ệ xem ể chi ti t ế (có l i ờ gi i ả ) SỞ GIÁO D C Ụ VÀ ĐÀO T O Ạ KỲ THI TUY N Ể SINH L P Ớ 10 THPT T N Ỉ H YÊN BÁI NĂM H C Ọ 2019-2020 Môn thi:TOÁN Đ C Ề HÍNH TH C Ứ
(Đề thi có 04 trang, g m ồ 50 câu) Th i ờ gian: 90 phút Khóa thi ngày: 03/06/2019 Câu 1. Khi c t ắ hình tr b ụ i ở m t ộ m t ặ ph ng ẳ vuông góc v i ớ tr c ụ ta đư c m ợ t ặ c t ắ là hình gì ? A. Hình chữ nh t ậ B. Hình tròn
C. Hình tam giác D. Hình thang Câu 2. Giá tr c ị a ủ m đ ph ể ư ng ơ trình 2
x 2mx m 2 0 có m t ộ nghiệm b ng ằ 2 là: A. m 2 B. m 1 C. m 2 D. m 1 16 36 P Câu 3. Rút g n bi ọ u t ể h c ứ 2 25 ta đư c: ợ A. P 1 B. P 2 C. P 4 D. P 3 1
y x b Câu 4. N u ế đồ th hàm ị s ố 2 c t ắ tr c ụ hoành t i ạ đi m ể có hoành đ b ộ ng 2 t ằ hì giá trị c a ủ b là: A. b 1 B. b 2 C. b 2 D. b 1 Câu 5. Giá tr c ị a ủ m đ đ ể ồ th các hàm ị số y
m 2 x 3và y 3
x 3 trùng nhau là : A. m 1 B. m 1 C. m 1 D. m 1 x y y z ;
Câu 6. Cho ba số x, y, z th a ỏ mãn 5 6 8
7 và x y z 1 38. Giá tr c ị a ủ x là: A. 110 B. 100 C. 120 D. 80 1 2 2 Q a . a 1 3a 1 Câu 7. Cho v i ớ 3 Kh ng đ ẳ ịnh nào sau đây đúng ?
A. Q 4a 2 B. Q 2 a C. Q 4 a 2 D. Q 2a M i
ọ thắc mắc vui lòng xin liên hệ hotline: 084 283 45 85
ệ xem ể chi ti t ế (có l i ờ gi i ả ) Câu 8. Giá tr c ị a ủ x th a ỏ mãn x 6 là: A. x 3 6 B. x 1 2 C. x 1 8 D. x 6
Câu 9. Cho I là tâm đư ng ờ tròn ngo i ạ ti p t ế am giác ABC. Kh ng ẳ đ nh nào ị sau đây đúng ? A. I là giao đi m ể ba đư ng ờ cao c a ủ AB C B. I là giao đi m ể ba đư ng ờ trung tr c c ự a ủ AB C C. I là giao đi m ể ba đư ng ờ trung tuy n c ế a ủ AB C D. I là giao đi m ể ba đư ng ờ phân giác c a ủ AB C Câu 10. Cho I KL có 0 IKL 5 0 .Tia phân giác c a
ủ KIL và ILK c t ắ nhau t i ạ O. Số đo IKO b ng: ằ A. 0 35 B. 0 25 C. 0 30 D. 0 45
Câu 11. Cho tam giác MNP vuông t i ạ M. Bi t ế MN 3 c , m NP 5 c . m Tỉ số lư ng gi ợ ác nào đúng ? 3 5 3 3 cot P tan P sin P cot P A. 5 B. 3 C. 5 D. 4 Câu 12. c Ướ chung l n nh ớ ất c a 12 và 18 l ủ à A. 3 B. 6 C. 2 D. 9 2 Câu 13. T t ấ c các ả giá tr c ị a ủ x đ bi ể u ể th c
ứ x 6x 9 xác định là A. x 6 B. x 3 C. x 3 D. x 3 Câu 14. Trong m t ộ đư ng t ờ ròn. Kh ng đ ẳ nh nào s ị au đây sai ? A. Góc n i ộ ti p ch ế n n ắ a ử đư ng t ờ ròn là góc vuông B. Các góc n i ộ ti p b ế ng ằ nhau ch n ắ các cung b ng ằ nhau C. Các góc n i ộ ti p cùng ế ch n m ắ t ộ cung thì b ng ằ nhau D. Góc n i ộ ti p ch ế n n ắ a ử đư ng t ờ ròn có s đo nh ố h ỏ n ơ 0 90 M i
ọ thắc mắc vui lòng xin liên hệ hotline: 084 283 45 85
ệ xem ể chi ti t ế (có l i ờ gi i ả ) 2 2 xz 20x M . xyz 0 3 Câu 15. Rút g n ọ 4xy z ta đư c ợ 5x 5zx 2 5x 3 5x M M M M 3 2 A. yz B. y C. yz D. yz M i
ọ thắc mắc vui lòng xin liên hệ hotline: 084 283 45 85
ệ xem ể chi ti t ế (có l i ờ gi i ả )
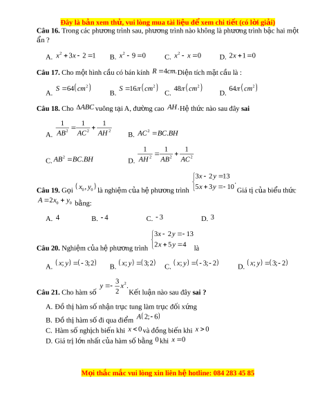
Câu 16. Trong các phư ng t ơ rình sau, phư ng
ơ trình nào không là phư ng t ơ rình b c hai ậ m t ộ ẩn ? A. 2 x 3x 2 1 B. 2 x 9 0 C. 2 x x 0 D. 2x 1 0 Câu 17. Cho m t ộ hình c u có bán kí ầ nh R 4 c . m Di n t ệ ích m t ặ c u l ầ à : S 2 64 cm S 2 16 cm 2 48 cm 2 64 cm A. B. C. D. Câu 18. Cho AB C vuông t i ạ A, đư ng
ờ cao AH.Hệ th c nào ứ sau đây sai 1 1 1 A. 2 2 2 AB AC AH B. 2
AC BC.BH 1 1 1 C. 2 AB BC .BH D. 2 2 2 AH AB AC 3 x 2 y 1 3 . Câu 19. G i ọ x , y
5x 3y 10 0 0 là nghi m ệ c a h ủ ph ệ ư ng t ơ rình Giá tị c a bi ủ u t ể h c ứ A 2 x y 0 0 b ng: ằ A. 4 B. 4 C. 3 D. 3 3
x 2 y 13 Câu 20. Nghi m ệ c a ủ h ph ệ ư ng
ơ trình 2x 5y 4 là A. ; x y 3;2 B. ; x y 3;2 C. ; x y 3; 2 D. ; x y 3; 2 3 2 y x . Câu 21. Cho hàm số 2 K t ế lu n nào ậ sau đây sai ?
A. Đồ thị hàm số nh n t ậ r c t ụ ung làm tr c đ ụ i ố x ng ứ
B. Đồ thị hàm số đi qua đi m ể A 2; 6 C. Hàm số nghịch bi n
ế khi x 0 và đồng bi n khi ế x 0 D. Giá tr l ị n nh ớ t ấ c a hàm ủ s b ố ng ằ 0 khi x 0 M i
ọ thắc mắc vui lòng xin liên hệ hotline: 084 283 45 85
Đề thi vào 10 môn Toán tỉnh Yên Bái - TN năm 2020
0.9 K
471 lượt tải
MUA NGAY ĐỂ XEM TOÀN BỘ TÀI LIỆU
CÁCH MUA:
- B1: Gửi phí vào TK:
1133836868- CT TNHH DAU TU VA DV GD VIETJACK - Ngân hàng MB (QR) - B2: Nhắn tin tới Zalo VietJack Official ( nhấn vào đây ) để xác nhận thanh toán và tải tài liệu - giáo án
Liên hệ ngay Hotline hỗ trợ: 084 283 45 85
Đề thi được cập nhật liên tục trong gói này từ nay đến hết tháng 6/2023. Chúng tôi đảm bảo đủ số lượng đề đã cam kết hoặc có thể nhiều hơn, tất cả có BẢN WORD, LỜI GIẢI CHI TIẾT và tải về dễ dàng.
Để tải tài liệu gốc về máy bạn click vào nút Tải Xuống ở trên!
Thuộc bộ (mua theo bộ để tiết kiệm hơn):
- Tailieugiaovien.com.vn giới thiệu bộ 63 đề thi vào 10 môn Toán hệ không chuyên năm 2020 nhằm giúp Giáo viên có thêm tài liệu tham khảo đề luyện thi Toán ôn luyện
- File word có lời giải chi tiết 100%.
- Mua trọn bộ sẽ tiết kiệm hơn tải lẻ 50%.
Đánh giá
4.6 / 5(941 )5
4
3
2
1
Trọng Bình
Tài liệu hay
Giúp ích cho tôi rất nhiều
Duy Trần
Tài liệu chuẩn
Rất thích tài liệu bên VJ soạn (bám sát chương trình dạy)
TÀI LIỆU BỘ BÁN CHẠY MÔN Toán Học
Xem thêmTÀI LIỆU BỘ BÁN CHẠY Ôn vào 10
Xem thêmTài liệu bộ mới nhất

Đây là b nả xem thử, vui lòng mua tài li u đ xem chi ti t (có l i gi i)ệ ể ế ờ ả
S GIÁO D C VÀ ĐÀO T OỞ Ụ Ạ
T NH YÊN BÁI Ỉ
Đ CHÍNH TH C Ề Ứ
(Đ thi có 04 trang, g m 50 câu)ề ồ
KỲ THI TUY N SINH L P 10 THPTỂ Ớ
NĂM H C 2019-2020Ọ
Môn thi:TOÁN
Th i gian: ờ 90 phút
Khóa thi ngày: 03/06/2019
Câu 1. Khi c t hình tr b i m t m t ph ng vuông góc v i tr c ta đ c m t c t là hình gìắ ụ ở ộ ặ ẳ ớ ụ ượ ặ ắ
?
A. Hình ch nh t ữ ậ B. Hình tròn C. Hình tam giác D. Hình thang
Câu 2. Giá tr c a ị ủ
m
đ ph ng trình ể ươ
2
2 2 0x mx m
có m t nghi m b ng 2 là:ộ ệ ằ
A.
2m
B.
1m
C.
2m
D.
1m
Câu 3. Rút g n bi u th c ọ ể ứ
16 36
2 25
P
ta đ c:ượ
A.
1P
B.
2P
C.
4P
D.
3P
Câu 4. N u đ th hàm s ế ồ ị ố
1
2
y x b
c t tr c hoành t i đi m có hoành đ b ng 2 thì giá ắ ụ ạ ể ộ ằ
tr c a ị ủ
b
là:
A.
1b
B.
2b
C.
2b
D.
1b
Câu 5. Giá tr c a ị ủ
m
đ đ th các hàm s ể ồ ị ố
2 3y m x
và
3 3y x
trùng nhau là :
A.
1m
B.
1m
C.
1m
D.
1m
Câu 6. Cho ba s ố
, ,x y z
th a mãn ỏ
;
5 6 8 7
x y y z
và
138.x y z
Giá tr c a ị ủ
x
là:
A. 110 B. 100 C. 120 D. 80
Câu 7. Cho
2 2
1 3 1Q a a
v i ớ
1
.
3
a
Kh ng đ nh nào sau đây đúng ?ẳ ị
A.
4 2Q a
B.
2Q a
C.
4 2Q a
D.
2Q a
M iọ th c m c vui lòng xin liên hắ ắ ệ hotline: 084 283 45 85

Đây là b nả xem thử, vui lòng mua tài li u đ xem chi ti t (có l i gi i)ệ ể ế ờ ả
Câu 8. Giá tr c a ị ủ
x
th a mãn ỏ
6x
là:
A.
36x
B.
12x
C.
18x
D.
6x
Câu 9. Cho I là tâm đ ng tròn ngo i ti p tam giác ABC. Kh ng đ nh nào sau đây đúng ?ườ ạ ế ẳ ị
A. I là giao đi m ba đ ng cao c a ể ườ ủ
ABC
B. I là giao đi m ba đ ng trung tr c c a ể ườ ự ủ
ABC
C. I là giao đi m ba đ ng trung tuy n c a ể ườ ế ủ
ABC
D. I là giao đi m ba đ ng phân giác c a ể ườ ủ
ABC
Câu 10. Cho
IKL
có
0
50 .IKL
Tia phân giác c a ủ
KIL
và
ILK
c t nhau t i O. S đoắ ạ ố
IKO
b ng:ằ
A.
0
35
B.
0
25
C.
0
30
D.
0
45
Câu 11. Cho tam giác
MNP
vuông t i M. Bi t ạ ế
3 , 5 .MN cm NP cm
T s l ng giác nàoỉ ố ượ
đúng ?
A.
3
cot
5
P
B.
5
tan
3
P
C.
3
sin
5
P
D.
3
cot
4
P
Câu 12. c chung l n nh t c a 12 và 18 làƯớ ớ ấ ủ
A.
3
B.
6
C.
2
D.
9
Câu 13. T t c các giá tr c a ấ ả ị ủ
x
đ bi u th c ể ể ứ
2
6 9x x
xác đ nh là ị
A.
6x
B.
3x
C.
3x
D.
3x
Câu 14. Trong m t đ ng tròn. Kh ng đ nh nào sau đây ộ ườ ẳ ị sai ?
A. Góc n i ti p ch n n a đ ng tròn là góc vuôngộ ế ắ ử ườ
B. Các góc n i ti p b ng nhau ch n các cung b ng nhauộ ế ằ ắ ằ
C. Các góc n i ti p cùng ch n m t cung thì b ng nhauộ ế ắ ộ ằ
D. Góc n i ti p ch n n a đ ng tròn có s đo nh h n ộ ế ắ ử ườ ố ỏ ơ
0
90
M iọ th c m c vui lòng xin liên hắ ắ ệ hotline: 084 283 45 85

Đây là b nả xem thử, vui lòng mua tài li u đ xem chi ti t (có l i gi i)ệ ể ế ờ ả
Câu 15. Rút g n ọ
2 2
3
20
. 0
4
xz x
M xyz
xy z
ta đ cượ
A.
3
5x
M
yz
B.
5zx
M
y
C.
2
5x
M
yz
D.
3
2
5x
M
yz
M iọ th c m c vui lòng xin liên hắ ắ ệ hotline: 084 283 45 85

Đây là b nả xem thử, vui lòng mua tài li u đ xem chi ti t (có l i gi i)ệ ể ế ờ ả
Câu 16. Trong các ph ng trình sau, ph ng trình nào không là ph ng trình b c hai m tươ ươ ươ ậ ộ
n ?ẩ
A.
2
3 2 1x x
B.
2
9 0x
C.
2
0x x
D.
2 1 0x
Câu 17. Cho m t hình c u có bán kính ộ ầ
4 .R cm
Di n tích m t c u là :ệ ặ ầ
A.
2
64S cm
B.
2
16S cm
C.
2
48 cm
D.
2
64 cm
Câu 18. Cho
ABC
vuông t i A, đ ng cao ạ ườ
.AH
H th c nào sau đây ệ ứ sai
A.
2 2 2
1 1 1
AB AC AH
B.
2
.AC BC BH
C.
2
.AB BC BH
D.
2 2 2
1 1 1
AH AB AC
Câu 19. G i ọ
0 0
,x y
là nghi m c a h ph ng trình ệ ủ ệ ươ
3 2 13
.
5 3 10
x y
x y
Giá t c a bi u th cị ủ ể ứ
0 0
2A x y
b ng:ằ
A.
4
B.
4
C.
3
D.
3
Câu 20. Nghi m c a h ph ng trình ệ ủ ệ ươ
3 2 13
2 5 4
x y
x y
là
A.
; 3;2x y
B.
; 3;2x y
C.
; 3; 2x y
D.
; 3; 2x y
Câu 21. Cho hàm s ố
2
3
.
2
y x
K t lu n nào sau đây ế ậ sai ?
A. Đ th hàm s nh n tr c tung làm tr c đ i x ngồ ị ố ậ ụ ụ ố ứ
B. Đ th hàm s đi qua đi m ồ ị ố ể
2; 6A
C. Hàm s ngh ch bi n khi ố ị ế
0x
và đ ng bi n khi ồ ế
0x
D. Giá tr l n nh t c a hàm s b ng ị ớ ấ ủ ố ằ
0
khi
0x
M iọ th c m c vui lòng xin liên hắ ắ ệ hotline: 084 283 45 85

Đây là b nả xem thử, vui lòng mua tài li u đ xem chi ti t (có l i gi i)ệ ể ế ờ ả
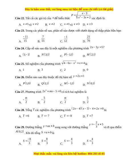
Câu 22. T t c các giá tr c a ấ ả ị ủ
x
đ bi u th c ể ể ứ
3
2
3
3 2
x
P
x x
xác đ nh là:ị
A.
1x
và
2x
B.
2x
C.
1x
và
3x
D.
3x
Câu 23. Trong các phân s sau, phân s nào đ c vi t d i d ng s th p phân h u h nố ố ượ ế ướ ạ ố ậ ữ ạ
A.
11
15
B.
7
55
C.
1
12
D.
21
70
Câu 24. C p s nào sau đây là m t nghi m c a ph ng trình ặ ố ộ ệ ủ ươ
2 3 5?x y
A.
1; 1
B.
3;1N
C.
1;1P
D.
2;1M
Câu 25. S nghi m c a ph ng trình ố ệ ủ ươ
2
4 6 4x x x
là
A.
1
B.
3
C.
2
D.
0
Câu 26. Đi m nào sau đây thu c đ th hàm s ể ộ ồ ị ố
2 1y x
A.
1;0P
B.
1;1Q
C.
1;1M
D.
0;1N
Câu 27. Ph ng trình ươ
2
2 5 0x mx
có tích hai nghi m làệ
A.
2
m
B.
5
2
C.
2
m
D.
5
2
Câu 28. T ng ổ
T
các nghi m c a ph ng trình ệ ủ ươ
2 4 5 4 2 0x x x
là:
A.
6T
B.
7T
C.
8T
D.
7T
Câu 29. Đ ng th ng ườ ẳ
y ax b
song song v i đ ng th ng ớ ườ ẳ
2
5
3
y x
và đi qua đi mể
0;2A
. Khi đó t ng ổ
S a b
là
A.
8
3
S
B.
8
3
S
C.
4
3
S
D.
4
3
S
M iọ th c m c vui lòng xin liên hắ ắ ệ hotline: 084 283 45 85
