Đây là bản xem th , vu ử i lòng mua tài li u ệ đ xe ể m chi ti t ế (có l i ờ gi i ả ) THÁI PHIÊN – H I Ả Đ Ề THI TH L Ử N Ầ 1 PHÒNG MÔN TOÁN
THỜI GIAN: 90 PHÚT Câu 1. Cho cấp s nhâ ố n u u q 3 . u n v i ớ 1 8 và công b i ộ Giá tr c ị a ủ 2 bằng 8 A. 24 . B. 11. C. . D. 5 . 3 Câu 2. Cho kh i ố chóp có di n ệ tích đáy 2 B 3 a và chi u ề cao h 6 a . Thể tích c a ủ kh i ố chóp đã cho bằng A. 3 9a . B. 3 6a . C. 3 18a . D. 3 3a . 5 5 Câu 3. Cho f x dx 2 và f x dx 3 v i ớ f x là hàm liên t c ụ và có đ o ạ hàm trên đo n ạ 1 3 3 1;
5 . Khi đó I f x dx bằng 1 A. 1. B. 1. C. 5. D. 5. Câu 4.
Trong không gian Oxyz, cho m t ặ ph ng
ẳ :2x y 3z 5 0 . Vectơ nào dư i ớ đây là m t ộ vectơ pháp tuyến c a ủ ?
A. n 2; 1;3 .
B. n 2;1; 3 .
C. n 2;1;3 . D. n 2;1;3 . 2 4 3 1 Câu 5. Cắt hình tr ụ (T ) b i ở mặt phẳng qua tr c ụ c a ủ nó, ta đư c ợ thi t ế di n l ệ à m t ộ hình vuông c nh ạ bằng 5 . Di n t ệ ích xung quanh c a ủ (T ) bằng 25p 25p A. . B. . C. 50p . D. 25p . 4 2 Câu 6. Cho kh i ố lăng tr c ụ ó di n
ệ tích đáy B =12 , chiều cao h = 6 . Thể tích kh i
ố lăng trụ đã cho bằng A. 18 B. 72 C. 36 D. 24 Câu 7. Cho kh i
ố trụ có bán kính r 4 và chiều cao h 5 . Thể tích kh i ố trụ b ng ằ 20 80 A. 20 . B. . C. . D. 80 . 3 3
Câu 8. Cho hình nón có bán kính đáy r 3 , độ dài đư ng ờ sinh l 5 . Di n t ệ ích xung quanh c a ủ hình trụ đã cho bằng A. 30 . B. 45 . C. 15 . D. 10 . Câu 9. 4 5x dx bằng 1 A. 5 x C . B. 5 5x C . C. 3 20x C . D. 5 x C . 5 M i ọ thắc m c
ắ vui lòng xin liên h h
ệ otline: 084 283 45 85
Đây là bản xem th , vu ử i lòng mua tài li u ệ đ xe ể m chi ti t ế (có l i ờ gi i ả ) Câu 10. Nghi m ệ c a ủ phư ng ơ trình log x 6 2 3 là : A. x 8 . B. x 1 5 . C. x 12 . D. x 9 .
Câu 11. Cho hàm số b c ậ b n
ố y f (x) có đồ thị là đư ng ờ cong như hình v . ẽ Số nghi m ệ th c ự c a ủ 1 phư ng
ơ trình f (x) 0 là 2 A. 3. B. 1. C. 2. D. 4.
Câu 12. Trong không gian Oxyz cho m t ặ c u ầ S 2 2 2
: x y z 2x 4 y 6z 10 0 . T a ọ độ tâm I và bán kính R c a ủ S là
A. I ( 1; 2;3) , R 4 .
B. I (1; 2; 3) , R 2 .
C. I ( 1; 2;3) , R 2 .
D. I (1; 2; 3) , R 4 .
Câu 13. [2D1-6.15-2] S gi ố ao điểm c a ủ đ t ồ hị hàm s ố 4 2
y = - x + 3x - 2 v i ớ tr c ụ hoành là A. 0 . B. 3 . C. 2 . D. 4 .
Câu 14. Cho mặt cầu có bán kính r = 2. Di n t ệ ích c a ủ m t ặ c u đã ầ cho b ng ằ 32 16 A. 16 . B. . C. 4 . D. . 3 3
Câu 15. Trong không gian Oxyz điểm nào dư i ớ đây là hình chi u ế vuông góc c a ủ đi m ể A( 2;- 1;4)
trên mặt phẳng Oxy .
A. M ( 2;- 1;0) . B. E( 0;0; 4) . C. Q( 2;0; ) 4 .
D. N ( 0;- 1;4) .
Câu 16. Trong không gian Oxyz , cho đi m ể M ( 2;- 1; ) 3 và m t ặ ph ng ẳ
( P) : 2x- 2y + z 1 + = 0 .
Khoảng cách từ điểm M đến mặt phẳng ( P) là 5 10 A. 2 . B. . C. 3 . D. . 3 3 Câu 17. Đ t ồ hị c a
ủ hàm số nào sau đây có dạng nh đ ư ư ng ờ cong trong hình v ? ẽ M i ọ thắc m c
ắ vui lòng xin liên h h
ệ otline: 084 283 45 85
Đây là bản xem th , vu ử i lòng mua tài li u ệ đ xe ể m chi ti t ế (có l i ờ gi i ả ) 1 1 A. 3 2
y x 2x 3x 1. B. 3 2 y
x 2x 3x 1. 3 3 1 1 C. 4 2 y x 2x 1. D. 4 2
y x 2x 1 . 4 4
Câu 18. Có bao nhiêu cách ch n ọ m t ộ quả cam từ m t ộ giỏ đ ng ự trái cây, bi t ế trong giỏ có 5 qu ả sành và 7 quả cam canh? A. 35 . B. 7 . C. 12 . D. 5 . r r r r r
Câu 19. Trong không gian 0xyz cho u=i +2j - k t a ọ đ ộ ulà r r r r A. u=( 0;2; ) 0 . B. u=( 0;2;- ) 1 . C. u=(1;2;- ) 1 . D. u=(1;2; ) 1 .
Câu 20. Cho hàm số y= f ( )
x có đồ thị là đư ng ờ cong như hình v . ẽ Hàm s ố đã cho ngh c ị h bi n ế trên khoảng nào dư i ớ đây A. ( 0;+¥ ) . B. (- 1; ) 1 C. ( - ¥ ;- ) 1 . D. (- 1; ) 0 . p p 2 2 Câu 21. Biết f
é ( x) +2cosx dx ù =3 ò . Khi đó ằ ë û f ( x) dx ò b ng 0 0 A. 3 . B. 2 . C. 1. D. 4 . Câu 22. V i ớ a là s t ố h c ự dư ng t ơ ùy ý, log ( 3 3a 3 ) bằng A. 1 3log a 3 3log a 3 log a 1 log a 3 . B. 3 . C. 3 . D. 3 .
Câu 23.Trong không gian Oxyz , cho hai đi m
ể A 1; 2; 3 , B 0;1; 1 , độ dài đo n ạ th ng ẳ AB bằng A. 6 . B. 6 . C. 3 2 . D. 26 . Câu 24. Cho hàm s ố
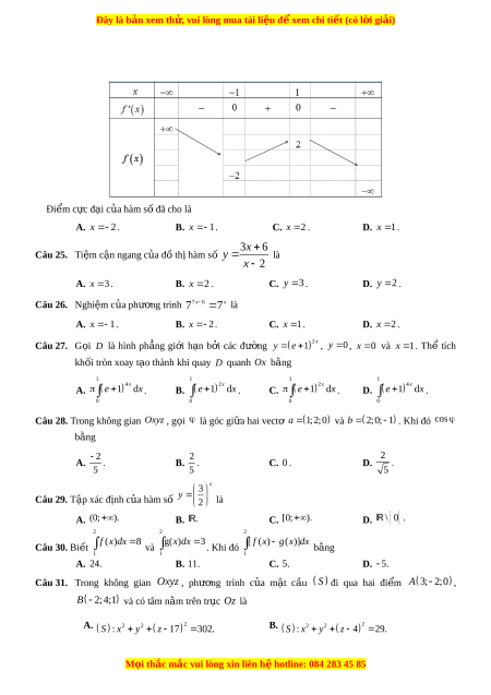
y f x có bảng biến thiên M i ọ thắc m c
ắ vui lòng xin liên h h
ệ otline: 084 283 45 85
Đây là bản xem th , vu ử i lòng mua tài li u ệ đ xe ể m chi ti t ế (có l i ờ gi i ả ) Đi m ể c c ự đại c a ủ hàm số đã cho là A. x 2 .
B. x 1 . C. x 2 . D. x 1 . 3x 6 Câu 25. Ti m ệ cận ngang c a ủ đ t ồ hị hàm s ố y là x 2 A. x 3 . B. x 2 . C. y 3 . D. y 2 . Câu 26. Nghi m ệ c a ủ phư ng ơ trình 7x 6 7 7x là A. x 1 . B. x 2 . C. x 1 . D. x 2 . Câu 27. G i ọ D là hình ph ng ẳ gi i ớ h n ạ b i ở các đư ng ờ 2 1 x y e , y 0 , x 0 và x 1 . Thể tích kh i
ố tròn xoay tạo thành khi quay D quanh Ox bằng 1 1 1 1 4x 2 x 2 x 4 x
A. e 1 dx . B. e 1 dx .
C. e 1 dx . D. e 1 dx . 0 0 0 0
Câu 28. Trong không gian Oxyz , g i ọ là góc gi a ữ hai vectơ a
1; 2; 0 và b 2; 0; 1 . Khi đó cos bằng 2 2 2 A. . B. . C. 0 . D. . 5 5 5 3 x
Câu 29. Tập xác đ nh ị c a ủ hàm s ố y 2 là A. (0; ) . B. . C. [0; ) . D. \ 0 . 2 2 2 f (x)dx 8 g(x)dx 3
[ f (x) g(x)]dx Câu 30. Biết và . Khi đó bằng 1 1 1 A. 24. B. 11. C. 5. D. 5.
Câu 31. Trong không gian Oxyz , phư ng ơ trình c a ủ m t ặ c u
ầ S đi qua hai đi m ể A 3; 2;0 , B 2;4;
1 và có tâm nằm trên tr c ụ Oz là
A. S x B.
y z 2 2 2 : 17 302 .
S x y z 2 2 2 : 4 29. M i ọ thắc m c
ắ vui lòng xin liên h h
ệ otline: 084 283 45 85
Đề thi thử Toán trường Thái Phiên năm 2021
349
175 lượt tải
MUA NGAY ĐỂ XEM TOÀN BỘ TÀI LIỆU
CÁCH MUA:
- B1: Gửi phí vào TK:
1053587071
- NGUYEN VAN DOAN - Ngân hàng Vietcombank (QR) - B2: Nhắn tin tới Zalo VietJack Official ( nhấn vào đây ) để xác nhận thanh toán và tải tài liệu - giáo án
Liên hệ ngay Hotline hỗ trợ: 084 283 45 85
Đề thi được cập nhật liên tục trong gói này từ nay đến hết tháng 6/2023. Chúng tôi đảm bảo đủ số lượng đề đã cam kết hoặc có thể nhiều hơn, tất cả có BẢN WORD, LỜI GIẢI CHI TIẾT và tải về dễ dàng.
Để tải tài liệu gốc về máy bạn click vào nút Tải Xuống ở trên!
Thuộc bộ (mua theo bộ để tiết kiệm hơn):
- Tailieugiaovien.com.vn giới thiệu Đề thi thử Toán trường Thái Phiên năm 2021 bản word có lời giải chi tiết.
- Mua trọn bộ sẽ tiết kiệm hơn tải lẻ 50%.
Đánh giá
4.6 / 5(349 )5
4
3
2
1

Trọng Bình
Tài liệu hay
Giúp ích cho tôi rất nhiều

Duy Trần
Tài liệu chuẩn
Rất thích tài liệu bên VJ soạn (bám sát chương trình dạy)
TÀI LIỆU BỘ BÁN CHẠY MÔN Toán Học
Xem thêmTÀI LIỆU BỘ BÁN CHẠY Tốt nghiệp THPT
Xem thêmTài liệu bộ mới nhất

Đây là b n xem th , vui lòng mua tài li u đ xem chi ti t (có l i gi i)ả ử ệ ể ế ờ ả
THÁI PHIÊN – H IẢ
PHÒNG
Đ THI TH L N 1Ề Ử Ầ
MÔN TOÁN
TH I GIAN: 90 PHÚTỜ
Câu 1. Cho c p s nhân ấ ố
n
u
v i ớ
1
8u
và công b i ộ
3.q
Giá tr c a ị ủ
2
u
b ngằ
A.
24
. B.
11
. C.
8
3
. D.
5
.
Câu 2. Cho kh i chóp có di n tích đáy ố ệ
2
3B a
và chi u cao ề
6h a
. Th tích c a kh i chóp đã choể ủ ố
b ngằ
A.
3
9a
. B.
3
6a
. C.
3
18a
. D.
3
3a
.
Câu 3. Cho
5
1
2f x dx
và
5
3
3f x dx
v i ớ
f x
là hàm liên t c và có đ o hàm trên đo nụ ạ ạ
1;5
. Khi đó
3
1
I f x dx
b ngằ
A. 1. B.
1
. C. 5. D.
5
.
Câu 4. Trong không gian
Oxyz
, cho m t ph ng ặ ẳ
:2 3 5 0x y z
. Vect nào d i đây là m tơ ướ ộ
vect pháp tuy n c a ơ ế ủ
?
A.
2
2; 1;3n
. B.
4
2;1; 3n
. C.
3
2;1;3n
. D.
1
2;1;3n
.
Câu 5. C t hình tr ắ ụ
( )
T
b i m t ph ng qua tr c c a nó, ta đ c thi t di n là m t hình vuông c nh ở ặ ẳ ụ ủ ượ ế ệ ộ ạ
b ng ằ
5
. Di n tích xung quanh c a ệ ủ
( )
T
b ng ằ
A.
25
4
p
. B.
25
2
p
. C.
50p
. D.
25p
.
Câu 6. Cho kh i lăng tr có di n tích đáy ố ụ ệ
12B =
, chi u cao ề
6h =
. Th tích kh i lăng tr đã cho b ngể ố ụ ằ
A.
18
B.
72
C.
36
D.
24
Câu 7. Cho kh i tr có bán kính ố ụ
4r
và chi u cao ề
5h
. Th tích kh i tr b ngể ố ụ ằ
A.
20
. B.
20
3
. C.
80
3
. D.
80
.
Câu 8. Cho hình nón có bán kính đáy
3r
, đ dài đ ng sinh ộ ườ
5l
. Di n tích xung quanh c a hình ệ ủ
tr đã cho b ngụ ằ
A.
30
. B.
45
. C.
15
. D.
10
.
Câu 9.
4
5x dx
b ng ằ
A.
5
x C
. B.
5
5x C
. C.
3
20x C
. D.
5
1
5
x C
.
M i th c m c vui lòng xin liên h hotline: 084 283 45 85ọ ắ ắ ệ

Đây là b n xem th , vui lòng mua tài li u đ xem chi ti t (có l i gi i)ả ử ệ ể ế ờ ả
Câu 10. Nghi m c a ph ng trình ệ ủ ươ
3
log 6 2x
là :
A.
8x
. B.
15x
. C.
12x
. D.
9x
.
Câu 11. Cho hàm s b c b n ố ậ ố
( )y f x
có đ th là đ ng cong nh hình v . S nghi m th c c aồ ị ườ ư ẽ ố ệ ự ủ
ph ng trình ươ
1
( ) 0
2
f x
là
A. 3. B. 1. C. 2. D. 4.
Câu 12. Trong không gian Oxyz cho m t c u ặ ầ
2 2 2
: 2x 4 6z 10 0S x y z y
. T a đ tâm I vàọ ộ
bán kính R c aủ
S
là
A.
( 1;2;3) , 4I R
. B.
(1; 2; 3) , 2I R
.
C.
( 1;2;3) , 2I R
. D.
(1; 2; 3) , 4I R
.
Câu 13. [2D1-6.15-2] S giao đi m c a đ th hàm s ố ể ủ ồ ị ố
4 2
3 2y x x= - + -
v i tr c hoành là ớ ụ
A.
0
. B.
3
. C.
2
. D.
4
.
Câu 14. Cho m t c u có bán kính ặ ầ
2r =
. Di n tích c a m t c u đã cho b ngệ ủ ặ ầ ằ
A.
16
. B.
32
3
. C.
4
. D.
16
3
.
Câu 15. Trong không gian
Oxyz
đi m nào d i đây là hình chi u vuông góc c a đi m ể ướ ế ủ ể
( )
2; 1;4A -
trên m t ph ng ặ ẳ
Oxy
.
A.
( )
2; 1;0M -
. B.
( )
0;0;4E
. C.
( )
2;0;4Q
. D.
( )
0; 1;4N -
.
Câu 16. Trong không gian
Oxyz
, cho đi m ể
( )
2; 1;3M -
và m t ph ng ặ ẳ
( )
: 2 2 1 0P x y z- + + =
.
Kho ng cách t đi m ả ừ ể
M
đ n m t ph ng ế ặ ẳ
( )
P
là
A.
2
. B.
5
3
. C.
3
. D.
10
3
.
Câu 17. Đ th c a hàm s nào sau đây có d ng nh đ ng cong trong hình v ?ồ ị ủ ố ạ ư ườ ẽ
M i th c m c vui lòng xin liên h hotline: 084 283 45 85ọ ắ ắ ệ

Đây là b n xem th , vui lòng mua tài li u đ xem chi ti t (có l i gi i)ả ử ệ ể ế ờ ả
A.
3 2
1
2 3 1
3
y x x x
. B.
3 2
1
2 3 1
3
y x x x
.
C.
4 2
1
2 1
4
y x x
. D.
4 2
1
2 1
4
y x x
.
Câu 18. Có bao nhiêu cách ch n m t qu cam t m t gi đ ng trái cây, bi t trong gi có 5 qu sànhọ ộ ả ừ ộ ỏ ự ế ỏ ả
và 7 qu cam canh?ả
A.
35
. B.
7
. C.
12
. D.
5
.
Câu 19. Trong không gian 0xyz cho
2u i j k= + -
r r r r
t a đ ọ ộ
u
r
là
A.
( )
0;2;0 .u=
r
B.
( )
0;2; 1 .u= -
r
C.
( )
1;2; 1 .u= -
r
D.
( )
1;2;1 .u=
r
Câu 20. Cho hàm s ố
( )y f x=
có đ th là đ ng cong nh hình v . Hàm s đã cho ngh ch bi n trênồ ị ườ ư ẽ ố ị ế
kho ng nào d i đây ả ướ
A.
( )
0; .+¥
B.
( )
1;1-
C.
( )
; 1 .- ¥ -
D.
( )
1;0 .-
Câu 21. Bi t ế
( )
2
0
2 3f x cosx dx
p
é ù
+ =
ë û
ò
. Khi đó
( )
2
0
f x dx
p
ò
b ngằ
A.
3
. B.
2
. C.
1
. D.
4
.
Câu 22. V i ớ
a
là s th c d ng tùy ý, ố ự ươ
( )
3
3
3log a
b ngằ
A.
3
1 3log a
. B.
3
3 3log a
. C.
3
3 log a
. D.
3
1 log a
.
Câu 23.Trong không gian
Oxyz
, cho hai đi m ể
1;2; 3 , 0;1; 1A B
, đ dài đo n th ng ộ ạ ẳ
AB
b ngằ
A.
6
. B.
6
. C.
3 2
. D.
26
.
Câu 24. Cho hàm s ố
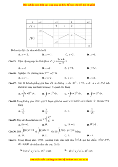
y f x
có b ng bi n thiênả ế
M i th c m c vui lòng xin liên h hotline: 084 283 45 85ọ ắ ắ ệ

Đây là b n xem th , vui lòng mua tài li u đ xem chi ti t (có l i gi i)ả ử ệ ể ế ờ ả
Đi m c c đ i c a hàm s đã cho làể ự ạ ủ ố
A.
2x
. B.
1x
. C.
2x
. D.
1x
.
Câu 25. Ti m c n ngang c a đ th hàm s ệ ậ ủ ồ ị ố
3 6
2
x
y
x
là
A.
3x
. B.
2x
. C.
3y
. D.
2y
.
Câu 26. Nghi m c a ph ng trình ệ ủ ươ
7 6
7 7
x x
là
A.
1x
. B.
2x
. C.
1x
. D.
2x
.
Câu 27. G i ọ
D
là hình ph ng gi i h n b i các đ ng ẳ ớ ạ ở ườ
2
1
x
y e
,
0y
,
0x
và
1x
. Th tíchể
kh i tròn xoay t o thành khi quay ố ạ
D
quanh
Ox
b ngằ
A.
1
4
0
1 d
x
e x
. B.
1
2
0
1 d
x
e x
. C.
1
2
0
1 d
x
e x
. D.
1
4
0
1 d
x
e x
.
Câu 28. Trong không gian
Oxyz
, g i ọ
là góc gi a hai vect ữ ơ
1;2;0a
và
2;0; 1b
. Khi đó
cos
b ngằ
A.
2
5
. B.
2
5
. C.
0
. D.
2
5
.
Câu 29. T p xác đ nh c a hàm s ậ ị ủ ố
3
2
x
y
là
A.
(0; ).
B.
.
C.
[0; ).
D.
\ 0 .
Câu 30. Bi t ế
2
1
( ) 8f x dx
và
2
1
g( ) 3x dx
. Khi đó
2
1
[ ( ) ( )]f x g x dx
b ngằ
A.
24.
B.
11.
C.
5.
D.
5.
Câu 31. Trong không gian
Oxyz
, ph ng trình c a m t c u ươ ủ ặ ầ
S
đi qua hai đi m ể
3; 2;0A
,
2;4;1B
và có tâm n m trên tr c ằ ụ
Oz
là
A.
2
2 2
: 17 302.S x y z
B.
2
2 2
: 4 29.S x y z
M i th c m c vui lòng xin liên h hotline: 084 283 45 85ọ ắ ắ ệ

Đây là b n xem th , vui lòng mua tài li u đ xem chi ti t (có l i gi i)ả ử ệ ể ế ờ ả
C.
2
2 2
: 4 29.S x y z
D.
2
2 2
: 17 302.S x y z
Câu 32. B t ph ng trình: ấ ươ
2
3
log 2 1x x
có t p nghi m làậ ệ
A.
1;3 .S
B.
; 1 3; .S
C.
; 1S
D.
3;S
Câu 33. Cho
2
6
2
log 5
log 45 ,
log 3
b
a
c
v i ớ
, ,a b c
. T ng ổ
a b c
b ngằ
A.
4
. B.
1
. C.
0
. D.
2
.
Câu 34. S các giá tr nguyên c a tham s ố ị ủ ố
m
thu c đo n ộ ạ
20;20
đ hàm s ể ố
16mx
y
x m
ngh chị
bi n trên kho ng ế ả
;8
là
A.
14
. B.
11
. C.
13
. D.
12
.
Câu 35. Cho hàm s ố
y f x
có đ o hàm ạ
2
2
' 1 2 2 ,f x x x x x
. S đi mố ể
c c đ i c a hàm s đã cho là:ự ạ ủ ố
A.
4
. B.
2
. C.
1
. D.
3
.
Câu 36. Cho ph ng trình ươ
2 5 2
3 3 2
x x
. Đ t ặ
1
3
x
t
, ph ng trình đã cho tr thành ph ng trình:ươ ở ươ
A.
2
3 2 0t t
. B.
2
27 3 2 0t t
. C.
2
81 3 2 0t t
. D.
2
27 3 2 0t t
.
Câu 37. Hàm s ố
f x
liên t c trên ụ
và th a mãn ỏ
2 16f
,
1
0
2 2f x
. Khi đó tích phân
2
0
xf x dx
b ngằ
A.
28
. B.
36
. C.
16
. D.
30
.
Câu 38. S đ ng ti m c n đ ng c a đ th hàm s ố ườ ệ ậ ứ ủ ồ ị ố
2
3 1 4
6 5
x
y
x x
A.
2
. B.
0
. C.
3
. D.
1
.
Câu 39. Giá tr l n nh t c a hàm s ị ớ ấ ủ ố
2
( )
x
f x x e
trên đo n ạ
1;1
b ngằ
A.
ln 2 1
2
. B.
2
1 e
. C.
2
1 e
. D.
ln 2 1
2
.
Câu 40. Hình ph ng gi i h n b i các đ ng ẳ ớ ạ ở ườ
2
y x
,
1 4
3 3
y x
và tr c hoành nh hình v có di n ụ ư ẽ ệ
tích b ngằ
M i th c m c vui lòng xin liên h hotline: 084 283 45 85ọ ắ ắ ệ