ệ xem ể chi ti t ế (có l i ờ gi i ả ) SỞ GIÁO D C Ụ VÀ ĐÀO T O Ạ Đ Ề THI VÀO L P Ớ 10 THPT T N Ỉ H ĐI N Ệ BIÊN NĂM HỌC 2019-2020 Môn: TOÁN Đ C Ề HÍNH TH C Ứ Th i
ờ gian làm bài: 120 phút Câu 1. (2,5 đi m ể ) x 5
x 1 7 x 3 A B Cho bi u t ể h c ứ x 3 và x 3 x 9 1) Tính giá tr c ị a ủ bi u t ể h c ứ A khi x 2 5 2) Rút g n bi ọ u ể th c ứ B A 3) Tìm giá tr nh ị nh ỏ t ấ c a ủ B Câu 2. (2,5 đi m ể ) 1) Gi i ả các phư ng ơ trình sau: a) 2 x 5x 4 0 b) 4 2 x x 6 0 2x y 7 2) Gi i ả h ph ệ ư ng t ơ
rình x 2 y 1 Câu 3. (1,0 đi m ể ) Cho phư ng t ơ rình 2
x ax b 1 0 v i
ớ a,blà tham số. Tìm giá tr c ị a ủ a,b đ ể x x 3 1 2 3 3 phư ng ơ trình trên có 1 nghi m ệ x , x x x 9 1 2 th a m ỏ ãn đi u ki ề n ệ 1 2 Câu 4. (3,0 đi m ể ) Cho t gi ứ ác ABCD n i ộ ti p đ ế ư ng t ờ ròn (O;R) và có hai đư ng ờ
chéo AC, BD vuông góc v i ớ nhau t i ạ I (I khác O) . k đ ẻ ư ng ờ kính CE 1. Ch ng ứ minh t gi
ứ ác ABDE là hình thang cân 2 2 2 2 2. Ch ng
ứ minh AB CD BC DA 2 2R 3. T
ừ A và B kẻ các đư ng t ờ h ng vuông góc ẳ v i ớ CD lần lư t ợ c t ắ BD t i ạ F, c t ắ AC t i ạ K. T gi
ứ ác ABKF là hình gì ? Câu 5. (1,0 đi m ể ) 3 3 2 1) Tìm nghi m ệ nguyên c a ủ phư ng t ơ
rình: y x x x 1
2) Cho các số nguyên a, , b c th a m ỏ
ãn ab bc ca 1 . 2 2 2 A 1 a 1 b 1 c Ch ng ứ minh r ng: ằ là m t ộ số chính phư ng ơ M i
ọ thắc mắc vui lòng xin liên hệ hotline: 084 283 45 85
ệ xem ể chi ti t ế (có l i ờ gi i ả ) M i
ọ thắc mắc vui lòng xin liên hệ hotline: 084 283 45 85
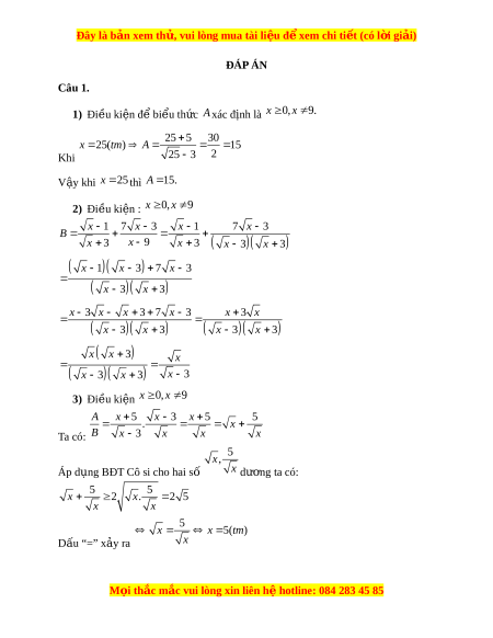
ệ xem ể chi ti t ế (có l i ờ gi i ả ) ĐÁP ÁN Câu 1. 1) Đi u ki ề ện đ bi ể u t ể h c
ứ A xác định là x 0 , x 9 . 25 5 30 x 25(tm) A 15 Khi 25 3 2 V y ậ khi x 2 5 thì A 1 5. 2) Đi u ki ề ện : x 0 , x 9
x 1 7 x 3 x 1 7 x 3 B x 3 x 9
x 3 x 3 x 3
x 1 x 3 7 x 3
x 3 x 3 x 3 x
x 3 7 x 3 x 3 x
x 3 x 3
x 3 x 3 x x 3 x
x 3 x 3 x 3 3) Đi u ki ề ện x 0 , x 9 A x 5 x 3 x 5 5 . x Ta có: B x 3 x x x 5 x, Áp d ng ụ BĐT Cô si cho hai s ố x dư ng ơ ta có: 5 5 x 2 x. 2 5 x x 5 x x 5 (tm) Dấu “=” x y ả ra x M i
ọ thắc mắc vui lòng xin liên hệ hotline: 084 283 45 85
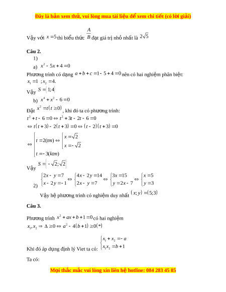
ệ xem ể chi ti t ế (có l i ờ gi i ả ) A V y ậ v i ớ x 5 thì bi u t ể h c ứ B đ t ạ giá tr nh ị nh ỏ t ấ là 2 5 Câu 2. 1) a) 2 x 5x 4 0 Phư ng ơ trình có d ng
ạ a b c 1 5 4 0
nên có hai nghiệm phân bi t ệ : x 1 ; x 4 . 1 2 V y ậ S 1; 4 b) 4 2 x x 6 0 2 Đ t ặ x t t 0
, khi đó ta có phư ng t ơ rình: 2 2 t t 6 0
t 3t 2t 6 0
t t 3 2 t 3 0
t 2 t 3 0 x 2 t 2( tm) x 2
t 3(ktm) S 2; 2 V y ậ 2x y 7 4x 2 y 14 3 x 15 x 5 2)
x 2y 1 2x y 7 y 2 x 7 y 3 V y ậ h ph ệ ư ng t ơ rình có nghi m ệ duy nh t ấ ; x y 5;3 Câu 3. Phư ng ơ trình 2
x ax b 1 0 có hai nghiệm 2 x , x 0
a 4 b 1 0 * 1 2
x x a 1 2 Khi đó áp d ng ụ đ nh l ị ý Viet ta có: x x b 1 1 2 Ta có: M i
ọ thắc mắc vui lòng xin liên hệ hotline: 084 283 45 85
Đề thi vào 10 môn Toán tỉnh Điện Biên năm 2020
485
243 lượt tải
MUA NGAY ĐỂ XEM TOÀN BỘ TÀI LIỆU
CÁCH MUA:
- B1: Gửi phí vào TK:
1133836868- CT TNHH DAU TU VA DV GD VIETJACK - Ngân hàng MB (QR) - B2: Nhắn tin tới Zalo VietJack Official ( nhấn vào đây ) để xác nhận thanh toán và tải tài liệu - giáo án
Liên hệ ngay Hotline hỗ trợ: 084 283 45 85
Đề thi được cập nhật liên tục trong gói này từ nay đến hết tháng 6/2023. Chúng tôi đảm bảo đủ số lượng đề đã cam kết hoặc có thể nhiều hơn, tất cả có BẢN WORD, LỜI GIẢI CHI TIẾT và tải về dễ dàng.
Để tải tài liệu gốc về máy bạn click vào nút Tải Xuống ở trên!
Thuộc bộ (mua theo bộ để tiết kiệm hơn):
- Tailieugiaovien.com.vn giới thiệu bộ 63 đề thi vào 10 môn Toán hệ không chuyên năm 2020 nhằm giúp Giáo viên có thêm tài liệu tham khảo đề luyện thi Toán ôn luyện
- File word có lời giải chi tiết 100%.
- Mua trọn bộ sẽ tiết kiệm hơn tải lẻ 50%.
Đánh giá
4.6 / 5(485 )5
4
3
2
1
Trọng Bình
Tài liệu hay
Giúp ích cho tôi rất nhiều
Duy Trần
Tài liệu chuẩn
Rất thích tài liệu bên VJ soạn (bám sát chương trình dạy)
TÀI LIỆU BỘ BÁN CHẠY MÔN Toán Học
Xem thêmTÀI LIỆU BỘ BÁN CHẠY Ôn vào 10
Xem thêmTài liệu bộ mới nhất

Đây là b nả xem thử, vui lòng mua tài li u đ xem chi ti t (có l i gi i)ệ ể ế ờ ả
S GIÁO D C VÀ ĐÀO T OỞ Ụ Ạ
T NH ĐI N BIÊNỈ Ệ
Đ CHÍNH TH C Ề Ứ
Đ THI VÀO L P 10 THPT Ề Ớ
NĂM H C 2019-2020Ọ
Môn: TOÁN
Th i gian làm bài: 120 phút ờ
Câu 1. (2,5 đi m)ể
Cho bi u th c ể ứ
5
3
x
A
x
và
1 7 3
9
3
x x
B
x
x
1) Tính giá tr c a bi u th c ị ủ ể ứ
A
khi
25x
2) Rút g n bi u th c ọ ể ứ
B
3) Tìm giá tr nh nh t c a ị ỏ ấ ủ
A
B
Câu 2. (2,5 đi m)ể
1) Gi i các ph ng trình sau:ả ươ
a)
2
5 4 0x x
b)
4 2
6 0x x
2) Gi i h ph ng trình ả ệ ươ
2 7
2 1
x y
x y
Câu 3. (1,0 đi m)ể
Cho ph ng trình ươ
2
1 0x ax b
v i ớ
,a b
là tham s . Tìm giá tr c a ố ị ủ
,a b
đ ể
ph ng trình trên có 1 nghi m ươ ệ
1 2
,x x
th a mãn đi u ki n ỏ ề ệ
1 2
3 3
1 2
3
9
x x
x x
Câu 4. (3,0 đi m) ể Cho t giác ứ
ABCD
n i ti p đ ng tròn (O;R) và có hai đ ngộ ế ườ ườ
chéo
,AC BD
vuông góc v i nhau t i I (I khác O) . k đ ng kính CEớ ạ ẻ ườ
1. Ch ng minh t giác ứ ứ
ABDE
là hình thang cân
2. Ch ng minh ứ
2 2 2 2
2 2AB CD BC DA R
3. T A và B k các đ ng th ng vuông góc v i ừ ẻ ườ ẳ ớ
CD
l n l t c t ầ ượ ắ
BD
t i F, ạ
c t ắ
AC
t i K. T giác ạ ứ
ABKF
là hình gì ?
Câu 5. (1,0 đi m)ể
1) Tìm nghi m nguyên c a ph ng trình: ệ ủ ươ
3 3 2
1y x x x
2) Cho các s nguyên ố
, ,a b c
th a mãn ỏ
1.ab bc ca
Ch ng minh r ng: ứ ằ
2 2 2
1 1 1A a b c
là m t s chính ph ngộ ố ươ
M iọ th c m c vui lòng xin liên hắ ắ ệ hotline: 084 283 45 85

Đây là b nả xem thử, vui lòng mua tài li u đ xem chi ti t (có l i gi i)ệ ể ế ờ ả
M iọ th c m c vui lòng xin liên hắ ắ ệ hotline: 084 283 45 85

Đây là b nả xem thử, vui lòng mua tài li u đ xem chi ti t (có l i gi i)ệ ể ế ờ ả
ĐÁP ÁN
Câu 1.
1) Đi u ki n đ bi u th c ề ệ ể ể ứ
A
xác đ nh là ị
0, 9.x x
Khi
25 5 30
25( ) 15
2
25 3
x tm A
V y khi ậ
25x
thì
15.A
2) Đi u ki n : ề ệ
0, 9x x
1 7 3 1 7 3
9
3 3
3 3
1 3 7 3
3 3
3 3 7 3 3
3 3 3 3
3
3
3 3
x x x x
B
x
x x
x x
x x x
x x
x x x x x x
x x x x
x x
x
x
x x
3) Đi u ki n ề ệ
0, 9x x
Ta có:
5 3 5 5
.
3
A x x x
x
B
x x x x
Áp d ng BĐT Cô si cho hai s ụ ố
5
,x
x
d ng ta có:ươ
5 5
2 . 2 5x x
x x
D u “=” x y ra ấ ả
5
5( )x x tm
x
M iọ th c m c vui lòng xin liên hắ ắ ệ hotline: 084 283 45 85

Đây là b nả xem thử, vui lòng mua tài li u đ xem chi ti t (có l i gi i)ệ ể ế ờ ả
V y v i ậ ớ
5x
thì bi u th c ể ứ
A
B
đ t giá tr nh nh t là ạ ị ỏ ấ
2 5
Câu 2.
1)
a)
2
5 4 0x x
Ph ng trình có d ng ươ ạ
1 5 4 0a b c
nên có hai nghi m phân bi t:ệ ệ
1 2
1 ; 4.x x
V y ậ
1;4S
b)
4 2
6 0x x
Đ t ặ
2
0x t t
, khi đó ta có ph ng trình:ươ
2 2
6 0 3 2 6 0
3 2 3 0 2 3 0
2
2( )
2
3( )
t t t t t
t t t t t
x
t tm
x
t ktm
V y ậ
2; 2S
2)
2 7 4 2 14 3 15 5
2 1 2 7 2 7 3
x y x y x x
x y x y y x y
V y h ph ng trình có nghi m duy nh t ậ ệ ươ ệ ấ
; 5;3x y
Câu 3.
Ph ng trình ươ
2
1 0x ax b
có hai nghi mệ
2
1 2
, 0 4 1 0 *x x a b
Khi đó áp d ng đ nh lý Viet ta có: ụ ị
1 2
1 2
1
x x a
x x b
Ta có:
M iọ th c m c vui lòng xin liên hắ ắ ệ hotline: 084 283 45 85

Đây là b nả xem thử, vui lòng mua tài li u đ xem chi ti t (có l i gi i)ệ ể ế ờ ả
2 2
2
1 2 1 2 1 2
3
3 3
1 2 1 2 1 2 1 2
2
) 4 9 4 1 (1)
) 3
9 3 3 1 .3 18 9. 1 1 2 3
x x x x x x a b
x x x x x x x x
b b b b
Thay
3b
vào (1) ta có:
2 2 2
4 3 1 9 8 9 1 1a a a a
Th l i ử ạ
2
1; 3 * 1 4 3 1 9 0( )a b tm
V y ậ
, 1; 3a b
ho c ặ
, 1; 3a b
Câu 4.
1) Ta có:
0
90CAE
(góc n i ti p ch n n a đ ng tròn)ộ ế ắ ử ườ
AE AC
Mà
( ) / /BD AC gt AE BD
(t vuông góc đ n song song)ừ ế
T giác ứ
ABDE
là hình thang (T giác có 2 c nh đ i song song)ứ ạ ố
Ta có:
0
90CDE
(góc n i ti p ch n n a đ ng tròn)ộ ế ắ ử ườ
CDE
vuông t i Dạ
Có:
CED CBD
(hai góc n i ti p cùng ch n cung ộ ế ắ
)CD
M iọ th c m c vui lòng xin liên hắ ắ ệ hotline: 084 283 45 85
