SỞ GIÁO DỤC VÀ ĐÀO TẠO TỈNH VĨNH PHÚC TRƯỜNG THPT LÊ XOAY
ĐỀ THI KHẢO SÁT CHẤT LƯỢNG LẦN 3 NĂM HỌC: 2022-2023 Câu 1: Cho mặt cầu có phương trình . có tâm , bán kính . Phát biểu nào sau đây đúng A. . B. . C. . D. . Câu 2:
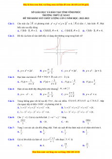
Đồ thị của hàm số nào dưới đây có dạng như đường cong trong hình vẽ? A. . B. . C. . D. . Câu 3: Đạo hàm của hàm số (với ) là A. . B. . C. . D. . Câu 4:
Hàm số nào dưới đây đồng biến trên khoảng A. . B. . C. . D. . Câu 5:
Trong không gian với hệ tọa độ , cho các điểm và . Mặt
cầu ngoại tiếp tứ diện có phương trình là A. . B. . C. . D. . Câu 6: Cho
. Giá trị của biểu thức bằng A. . B. . C. . D. . Câu 7:
Tung 1 con súc sắc cân đối, đồng chất. Tính xác suất để thu được mặt có số chấm nhỏ hơn 4. A. . B. . C. . D. . Câu 8:
Giá trị lớn nhất của hàm số trên đoạn là A. . B. . C. . D. .
Câu 9:
Tổng tất cả các nghiệm thực của phương trình bằng A. . B. . C. . D. .
Câu 10: Một mặt cầu có diện tích là
thì thể tích của khối cầu đó bằng A. . B. . C. . D. . Câu 11: Cho hàm số , biết với , . Giá trị của là A. . B. . C. . D. .
Câu 12: Dãy số nào sau đây là cấp số cộng A. . B. . C. . D. .
Câu 13: Trong không gian với hệ tọa độ cho ba vectơ , .
Khẳng định nào sau đây đúng? A. . B. . C. . D. .
Câu 14: Cho các số thực thỏa mãn và các khẳng định sau:
Số khẳng định đúng là A. . B. . C. . D. .
Câu 15: Đồ thị hàm số
có tất cả bao nhiêu đường tiệm cận? A. . B. . C. . D. .
Câu 16: Cho hình chóp có , tam giác
vuông tại (tham khảo hình vẽ).
Khẳng định nào sau đây sai
A. Khoảng cách từ đến mặt phẳng là đoạn . B. .
C. Khoảng cách từ đến mặt phẳng là đoạn . D. . Câu 17: Cho hàm số
xác định và liên tục trên , đồ thị của như hình vẽ dưới đây
Mệnh đề nào sau đây đúng?
A. Hàm số đồng biến trên khoảng .
B. Hàm số đồng biến trên khoảng .
C. Hàm số đồng biến trên khoảng .
D. Hàm số đồng biến trên khoảng . Câu 18: Cho hàm số
. Khẳng định nào dưới đây đúng? A. . B. . C. . D. .
Câu 19: Một hình nón có bán kính đáy bằng
và độ dài đường sinh bằng .Tính diện tích xung quanh hình nón? A. . B. . C. . D. .
Câu 20: Diện tích toàn phần
của hình trụ có bán kính đáy , độ dài đường sinh là A. . B. . C. . D. .
Câu 21: Khối lăng trụ tam giác có diện tích đáy , chiều cao
. Thể tích của khối lăng trụ đã cho bằng A. . B. . C. . D. .
Câu 22: Cho là một số dương, biểu thức
viết dưới dạng lũy thừa với số mũ hữu tỉ là A. . B. . C. . D. . Câu 23: Cho hàm số
. Khẳng định nào dưới đây đúng A. . B. . C. . D. .
Câu 24: Cho hình chóp có cạnh bên
. Góc giữa đường thẳng và đáy là góc A. . B. . C. . D. .
Câu 25: Giá trị cực tiểu của hàm số là
A. . B. . C. . D. . Câu 26: Cho hàm số
có bảng biến thiên như hình vẽ dưới đây. Hàm số có bao nhiêu điểm cực trị? A. . B. . C. . D. .
Câu 27: Số nghiệm nguyên trong khoảng của bất phương trình là A. . B. . C. . D. .
Câu 28: Trong không gian tọa độ cho điểm . Tính khi thẳng hàng? A. . B. . C. . D. .
Câu 29: Số giao điểm của đồ thị và đường thẳng . A. . B. . C. . D. .
Câu 30: Trong kì thi đánh giá năng lực năm 2023 của Đại học Quốc Gia Hà Nội, tháng 3 có 2 ca thi
khác nhau, tháng 5 có 3 ca thi khác nhau. An đăng kí tham gia thi tháng 3 và tháng 5, mỗi
tháng chỉ chọn một ca. Hỏi An có bao nhiêu cách chọn A. . B. . C. . D. .
Câu 31: Một loại vi khuẩn được tiêm một loại thuốc kích thích sự sinh sản. Sau t phút, số vi khuẩn được
xác định theo công thức
. Hỏi sau bao giây thì số vi khuẩn lớn nhất? A. . B. . C. . D. . Câu 32: Cho hàm số có bảng biến thiên
Đề thi thử Toán trường Lê Xoay lần 1 năm 2023
399
200 lượt tải
MUA NGAY ĐỂ XEM TOÀN BỘ TÀI LIỆU
CÁCH MUA:
- B1: Gửi phí vào TK:
1053587071
- NGUYEN VAN DOAN - Ngân hàng Vietcombank (QR) - B2: Nhắn tin tới Zalo VietJack Official ( nhấn vào đây ) để xác nhận thanh toán và tải tài liệu - giáo án
Liên hệ ngay Hotline hỗ trợ: 084 283 45 85
Đề thi được cập nhật liên tục trong gói này từ nay đến hết tháng 6/2023. Chúng tôi đảm bảo đủ số lượng đề đã cam kết hoặc có thể nhiều hơn, tất cả có BẢN WORD, LỜI GIẢI CHI TIẾT và tải về dễ dàng.
Để tải tài liệu gốc về máy bạn click vào nút Tải Xuống ở trên!
Thuộc bộ (mua theo bộ để tiết kiệm hơn):
- Đề thi thử THPT Quốc Gia Toán trường THPT Lê Xoay lần 1 bản word có lời giải chi tiết.
- Mua trọn bộ sẽ tiết kiệm hơn tải lẻ 50%.
Đánh giá
4.6 / 5(399 )5
4
3
2
1

Trọng Bình
Tài liệu hay
Giúp ích cho tôi rất nhiều

Duy Trần
Tài liệu chuẩn
Rất thích tài liệu bên VJ soạn (bám sát chương trình dạy)
TÀI LIỆU BỘ BÁN CHẠY MÔN Toán Học
Xem thêmTÀI LIỆU BỘ BÁN CHẠY Tốt nghiệp THPT
Xem thêmTài liệu bộ mới nhất

Đây là bản xem thử, vui lòng mua tài liệu để xem chi tiết (có lời giải)
SỞ GIÁO DỤC VÀ ĐÀO TẠO TỈNH VĨNH PHÚC
TRƯỜNG THPT LÊ XOAY
ĐỀ THI KHẢO SÁT CHẤT LƯỢNG LẦN 3 NĂM HỌC: 2022-2023
Câu 1: Cho mặt cầu có phương trình . có tâm , bán kính . Phát
biểu nào sau đây đúng
A. . B. . C. . D. .
Câu 2: Đồ thị của hàm số nào dưới đây có dạng như đường cong trong hình vẽ?
A. . B. . C. . D. .
Câu 3: Đạo hàm của hàm số (với ) là
A. . B. . C. . D. .
Câu 4: Hàm số nào dưới đây đồng biến trên khoảng
A. . B. . C. . D. .
Câu 5: Trong không gian với hệ tọa độ , cho các điểm và . Mặt
cầu ngoại tiếp tứ diện có phương trình là
A. . B. .
C. . D. .
Câu 6: Cho . Giá trị của biểu thức bằng
A. . B. . C. . D. .
Câu 7: Tung 1 con súc sắc cân đối, đồng chất. Tính xác suất để thu được mặt có số chấm nhỏ hơn 4.
A. . B. . C. . D. .
Câu 8: Giá trị lớn nhất của hàm số trên đoạn là
A. . B. . C. . D. .
Mọi thắc mắc vui lòng xin vui lòng: 084 283 45 85

Đây là bản xem thử, vui lòng mua tài liệu để xem chi tiết (có lời giải)
Câu 9: Tổng tất cả các nghiệm thực của phương trình bằng
A. . B. . C. . D. .
Câu 10: Một mặt cầu có diện tích là thì thể tích của khối cầu đó bằng
A. . B. . C. . D. .
Câu 11: Cho hàm số , biết với , . Giá trị của là
A. . B. . C. . D. .
Câu 12: Dãy số nào sau đây là cấp số cộng
A. . B. . C. . D. .
Câu 13: Trong không gian với hệ tọa độ cho ba vectơ , .
Khẳng định nào sau đây đúng?
A. . B. . C. . D. .
Câu 14: Cho các số thực thỏa mãn và các khẳng định sau:
Số khẳng định đúng là
A. . B. . C. . D. .
Câu 15: Đồ thị hàm số có tất cả bao nhiêu đường tiệm cận?
A. . B. . C. . D. .
Câu 16: Cho hình chóp có , tam giác vuông tại (tham khảo hình vẽ).
Khẳng định nào sau đây sai
A. Khoảng cách từ đến mặt phẳng là đoạn . B. .
C. Khoảng cách từ đến mặt phẳng là đoạn . D. .
Câu 17: Cho hàm số xác định và liên tục trên , đồ thị của như hình vẽ dưới đây
Mệnh đề nào sau đây đúng?
Mọi thắc mắc vui lòng xin vui lòng: 084 283 45 85

Đây là bản xem thử, vui lòng mua tài liệu để xem chi tiết (có lời giải)
A. Hàm số đồng biến trên khoảng . B. Hàm số đồng biến trên khoảng .
C. Hàm số đồng biến trên khoảng . D. Hàm số đồng biến trên khoảng .
Câu 18: Cho hàm số . Khẳng định nào dưới đây đúng?
A. . B. .
C. . D. .
Câu 19: Một hình nón có bán kính đáy bằng và độ dài đường sinh bằng .Tính diện tích xung
quanh
hình nón?
A. . B. . C. . D. .
Câu 20: Diện tích toàn phần của hình trụ có bán kính đáy , độ dài đường sinh là
A. . B. . C. . D. .
Câu 21: Khối lăng trụ tam giác có diện tích đáy , chiều cao . Thể tích của khối lăng trụ đã
cho bằng
A. . B. . C. . D. .
Câu 22: Cho là một số dương, biểu thức viết dưới dạng lũy thừa với số mũ hữu tỉ là
A. . B. . C. . D. .
Câu 23: Cho hàm số . Khẳng định nào dưới đây đúng
A. . B. .
C. . D. .
Câu 24: Cho hình chóp có cạnh bên . Góc giữa đường thẳng và đáy là góc
A. . B. . C. . D. .
Câu 25: Giá trị cực tiểu của hàm số là
Mọi thắc mắc vui lòng xin vui lòng: 084 283 45 85

Đây là bản xem thử, vui lòng mua tài liệu để xem chi tiết (có lời giải)
A. . B. . C. . D. .
Câu 26: Cho hàm số có bảng biến thiên như hình vẽ dưới đây. Hàm số có bao nhiêu điểm cực
trị?
A. . B. . C. . D. .
Câu 27: Số nghiệm nguyên trong khoảng của bất phương trình là
A. . B. . C. . D. .
Câu 28: Trong không gian tọa độ cho điểm .
Tính khi thẳng hàng?
A. . B. . C. . D. .
Câu 29: Số giao điểm của đồ thị và đường thẳng .
A. . B. . C. . D. .
Câu 30: Trong kì thi đánh giá năng lực năm 2023 của Đại học Quốc Gia Hà Nội, tháng 3 có 2 ca thi
khác nhau, tháng 5 có 3 ca thi khác nhau. An đăng kí tham gia thi tháng 3 và tháng 5, mỗi
tháng chỉ chọn một ca. Hỏi An có bao nhiêu cách chọn
A. . B. . C. . D. .
Câu 31: Một loại vi khuẩn được tiêm một loại thuốc kích thích sự sinh sản. Sau t phút, số vi khuẩn được
xác định theo công thức . Hỏi sau bao giây thì số vi khuẩn
lớn nhất?
A. . B. . C. . D. .
Câu 32: Cho hàm số có bảng biến thiên
Mọi thắc mắc vui lòng xin vui lòng: 084 283 45 85

Đây là bản xem thử, vui lòng mua tài liệu để xem chi tiết (có lời giải)
Số tiệm cận đứng của đồ thị hàm số .
A. . B. . C. . D. .
Câu 33: Cho hàm số thỏa mãn đồng thời các điều kiện và . Tìm
.
A. . B. .
C. . D. .
Câu 34: Cho nguyên hàm của trong đó . Tính giá trị
A. . B. . C. . D. .
Câu 35: Gọi là đường thẳng đi qua hai điểm cực trị của đồ thị hàm số . Có tất cả
bao nhiêu giá trị của m để d có hệ số góc bằng 4.
A. . B. . C. . D. .
Câu 36: Cho hình lăng trụ tam giác có chiều cao bằng 10 và diện tích đáy bằng 12. Gọi
, lần lượt các điểm nằm trên cạnh , và lần lượt là giao hai đường chéo
của mỗi hình bình hành . Thể tích khối đa diện lồi bằng
A. . B. . C. . D. .
Câu 37: Cho hình lăng trụ đứng có cạnh đáy là tam giác vuông tại , ,
. Gọi là trung điểm , đường thẳng tạo với đáy một góc . Diện tích
xung quanh của khối lăng trụ đã cho là
A. . B. . C. . D. .
Câu 38: Đồ thị hàm số
đối xứng với đồ thị hàm số
qua điểm . Giá
trị của biểu thức bằng
A. . B. . C. . D. .
Câu 39: Một đội xây dựng cần hoàn thiện một hệ thống cột tròn của một cửa hàng kinh doanh gồm 15
chiếc. Trước khi hoàn thiện mỗi chiếc cột là mội khối bê tông cốt thép hình lăng trụ lục giác
đều có cạnh 14 cm, sau khi hoàn thiện (bằng cách trát thêm vữa tổng hợp vào xung quanh) mỗi
cột là một khối trụ có đường kính bằng 30cm. biết chiều cao của mỗi cột trước và sau khi hoàn
Mọi thắc mắc vui lòng xin vui lòng: 084 283 45 85