SỞ GD&ĐT BẮC NINH
ĐỀ THI THỬ TỐT NGHIỆP THPT NĂM 2025
TRƯỜNG THPT GIA BÌNH SỐ 1 Bài thi: TOÁN
Thời gian làm bài: 90 phút, không kể thời gian phát đề
PHẦN I. Câu trắc nghiệm nhiều phương án lựa chọn. Thí sinh trả lời từ câu 1 đến câu 12.
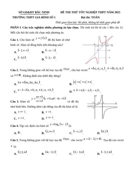
Mỗi câu hỏi thí sinh chỉ chọn một phương án. Câu 1. Cho hàm số đồ thị hàm số như
hình vẽ. Hàm số đồng biến trên khoảng nào? A. . B. . C. . D. .
Câu 2. Trong không gian với hệ trục tọa độ , cho hai vectơ ; và
. Khẳng định nào dưới đây đúng? A. . B. . C. . D. . Câu 3. Hàm số có đồ thị
như hình bên. Đường tiệm cận đứng của đồ thị hàm số là: A. . B. . C. . D. .
Câu 4. Tập xác định của hàm số là: A. . B. . C. . D. .
Câu 5. Trong không gian với hệ trục tọa độ cho vectơ Tọa độ của vectơ là: A. . B. . C. . D. .
Câu 6. Cho hình hộp (minh họa hình bên).
Đẳng thức nào sau đây đúng? A. . B. . C. . D. . Câu 7. Cho hàm số
liên tục và có bảng biến thiên trên đoạn như hình vẽ. Khẳng định nào đúng? A. . B. . C. . D. .
Câu 8. Đồ thị của hàm số nào dưới đây có dạng đường cong như hình bên? A. . B. . C. . D. .
Câu 9. Cho hàm số bậc ba
có bảng biến thiên như sau:
Điểm cực tiểu của đồ thị hàm số là: A. . B. . C. . D. .
Câu 10. Cho hình chóp có , đáy
là hình chữ nhật. Biết , . Khoảng cách từ đến bằng A. . B. . C. . D. .
Câu 11. Tìm hiểu thời gian hoàn thành một bài tập (đơn vị: phút) của một nhóm học sinh thu được kết quả sau: Thời gian (phút) Số học sinh
Thời gian trung bình (phút) để hoàn thành bài tập của các em học sinh là A. . B. . C. . D. .
Câu 12. Cho cấp số cộng , biết , . Giá trị của bằng: A. . B. . C. . D. .
PHẦN II. Câu trắc nghiệm đúng sai. Thí sinh trả lời từ câu 1 đến câu 4. Trong mỗi ý a), b),
c), d) ở mỗi câu, thí sinh chọn đúng (Đ) hoặc sai (S) Câu 1. Cho hàm số có đồ thị là .
a) Phương trình tiếp tuyến có hệ số góc nhỏ nhất của đồ thị đi qua điểm . b) Trên đoạn
thì giá trị lớn nhất của hàm số đạt được tại .
c) Tâm đối xứng của đồ thị hàm số có tọa độ là .
d) Đồ thị hàm số có 2 điểm cực trị. Câu 2. Cho hàm số (với ) có
đồ thị là đường cong như hình bên.
a) Hàm số đồng biến trên các khoảng và . b)
c) Đồ thị hàm số có tiệm cận đứng: và đường tiệm cận xiên: .
d) Đồ thị hàm số đi qua điểm .
Câu 3. Hình minh họa sơ đồ một ngôi nhà trong hệ trục tọa độ
, trong đó nền nhà, bốn
bức tường và hai mái nhà đều là hình chữ nhật.
a) Tọa độ điểm là b) c) Tọa độ d)
Câu 4. Cho hình lập phương có cạnh bằng . Gọi là tâm hình vuông
, gọi là trọng tâm của tam giác (tham khảo hình vẽ) a) . b) . c) . d) .
PHẦN III. Câu trắc nghiệm trả lời ngắn. Thí sinh trả lời từ câu 1 đến câu 6.
Câu 1. Tục truyền rằng, vào thế kỷ thứ 6 sau Công nguyên, vị hiền triết tên là Brahmagupta là
người phát minh ra bàn cờ vua. Nhà vua Ấn Độ cho phép người phát minh ra bàn cờ vua được
lựa chọn phần thưởng tùy theo sở thích. Brahmagupta xin nhà vua: “Tâu bệ hạ, thần chỉ xin một
thứ. Xin bệ hạ hãy cho thần một hạt gạo cho ô vuông đầu tiên trên bàn cờ, hai hạt gạo cho ô
Đề thi thử tốt nghiệp THPT 2025 Toán trường THPT Gia Bình Số 1 - Bắc Ninh
147
74 lượt tải
MUA NGAY ĐỂ XEM TOÀN BỘ TÀI LIỆU
CÁCH MUA:
- B1: Gửi phí vào TK:
1053587071
- NGUYEN VAN DOAN - Ngân hàng Vietcombank (QR) - B2: Nhắn tin tới Zalo VietJack Official ( nhấn vào đây ) để xác nhận thanh toán và tải tài liệu - giáo án
Liên hệ ngay Hotline hỗ trợ: 084 283 45 85
Chúng tôi đảm bảo đủ số lượng đề đã cam kết hoặc có thể nhiều hơn, tất cả có BẢN WORD, LỜI GIẢI CHI TIẾT và tải về dễ dàng.
Để tải tài liệu gốc về máy bạn click vào nút Tải Xuống ở trên!
Thuộc bộ (mua theo bộ để tiết kiệm hơn):
- Bộ đề thi thử tốt nghiệp THPT Quốc gia môn Toán năm 2025 từ các Trường/sở trên cả nước.
- File word có lời giải chi tiết 100%.
- Mua trọn bộ sẽ tiết kiệm hơn tải lẻ 50%.
Đánh giá
4.6 / 5(147 )5
4
3
2
1

Trọng Bình
Tài liệu hay
Giúp ích cho tôi rất nhiều

Duy Trần
Tài liệu chuẩn
Rất thích tài liệu bên VJ soạn (bám sát chương trình dạy)