. . B. 2 . C. . D. . 2 3 Câu 34. Cho kh i ố chóp tứ giác đ u ề n i ộ ti p ế trong kh i ố c u ầ có bán kính b ng ằ R 9 . Tính chi u ề cao h c a ủ kh i ố chóp đ t ể hể tích kh i ố chóp l n ớ nh t ấ . A. h 12 . B. h 9 . C. h 10 . D. h 14 .
Câu 35. Giải bất phư ng
ơ trình log 4x 1 1 3 . 1 1 1 A. x . B. x 1. C. x 2 . D. x 1. 4 4 4 M i ọ thắc m c
ắ vui lòng xin liên h h
ệ otline: 084 283 45 85
Đề thi thử Toán trường Chuyên Lê Thánh Tông năm 2021
360
180 lượt tải
MUA NGAY ĐỂ XEM TOÀN BỘ TÀI LIỆU
CÁCH MUA:
- B1: Gửi phí vào TK:
1053587071
- NGUYEN VAN DOAN - Ngân hàng Vietcombank (QR) - B2: Nhắn tin tới Zalo VietJack Official ( nhấn vào đây ) để xác nhận thanh toán và tải tài liệu - giáo án
Liên hệ ngay Hotline hỗ trợ: 084 283 45 85
Đề thi được cập nhật liên tục trong gói này từ nay đến hết tháng 6/2023. Chúng tôi đảm bảo đủ số lượng đề đã cam kết hoặc có thể nhiều hơn, tất cả có BẢN WORD, LỜI GIẢI CHI TIẾT và tải về dễ dàng.
Để tải tài liệu gốc về máy bạn click vào nút Tải Xuống ở trên!
Thuộc bộ (mua theo bộ để tiết kiệm hơn):
- Tailieugiaovien.com.vn giới thiệu Đề thi thử Toán trường Chuyên Lê Thánh Tông năm 2021 bản word có lời giải chi tiết.
- Mua trọn bộ sẽ tiết kiệm hơn tải lẻ 50%.
Đánh giá
4.6 / 5(360 )5
4
3
2
1

Trọng Bình
Tài liệu hay
Giúp ích cho tôi rất nhiều

Duy Trần
Tài liệu chuẩn
Rất thích tài liệu bên VJ soạn (bám sát chương trình dạy)
TÀI LIỆU BỘ BÁN CHẠY MÔN Toán Học
Xem thêmTÀI LIỆU BỘ BÁN CHẠY Tốt nghiệp THPT
Xem thêmTài liệu bộ mới nhất

Đây là b n xem th , vui lòng mua tài li u đ xem chi ti t (có l i gi i)ả ử ệ ể ế ờ ả
S GIÁO D C VÀ ĐÀO T O QU NG NAMỞ Ụ Ạ Ả
THPT CHUYÊN LÊ THÁNH TÔNG
THI TH THPT QU C GIA L N 1Ử Ố Ầ
NĂM H C 2020 – 2021Ọ
MÔN THI: TOÁN
Th i gian: 90 phút (Không k th i gian phát đ )ờ ể ờ ề
Câu 1. Hàm s nào d i đây đ ng bi n trên kho ng ố ướ ồ ế ả
0;
?
A.
3
log
e
y x
. B.
log
e
y x
. C.
2
logy x
. D.
2 2
3
logy x
.
Câu 2. V i giá tr nào c a tham s ớ ị ủ ố
m
thì ph ng trình ươ
1
4 ( 1).2 3 4 0
x x
m m
có hai nghi mệ
1 2
,x x
th a mãn ỏ
1 2
3x x
?
A.
3m
. B.
4m
. C.
1
2
m
. D.
7
3
m
.
Câu 3. Cho hình chóp
.S ABCD
có đáy là hình thoi c nh ạ
a
,
60ABC
,
SB SD SA
,
H
là hình
chi u c a ế ủ
S
trên m t ph ng ặ ẳ
ABCD
. Tính kho ng cách gi a hai đ ng th ng ả ữ ườ ẳ
SH
và
AB
.
A.
7
7
a
. B.
3
7
a
. C.
3
2
a
. D.
3
4
a
.
Câu 4. T nh ti n liên ti p đ th hàm s ị ế ế ồ ị ố
y
5
2x
theo tr c Oy lên trên 2 đ n v và theo ụ ơ ị
Ox
sang
trái 3 đ n v ta đ c đ th hàm s ơ ị ượ ồ ị ố
y g x
. Có bao nhiêu đi m trên đ th ể ồ ị
y g x
có các
t a đ đ u là s nguyên?ọ ộ ề ố
A. 4. B. 2. C. 1. D. 0.
Câu 5. Tính di n tích xung quanh hình tr bi t hình tr có đ ng kính đáy là ệ ụ ế ụ ườ
2a
và đ ng cao làườ
3a
.
A.
2
3.a
B.
2
2 3.a
C.
2
2 .a
D.
2
4 3.a
Câu 6. Cho m t c u có di n tích b ng ặ ầ ệ ằ
2
16 (cm ).
Đ ng kính m t c u đó làườ ặ ầ
A.
2 3 .cm
B.
4 3 .cm
C.
4 .cm
D.
2 .cm
Câu 7. Cho c p s c ng ấ ố ộ
n
u
có s h ng đ u ố ạ ầ
1
2u
, công sai
3d
. Tính
3
.u
A.
10
. B.
18
. C.
8
. D.
5
.
Câu 8. Có bao nhiêu s nguyên không âm ố
m
đ hàm s ể ố
2
5 6
( )
2
x x m
f x
x
đ ng bi n trênồ ế
1;
?
A. 10. B. 9. C. 1. D. 5.
Câu 9. Cho hình chóp
.S ABC
có đáy
ABC
là tam giác đ u, ề
, 2AB a SA a
và
SA
t o v i m t đáyạ ớ ặ
góc
0
60 .
Tính th tích kh i chóp ể ố
. .S ABC
A.
3
8
a
. B.
3
4
a
. C.
3
3
12
a
. D.
3
16
a
.
Câu 10. G i ọ
,m n
l n l t là giá tr l n nh t, giá tr nh nh t c a hàm s ầ ượ ị ớ ấ ị ỏ ấ ủ ố
2y x
trên
2; 1 .
Tính
.m n
A.
8
. B.
5
. C.
7
. D.
6
.
M i th c m c vui lòng xin liên h hotline: 084 283 45 85ọ ắ ắ ệ

Đây là b n xem th , vui lòng mua tài li u đ xem chi ti t (có l i gi i)ả ử ệ ể ế ờ ả
Câu 11. T p xác đ nh c a hàm s ậ ị ủ ố
2
3
e
y x x
là
A.
;0 3; .
B.
1
0;
3
. C.
0;3
. D.
0;3
.
Câu 12. Tìm t ng các nghi m c a ph ng trình ổ ệ ủ ươ
12 12
log log 1 1.x x
A.
3
. B.
1
. C.
1
. D.
4
.
Câu 13. V i ớ
0, 1a a
, ch n m nh đ đúng.ọ ệ ề
A.
x x
a a
. B.
log
x x
a a a
. C.
ln
x
x
a
a
a
. D.
.ln
x x
a a a
.
Câu 14. Cho hàm s ố
3
y x x
có đ th ồ ị
C
. G i ọ
,M N
là hai đi m phân bi t trên ể ệ
C
và các ti pế
tuy n t iế ạ
,M N
song song v i nhau. Tính ớ
M N
x x
.
A.
1
. B.
2
. C.
0
. D.
2
.
Câu 15. Đ ng cong trong hình v bên là đ th c a hàm s có d ng ườ ẽ ồ ị ủ ố ạ
3 2
0y ax bx cx d a
Hàm s đ ng bi n trên kho ng nào d i đây?ố ồ ế ả ướ
A.
3;1
. B.
1;1
. C.
1;
. D.
1;
.
Câu 16. Tìm
m
đ hàm s ể ố
1
x m
y
x
đ ng bi n trên t ng kho ng xác đ nh c a nó.ồ ế ừ ả ị ủ
A.
1;m
. B.
; 1m
. C.
1;m
. D.
; 1m
.
Câu 17. Cho t di n ứ ệ
ABCD
. G i ọ
G
là tr ng tâm ọ
ACD
và
M
là đi m trên c nh ể ạ
AC
sao cho
4
5
AM
AC
.
Tính
ABMG
ABCD
V
V
.
A.
1
3
. B.
2
5
. C.
1
4
. D.
4
15
.
Câu 18. G i ọ
1 2
,x x
là hai đi m c c tr c a hàm s ể ự ị ủ ố
3 2
1 1
4 10
3 2
y x x x
. Tính
2 2
1 2
.x x
A.
8
. B.
9
. C.
7
. D.
6
.
Câu 19. Đ th nào d i đây là đ th c a hàm s ồ ị ướ ồ ị ủ ố
4 2
2y x x
?
M i th c m c vui lòng xin liên h hotline: 084 283 45 85ọ ắ ắ ệ

Đây là b n xem th , vui lòng mua tài li u đ xem chi ti t (có l i gi i)ả ử ệ ể ế ờ ả
Hình 1. Hình 2. Hình 3. Hình 4.
A. Hình 4. B. Hình 1. C. Hình 2. D. Hình 3.
Câu 20. X p ng u nhiên 6 h c sinh nam và 3 h c sinh n thành m t hàng ngang. Tính xác su t đ cóế ẫ ọ ọ ữ ộ ấ ể
đúng 2 h c sinh nam đ ng xen k v i 3 h c sinh n .ọ ứ ẽ ớ ọ ữ
A.
5
12
. B.
2
17
. C.
12
37
. D.
5
84
.
Câu 21. Trong các hàm s sau, hàm s nào có giá tr nh nh t trên t p xác đ nh c a nó.ố ố ị ỏ ấ ậ ị ủ
A.
2
1y x x
. B.
2
1y x x
. C.
1
y x
x
. D.
3
20 21y x x
.
Câu 22. Tìm t t c các giá tr th c c a tham s ấ ả ị ự ủ ố
m
đ ph ng trình ể ươ
2
2 2
log 2 log 3 1 0x m x m
có hai nghi m ệ
1 2
;x x
sao cho
1 2
. 8x x
.
A.
6m
. B.
1m
. C.
3m
. D.
4
3
m
.
Câu 23. Cho các hàm s ố
x
y a
;
log
b
y x
;
log
c
y x
có đ th nh hình vồ ị ư ẽ
Ch n m nh đ đúng?ọ ệ ề
A.
b c a
. B.
a c b
. C.
c b a
. D.
c a b
.
Câu 24. Hàm s ố
siny x
đ ng bi n trên kho ng nào?ồ ế ả
A.
;0
2
. B.
;
2
. C.
3
;
2
. D.
0;
.
Câu 25. Đ th hàm s ồ ị ố
( )
2
x
f x
x
có ti m c n đ ng là đ ng th ngệ ậ ứ ườ ẳ
M i th c m c vui lòng xin liên h hotline: 084 283 45 85ọ ắ ắ ệ

Đây là b n xem th , vui lòng mua tài li u đ xem chi ti t (có l i gi i)ả ử ệ ể ế ờ ả
A.
1y
. B.
2x
. C.
2x
. D.
2y
.
Câu 26. Cho hình nón đ nh ỉ
S
đáy là đ ng tròn tâm ườ
O
bán kính
5R
, góc đ nh b ng ở ỉ ằ
60
o
. M tộ
m t ph ng đi qua đ nh ặ ẳ ỉ
S
c t đ ng tròn đáy t i hai đi m ắ ườ ạ ể
A
và
B
sao cho
8AB
. Tính
kho ng cách t ả ừ
O
đ n ế
SAB
.
A.
3 13
4
. B.
15 7
14
. C.
15 13
26
. D.
15 34
34
.
Câu 27. Đ th hàm s ồ ị ố
2
2
3 1
( )
3
x x
f x
x x
có bao nhiêu đ ng ti m c n?ườ ệ ậ
A. 1. B. 3. C. 4. D. 2.
Câu 28. Cho hàm s ố
( )y f x
có đ o hàm trên ạ
R
và
2 3
( ) 19 20 21f x x x x
. Hàm s ố
( )f x
có bao nhiêu đi m c c tr ?ể ự ị
A. 3. B. 1. C. 4. D. 2.
Câu 29. Cho đ th hàm b c ba ồ ị ậ
y f x
nh hình v bên.ư ẽ
Ph ng trình ươ
3 2 2f x
có bao nhiêu nghi m?ệ
A. 2 nghi m.ệ B. 3 nghi m.ệ C. 0 nghi m.ệ D. 1 nghi m.ệ
Câu 30. Ph ng trình ti p tuy n c a đ th hàm s ươ ế ế ủ ồ ị ố
3
2 3y x x
t i đi m có hoành đ ạ ể ộ
2x
là
A.
7 7y x
. B.
5y x
. C.
10 27y x
. D.
10 13y x
.
Câu 31. Bi t ế
f x
là tam th c b c hai có các nghi m là ứ ậ ệ
2, 1
. Tính t ng các nghi m c a ổ ệ ủ
2f x
.
A.
3
. B.
3
. C.
5
. D.
1
.
Câu 32. Có bao nhiêu m t ph ng cách đ u t t c các đ nh c a m t hình lăng tr tam giác?ặ ẳ ề ấ ả ỉ ủ ộ ụ
A.
1
. B.
2
. C.
4
. D.
3
.
Câu 33. Trong không gian cho hình ch nh t ữ ậ
ABCD
có
1AB
và
2AD
. G i ọ
M
và
N
l n l c làầ ượ
trung đi m c a ể ủ
AD
và
BC
. Cho hình ch nh t và ph n trong c a nó quay quanh tr c ữ ậ ầ ủ ụ
MN
.
Tính th tích kh i tr t o thành.ể ố ụ ạ
A.
2
. B.
2
. C.
3
. D.
.
Câu 34. Cho kh i chóp t giác đ u n i ti p trong kh i c u có bán kính b ng ố ứ ề ộ ế ố ầ ằ
9R
. Tính chi u caoề
h
c a kh i chóp đ th tích kh i chóp l n nh t.ủ ố ể ể ố ớ ấ
A.
12h
. B.
9h
. C.
10h
. D.
14h
.
Câu 35. Gi i b t ph ng trình ả ấ ươ
3
log 4 1 1x
.
A.
1
4
x
. B.
1x
. C.
1
2
4
x
. D.
1
1
4
x
.
M i th c m c vui lòng xin liên h hotline: 084 283 45 85ọ ắ ắ ệ

Đây là b n xem th , vui lòng mua tài li u đ xem chi ti t (có l i gi i)ả ử ệ ể ế ờ ả
Câu 36. Cho
, ,a b c
là các s d ng khác ố ươ
1
. Đ ng th c nào d i đây là đúng?ẳ ứ ướ
A.
log log
b a
c b
a c
. B.
log log
b b
c a
a c
. C.
log log
b a
c c
a b
. D.
log log
b c
c a
a b
.
Câu 37. Tìm
m
đ ph ng trình ể ươ
cos sin 1m x x m
có nghi m.ệ
A.
0m
. B.
0m
. C.
0m
. D.
0m
.
Câu 38. Cho t di n ứ ệ
ABCD
có
AB
,
AC
,
AD
đôi m t vuông góc và ộ
AB a
,
2AC a
,
3AD a
. Kho ng cách ả
d
t đi m ừ ể
A
đ n m t ph ng ế ặ ẳ
BCD
là
A.
6
3
a
d
. B.
3
2
a
d
. C.
30
5
a
d
. D.
66
11
a
d
.
Câu 39. Tìm t p nghi m ậ ệ
S
c a ph ng trình ủ ươ
1
9 27.
x
A.
1
2
. B.
0
. C.
2
. D.
1
.
Câu 40. Hai x th b n m i ng i m t viên đ n vào bia m t cách đ c l p. Bi t xác xu t trúng c aạ ủ ắ ô ườ ộ ạ ộ ộ ậ ế ấ ủ
x th th nh t và x th th hai l n l t là ạ ủ ứ ấ ạ ủ ứ ầ ượ
0,9
và
0,7.
Xác su t đ có ít nh t m t x thấ ể ấ ộ ạ ủ
b n trùng bia làắ
A.
0,26
. B.
0,97
. C.
0,85
. D.
0,72
.
Câu 41. Hàm s ố
4
2 1y x x
đ ng bi n trên kho ng nào d i đây?ồ ế ả ướ
A.
;0
. B.
0;
. C.
1;
. D.
; 1
.
Câu 42. H s c a s h ng ch aệ ố ủ ố ạ ứ
5
x
trong khai tri n c a bi u th c ể ủ ể ứ
7
1x
là
A. 7. B. 21. C. 42. D. 35.
Câu 43. Cho t di n ứ ệ
ABCD
có c nh ạ
3AD
và các c nh còn l i b ng ạ ạ ằ
2
. M nh đ nào sau đâyệ ề
đúng?
A.
AD
và
CB
vuông góc.
B. Đo n n i ạ ố
2
trung đi m ể
2
c nh ạ
AB
và
CD
là đo n vuông góc chung c a ạ ủ
AB
,
CD
.
C.
AB
và
CD
vuông góc.
D.
AC
và
BD
vuông góc.
Câu 44. G i ọ
, ,l h r
l n l t là đ dài đ ng sinh, chi u cao và bán kính m t đáy c a hình nón. Di nầ ượ ộ ườ ề ặ ủ ệ
tích xung quanh
xq
S
c a hình nón là:ủ
A.
xq
S rl
. B.
xq
S rh
. C.
2
xq
S rl
. D.
2
1
3
xq
S r h
.
Câu 45. Đ ng th ng qua 2 đi m c c tr c a đ th c a hàm s ườ ẳ ể ự ị ủ ồ ị ủ ố
2
2
2
x x
y
x
có ph ng trình làươ
A.
2 1y x
. B.
2 1y x
. C.
2y x
. D.
2 1y x
.
Câu 46. Cho 2 s th c ố ự
,x y
v i ớ
0,0 2x y
. Bi t bi u th c ế ể ứ
2
2
2 2
2
2
x
x x
x
x x
y
y
S
y
y
có giá trị
nh nh t là ỏ ấ
a
b
v i ớ
,a b
là các s nguyên d ng và ố ươ
a
b
là phân s t i gi n. Tính ố ố ả
P a b
.
A.
11P
. B.
15P
. C.
17P
. D.
13P
.
Câu 47. Tìm t t c các giá tr ấ ả ị
m
đ hàm s ể ố
cot cot
8 ( 3)2 3 2
x x
y m m
ngh ch bi n trên ị ế
;
4
M i th c m c vui lòng xin liên h hotline: 084 283 45 85ọ ắ ắ ệ