ệ xem ể chi ti t ế (có l i ờ gi i ả ) UBND T N Ỉ H LAI CHÂU KỲ THI TUY N Ể SINH VÀO L P Ớ 10 CÁC TRƯ N Ờ G SỞ GIÁO D C Ụ VÀ ĐÀO T O Ạ
PHỔ THÔNG DTNT VÀ THPT CHUYÊN LÊ QUÝ ĐÔN NĂM H C Ọ 2019-2020 Đ Ề THI CHÍNH TH C Ứ Môn: TOÁN (chung) Th i
ờ gian: 120 phút (không kể giao đ ) ề Ngày thi: 07/06/2019 Câu 1. (2,0 đi m ể ) 1) Rút g n các bi ọ u t ể h c ứ sau: a) 3 4 2 25 4 9 b)3 3 5 12 2 27 2) Gi i ả phư ng t ơ rình và h ph ệ ư ng t ơ rình sau: x y 2 a) 2 x 6x 5 0 b) 2x y 1 1 1 x M Câu 2. (1,5 đi m ể ) Cho bi u t ể h c ứ x 2 x 2 4 x 1) Tìm các giá tr t ị h c ự c a ủ x đ bi ể u ể th c ứ có nghĩa 2) Rút g n bi ọ u t ể h c ứ 3) Tính giá tr c ị a ủ M bi t ế x 1 6 Câu 3. (2,5 đi m ể ) 1) Quãng đư ng ờ AB dài 60km,m t ộ ngư i ờ đi xe đ p ạ t ừ A đ n ế B v i ớ v n t ậ ốc và th i ờ gian quy đ nh. Sau khi ị đi đư c ợ n a quãng đ ử ư ng ờ ngư i ờ đó gi m ả v n ậ t c ố
5km / h trên n a quãng đ ử ư ng ờ còn l i ạ . Vì v y ậ , ngư i ờ đó đã đ n ế B ch m ậ h n ơ quy định 1gi . ờ Tính v n ậ tốc và th i ờ gian quy đ nh c ị a ng ủ ư i ờ đó 2 2) Cho phư ng t ơ
rình 2x 2m
1 x m 1 0
1 , trong đó mlà tham số a) Gi i ả phư ng t ơ rình 1 khi m 2 2 2 b) Tìm m đ ph ể ư ng t ơ rình 1 có hai nghiệm th a m ỏ
ãn: 4x 4x 2x x 1 1 2 1 2 Câu 4. (3,0 đi m ể ) Cho đư ng t ờ ròn ;
O R dây BC cố định. Đi m ể A di đ ng t ộ rên cung l n ớ
BC AB AC sao cho AB C nh n. ọ Các đư ng
ờ cao BE,CF c t ắ nhau t i ạ H. G i ọ K là giao đi m ể c a ủ EF v i ớ BC. 1) Ch ng ứ minh: T gi ứ ác BCEF n i ộ ti p ế 2) Ch ng ứ minh . KB KC KE .KF 3) G i ọ M là giao đi m ể c a ủ AK v i
ớ O M A . Ch ng m ứ inh MH AK Câu 5. (1,0 đi m
ể ) Cho các số th c d ự ư ng ơ a,b, . c Ch ng m ứ inh r ng: ằ M i
ọ thắc mắc vui lòng xin liên hệ hotline: 084 283 45 85
ệ xem ể chi ti t ế (có l i ờ gi i ả ) ab bc ca 1
a b c
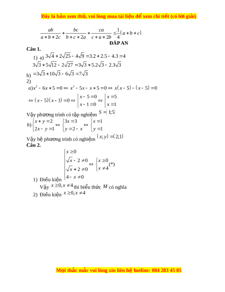
a b 2c b c 2a c a 2b 4 ĐÁP AN Câu 1. 1) a) 3 4 2 25 4 9 3 .2 2.5 4.3 4 3 3 5 12 2 27 3 3 5.2 3 2.3 3 b) 3 3 10 3 6 3 7 3 2) 2 2
a)x 6x 5 0
x 5x x 5 0
x x 5 x 5 0 x 5 0 x 5
x 5 x 1 0 x 1 0 x 1 V y ậ phư ng t ơ rình có t p nghi ậ m ệ S 1; 5 x y 2 3 x 3 x 1 b) 2x y 1 y 2 x y 1 V y ậ h ph ệ ư ng t ơ rình có nghi m ệ ; x y 2; 1 Câu 2. x 0 x 2 0 x 0 (*) x 4 x 2 0 1) Đi u ki ề ện 4 x 0 V y ậ x 0 , x 4 thì bi u t ể h c ứ M có nghĩa 2) Đi u ki ề ện x 0 , x 4 M i
ọ thắc mắc vui lòng xin liên hệ hotline: 084 283 45 85
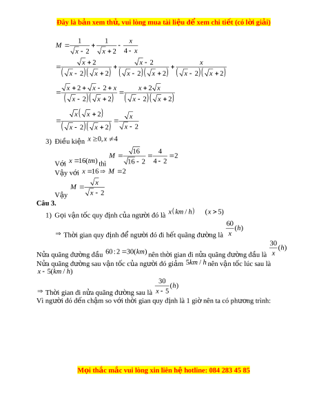
ệ xem ể chi ti t ế (có l i ờ gi i ả ) 1 1 x M x 2 x 2 4 x x 2 x 2 x
x 2 x 2 x 2 x 2 x 2 x 2
x 2 x 2 x x 2 x
x 2 x 2 x 2 x 2 x x 2 x
x 2 x 2 x 2 3) Đi u ki ề ện x 0 , x 4 16 4 M 2 V i ớ x 1 6(tm) thì 16 2 4 2 V y ậ v i ớ x 1 6 M 2 x M V y ậ x 2 Câu 3. 1) G i ọ v n t ậ ốc quy định c a ng ủ ư i
ờ đó là x km / h (x 5) 60 (h) Th i ờ gian quy đ nh đ ị ng ể ư i ờ đó đi h t ế quãng đư ng ờ là x 30 (h) N a ử quãng đư ng đ ờ u ầ 60 : 2 3 0(km) nên th i ờ gian đi n a quãng đ ử ư ng đ ờ u l ầ à x N a ử quãng đư ng s ờ au v n t ậ ốc c a ủ ngư i ờ đó gi m
ả 5km / h nên v n ậ tốc lúc sau là
x 5(km / h) 30 (h) Th i ờ gian đi n a quãng đ ử ư ng ờ sau là x 5 Vì ngư i ờ đó đ n ch ế m ậ so v i ớ th i ờ gian quy đ nh l ị à 1 gi nên t ờ a có phư ng t ơ rình: M i
ọ thắc mắc vui lòng xin liên hệ hotline: 084 283 45 85
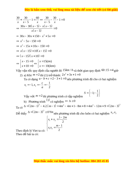
ệ xem ể chi ti t ế (có l i ờ gi i ả ) 30 30 60 30 30 1 1 0 x x 5 x x 5 x
30x 30 x 5 x x 5 0 x x 5 2
30x 30x 150 x 5x 0 2
x 5x 150 0 2
x 15x 10x 150 0
x x 15 10 x 15 0
x 15 x 10 0 x 15 0 x 15 (tm) x 10 0 x 10(ktm) V y ậ v n t ậ ốc quy định c a ng ủ ư i
ờ đó 15km / h và th i ờ gian quy đ nh ị 60 :15 4 giờ 2) a) Khi m 2 thì (1) tr t ở hành: 2 2x 3x 1 0 Ta có d ng
ạ a b c 2 3 1 0 nên phư ng t ơ rình đã cho có hai nghi m ệ c 1 x 1, x 1 2 a 2 1 S 1; V y ậ v i ớ m 2 thì phư ng ơ trình có t p ậ nghi m ệ 2 b) Phư ng ơ trình 1 có nghiệm 0 2 2 2 2 Ta có 2m 1 4.2. m 1 4
m 4m 1 8m 8 4
m 12m 9 2m 3 Dễ thấy m 2 2 3 0 m nên phư ng
ơ trình đã cho luôn có hai nghi m ệ x , x 1 2 1 2m x x 1 2 2 m 1 x x 1 2 Theo đ nh l ị ý Viet ta có: 2 Theo đ bài ề ta có: M i
ọ thắc mắc vui lòng xin liên hệ hotline: 084 283 45 85
Đề thi vào 10 môn Toán tỉnh Lai Châu năm 2020
525
263 lượt tải
MUA NGAY ĐỂ XEM TOÀN BỘ TÀI LIỆU
CÁCH MUA:
- B1: Gửi phí vào TK:
1133836868- CT TNHH DAU TU VA DV GD VIETJACK - Ngân hàng MB (QR) - B2: Nhắn tin tới Zalo VietJack Official ( nhấn vào đây ) để xác nhận thanh toán và tải tài liệu - giáo án
Liên hệ ngay Hotline hỗ trợ: 084 283 45 85
Đề thi được cập nhật liên tục trong gói này từ nay đến hết tháng 6/2023. Chúng tôi đảm bảo đủ số lượng đề đã cam kết hoặc có thể nhiều hơn, tất cả có BẢN WORD, LỜI GIẢI CHI TIẾT và tải về dễ dàng.
Để tải tài liệu gốc về máy bạn click vào nút Tải Xuống ở trên!
Thuộc bộ (mua theo bộ để tiết kiệm hơn):
- Tailieugiaovien.com.vn giới thiệu bộ 63 đề thi vào 10 môn Toán hệ không chuyên năm 2020 nhằm giúp Giáo viên có thêm tài liệu tham khảo đề luyện thi Toán ôn luyện
- File word có lời giải chi tiết 100%.
- Mua trọn bộ sẽ tiết kiệm hơn tải lẻ 50%.
Đánh giá
4.6 / 5(525 )5
4
3
2
1
Trọng Bình
Tài liệu hay
Giúp ích cho tôi rất nhiều
Duy Trần
Tài liệu chuẩn
Rất thích tài liệu bên VJ soạn (bám sát chương trình dạy)
TÀI LIỆU BỘ BÁN CHẠY MÔN Toán Học
Xem thêmTÀI LIỆU BỘ BÁN CHẠY Ôn vào 10
Xem thêmTài liệu bộ mới nhất

Đây là b nả xem thử, vui lòng mua tài li u đ xem chi ti t (có l i gi i)ệ ể ế ờ ả
UBND T NH LAI CHÂUỈ
S GIÁO D C VÀ ĐÀO T OỞ Ụ Ạ
Đ THI CHÍNH TH C Ề Ứ
KỲ THI TUY N SINH VÀO L P 10 CÁC TR NGỂ Ớ ƯỜ
PH THÔNG DTNT VÀ THPT CHUYÊN LÊ QUÝ ĐÔNỔ
NĂM H C 2019-2020Ọ
Môn: TOÁN (chung)
Th i gian: ờ 120 phút (không k giao đ )ể ề
Ngày thi: 07/06/2019
Câu 1. (2,0 đi m)ể
1) Rút g n các bi u th c sau:ọ ể ứ
a)
3 4 2 25 4 9
)3 3 5 12 2 27b
2) Gi i ph ng trình và h ph ng trình sau:ả ươ ệ ươ
a)
2
6 5 0x x
b)
2
2 1
x y
x y
Câu 2. (1,5 đi m) ể Cho bi u th c ể ứ
1 1
4
2 2
x
M
x
x x
1) Tìm các giá tr th c c a ị ự ủ
x
đ bi u th c có nghĩaể ể ứ
2) Rút g n bi u th cọ ể ứ
3) Tính giá tr c a ị ủ
M
bi t ế
16x
Câu 3. (2,5 đi m)ể
1) Quãng đ ng ườ
AB
dài
60 ,km
m t ng i đi xe đ p t ộ ườ ạ ừ
A
đ n ế
B
v i v n t c và ớ ậ ố
th i gian quy đ nh. Sau khi đi đ c n a quãng đ ng ng i đó gi m v n t cờ ị ượ ử ườ ườ ả ậ ố
5 /km h
trên n a quãng đ ng còn l i. Vì v y, ng i đó đã đ n ử ườ ạ ậ ườ ế
B
ch m h n quyậ ơ
đ nh ị
1
gi . Tính v n t c và th i gian quy đ nh c a ng i đóờ ậ ố ờ ị ủ ườ
2) Cho ph ng trình ươ
2
2 2 1 1 0 1x m x m
, trong đó
m
là tham số
a) Gi i ph ng trình ả ươ
1
khi
2m
b) Tìm
m
đ ph ng trình ể ươ
1
có hai nghi m th a mãn: ệ ỏ
2 2
1 2 1 2
4 4 2 1x x x x
Câu 4. (3,0 đi m)ể
Cho đ ng tròn ườ
;O R
dây
BC
c đ nh. Đi m ố ị ể
A
di đ ng trên cung l nộ ớ
BC AB AC
sao cho
ABC
nh n. Các đ ng cao ọ ườ
,BE CF
c t nhau t i H. G i ắ ạ ọ
K
là
giao đi m c a ể ủ
EF
v i ớ
.BC
1) Ch ng minh: T giác ứ ứ
BCEF
n i ti pộ ế
2) Ch ng minh ứ
. .KB KC KE KF
3) G i M là giao đi m c a ọ ể ủ
AK
v i ớ
O M A
. Ch ng minh ứ
MH AK
Câu 5. (1,0 đi m) ể Cho các s th c d ng ố ự ươ
, , .a b c
Ch ng minh r ng:ứ ằ
M iọ th c m c vui lòng xin liên hắ ắ ệ hotline: 084 283 45 85

Đây là b nả xem thử, vui lòng mua tài li u đ xem chi ti t (có l i gi i)ệ ể ế ờ ả
1
2 2 2 4
ab bc ca
a b c
a b c b c a c a b
ĐÁP AN
Câu 1.
1) a)
3 4 2 25 4 9 3.2 2.5 4.3 4
b)
3 3 5 12 2 27 3 3 5.2 3 2.3 3
3 3 10 3 6 3 7 3
2)
2 2
) 6 5 0 5 5 0 5 5 0
5 0 5
5 1 0
1 0 1
a x x x x x x x x
x x
x x
x x
V y ph ng trình có t p nghi m ậ ươ ậ ệ
1;5S
2 3 3 1
)
2 1 2 1
x y x x
b
x y y x y
V y h ph ng trình có nghi m ậ ệ ươ ệ
; 2;1x y
Câu 2.
1) Đi u ki n ề ệ
0
2 0 0
(*)
4
2 0
4 0
x
x x
x
x
x
V y ậ
0, 4x x
thì bi u th c ể ứ
M
có nghĩa
2) Đi u ki n ề ệ
0, 4x x
M iọ th c m c vui lòng xin liên hắ ắ ệ hotline: 084 283 45 85

Đây là b nả xem thử, vui lòng mua tài li u đ xem chi ti t (có l i gi i)ệ ể ế ờ ả
1 1
4
2 2
2 2
2 2 2 2 2 2
2 2 2
2 2 2 2
2
2
2 2
x
M
x
x x
x x x
x x x x x x
x x x x x
x x x x
x x
x
x
x x
3) Đi u ki n ề ệ
0, 4x x
V i ớ
16( )x tm
thì
16 4
2
4 2
16 2
M
V y v i ậ ớ
16 2x M
V y ậ
2
x
M
x
Câu 3.
1) G i v n t c quy đ nh c a ng i đó là ọ ậ ố ị ủ ườ
/ ( 5)x km h x
Th i gian quy đ nh đ ng i đó đi h t quãng đ ng là ờ ị ể ườ ế ườ
60
( )h
x
N a quãng đ ng đ u ử ườ ầ
60: 2 30( )km
nên th i gian đi n a quãng đ ng đ u là ờ ử ườ ầ
30
( )h
x
N a quãng đ ng sau v n t c c a ng i đó gi m ử ườ ậ ố ủ ườ ả
5 /km h
nên v n t c lúc sau làậ ố
5( / )x km h
Th i gian đi n a quãng đ ng sau là ờ ử ườ
30
( )
5
h
x
Vì ng i đó đ n ch m so v i th i gian quy đ nh là 1 gi nên ta có ph ng trình:ườ ế ậ ớ ờ ị ờ ươ
M iọ th c m c vui lòng xin liên hắ ắ ệ hotline: 084 283 45 85

Đây là b nả xem thử, vui lòng mua tài li u đ xem chi ti t (có l i gi i)ệ ể ế ờ ả
2
2
2
30 30 60 30 30
1 1 0
5 5
30 30 5 5
0
5
30 30 150 5 0
5 150 0
15 10 150 0
15 10 15 0
15 10 0
15 0 15( )
10 0 10( )
x x x x x
x x x x
x x
x x x x
x x
x x x
x x x
x x
x x tm
x x ktm
V y v n t c quy đ nh c a ng i đó ậ ậ ố ị ủ ườ
15 /km h
và th i gian quy đ nh ờ ị
60:15 4
giờ
2) a) Khi
2m
thì (1) tr thành: ở
2
2 3 1 0x x
Ta có d ng ạ
2 3 1 0a b c
nên ph ng trình đã cho có hai nghi m ươ ệ
1 2
1
1,
2
c
x x
a
V y v i ậ ớ
2m
thì ph ng trình có t p nghi m ươ ậ ệ
1
1;
2
S
b) Ph ng trình ươ
1
có nghi m ệ
0
Ta có
2 2
2 2
2 1 4.2. 1 4 4 1 8 8 4 12 9 2 3m m m m m m m m
D th y ễ ấ
2
2 3 0m m
nên ph ng trình đã cho luôn có hai nghi m ươ ệ
1 2
,x x
Theo đ nh lý Viet ta có: ị
1 2
1 2
1 2
2
1
2
m
x x
m
x x
Theo đ bài ta có:ề
M iọ th c m c vui lòng xin liên hắ ắ ệ hotline: 084 283 45 85

Đây là b nả xem thử, vui lòng mua tài li u đ xem chi ti t (có l i gi i)ệ ể ế ờ ả
2 2 2 2
1 2 1 2 1 2 1 2
2
1 2 1 2 1 2 1 2 1 2
2
2
2 2
4 4 2 1 4 2 1
4 8 2 1 4 6 1
1 2 1
4 6. 1 2 1 3 1 1 0
2 2
1
4 4 1 3 3 1 0 4 7 3 0
3
4
x x x x x x x x
x x x x x x x x x x
m m
m m
m
m m m m m
m
V y ậ
3
1;
4
m
th a mãn bài toánỏ
M iọ th c m c vui lòng xin liên hắ ắ ệ hotline: 084 283 45 85
